Synthesis of Castor Oil-Based Quaternary Ammonium Salt and Modification of Attapulgite for Treating Industrial Wastewaters
Abstract
:1. Introduction
2. Materials and Methods
2.1. Materials
2.2. Synthesis
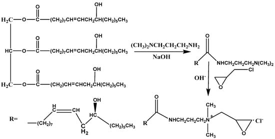
2.2.1. Synthesis of Castor Oil-Based Quaternary Ammonium Salt (COQS)
2.2.2. Modification of Attapulgite
2.3. Characterisation
2.3.1. COQS Characterisation
2.3.2. M-ATP Characterisation
2.4. Application of M-ATP
3. Results and Discussion
3.1. COQS Synthesis Conditions
3.2. Organic Modification Parameters of ATP
3.3. Characterisation
3.3.1. COQS Characterisation
3.3.2. M-ATP Characterisation
3.4. Application of M-ATP
4. Conclusions
Author Contributions
Funding
Institutional Review Board Statement
Informed Consent Statement
Data Availability Statement
Conflicts of Interest
References
- Lei, Q.; Zhai, M.; Bai, Y. Preparation and Properties of Castor Oil-Based Unsaturated Polyester Thermosets. Polym. Mater. Sci. Eng. 2022, 6, 8–14. [Google Scholar]
- Wang, X.; Zong, Y.; Qiang, T. Synthesis and properties of castor oil-based waterborne polyurethane-acrylate hybrid latex using a emulsifier-free method. J. Funct. Mater. 2014, 15, 15070–15075. [Google Scholar]
- Mutlu, H.; Meier, M.A.R. Castor oil as a renewable resource for the chemical industry. Eur. J. Lipid Sci. Technol. 2010, 112, 10–30. [Google Scholar] [CrossRef]
- Grzegorz, N.; Elzbieta, G.S.; Patrycja, N. The toxicity of cationic surfactants in four bioassays. Ecotox. Environ. Saf. 2003, 54, 87–91. [Google Scholar]
- Yan, X.; Ji, Y.; He, T. Synthesis of fiber crosslinking cationic latex and its effect on surface properties of paper. Prog. Org. Coat. 2013, 76, 11–16. [Google Scholar] [CrossRef]
- Yan, X.; Xu, W.; Sao, R.; Tang, L.; Ji, Y. Synthesis of polymerizable quaternary ammonium emulsifier and properties of its fiber crosslining emulsion. Colloids Surf. A Physicochem. Eng. Asp. 2014, 443, 60–65. [Google Scholar] [CrossRef]
- Liu, Q.; Gao, M.; Zhao, Y.; Li, J.; Qu, C.; Zhang, J.; Chen, G. Synthesis and Interfacial Activity of a New Quaternary Ammonium Surfactant as an oil/gas field chemical. Tenside Surfactants Deterg. 2020, 57, 90–96. [Google Scholar] [CrossRef]
- Di Nica, V.; Gallet, J.; Villa, S.; Mezzanotte, V. Toxicity of Quaternary Ammonium Compounds (QACs) as single compounds and mixtures to aquatic non-target microorganisms: Experimental data and predictive models. Ecotoxicol. Environ. Saf. 2017, 142, 567–577. [Google Scholar] [CrossRef]
- Yang, X.; Lin, X.; Mi, Y.; Gao, H.; Li, J.; Zhang, S.; Zhou, W.; Lu, R. Ionic liquid-type surfactant modified attapulgite as a novel and efficient dispersive solid phase material for fast determination of pyrethroids in tea drinks. J. Chromatogr. B Analyt. Technol. Biomed. Life Sci. 2018, 1089, 70–77. [Google Scholar] [CrossRef]
- Sun, H.; Zhang, J.; Li, L.; Xu, J.; Sun, D. Surface modification of natural Na-montmorillonite in alkane solvents using a quaternary ammonium surfactant. Colloids Surf. A Physicochem. Eng. Asp. 2013, 426, 26–32. [Google Scholar] [CrossRef]
- Li, Y.; Wang, M.; Sun, D.; Li, Y.; Wu, T. Effective removal of emulsified oil from oily wastewater using surfactant-modified sepiolite. Appl. Clay Sci. 2018, 157, 227–236. [Google Scholar] [CrossRef]
- Wang, T.; Chen, Y.; Ma, J.; Qian, Q.; Jin, Z.; Zhang, L.; Zhang, Y. Attapulgite nanoparticles modified monolithic column for hydrophilic in-tube solid phase microextraction of cyromazine and melamine. Anal. Chem. 2016, 88, 1535–1541. [Google Scholar] [CrossRef]
- Guo, H.; Xia, K.; Cao, M.; Zhang, X. Surface Modification of Attapulgite by Grafting Cationic Polymers for Treating Dye Wastewaters. Materials 2021, 14, 792. [Google Scholar] [CrossRef] [PubMed]
- Xue, A.; Zhou, S.; Zhao, Y.; Lu, X.; Han, P. Effective NH2-grafting on attapulgite surfaces for adsorption of reactive dyes. J. Hazard. Mater. 2011, 194, 7–14. [Google Scholar] [CrossRef]
- Huang, J.; Liu, Y.; Wang, X. Selective adsorption of tannin from flavonoids by organically modified attapulgite clay. J. Hazard. Mater. 2008, 160, 382–387. [Google Scholar] [CrossRef] [PubMed]
- Cisneros-Rosado, D.E.; Paz-Alpuche, E.F.; Uribe-Calderon, J.A. The effect of surface modification of Palygorskite on the morphology, mechanical, and thermal properties of Nylon 6/Palygorskite nanocomposites prepared by melt compounding. Polym. Compos. 2018, 39 (Suppl. S3), E1531–E1543. [Google Scholar] [CrossRef]
- Sarkar, B.; Megharaj, M.; Xi, Y.; Naidu, R. Surface charge characteristics of organo-palygorskites and adsorption of p-nitrophenol in flow-through reactor system. Chem. Eng. J. 2012, 185, 35–43. [Google Scholar] [CrossRef]
- Quan, G.; Kong, L.; Lan, Y.; Yan, J.; Gao, B. Removal of acid orange 7 by surfactant-modified iron nanoparticle supported on palygorskite: Reactivity and mechanism. Appl. Clay Sci. 2018, 152, 173–182. [Google Scholar] [CrossRef]
- Cui, H.; Qian, Y.; Li, Q.; Wei, Z.; Zhai, J. Fast removal of Hg(II) ions from aqueous solution by amine-modified attapulgite. Appl. Clay Sci. 2013, 72, 84–90. [Google Scholar] [CrossRef]
- Li, Y.; Wei, W.; Wang, Z.; Wang, J. Determination of Chlordiazepoxide by Sodium Tetraphenylboron Method. J. Chin. Pharm. Sci. 2002, 11, 153–156. [Google Scholar]
- Wu, H.; Fu, Y.; Guo, C.; Li, Y.; Jiang, N.; Yin, C. Electricity generation and removal performance of a microbial fuel cell using sulfonated poly (ether ether ketone) as proton exchange membrane to treat phenol/acetone wastewater. Bioresour. Technol. 2018, 260, 130–134. [Google Scholar] [CrossRef]
- Yu, L.; Li, L.; Zhang, W.; Fang, Y. A new hybrid nanocomposite prepared by graft copolymerization of butyl acrylate onto chitosan in the presence of organophilic montmorillonite. Radiat. Phys. Chem. 2004, 69, 467–471. [Google Scholar] [CrossRef]
- Yang, S.; Liu, X.; Yang, G. Molecular-level insights into pH regulation of cation adsorption and exchange at clay particle edges. Appl. Clay Sci. 2023, 232, 106789. [Google Scholar] [CrossRef]
- Modaressi, A.; Sifaoui, H.; Grzesiak, B.; Solimando, R.; Domanska, U.; Rogalski, M. CTAB aggregation in aqueous solutions of ammonium based ionic liquids; conductimetric studies. Colloids Surf. A Physicochem. Eng. Asp. 2007, 296, 104–108. [Google Scholar] [CrossRef]
- Huang, J.; Liu, Y.; Jin, Q.; Wang, X.; Yang, J. Adsorption studies of a water soluble dye, Reactive Red MF-3B, using sonication-surfactant-modified attapulgite clay. J. Hazard. Mater. 2007, 143, 541–548. [Google Scholar] [CrossRef] [PubMed]
- Mu, B.; Wang, A. One-pot fabrication of multifunctional superparamagnetic attapulgite/Fe3O4/polyaniline nanocomposites served as an adsorbent and catalyst support. J. Mater. Chem. A 2015, 3, 281–289. [Google Scholar] [CrossRef]
- Hu, F.; Zhong, F.; Wen, S.; Zheng, G.; Gong, C.; Qin, C.; Liu, H. Preparation and properties of chitosan/organic-modified attapulgite composite proton exchange membranes for fuel cell applications. Polym. Compos. 2020, 41, 2254–2262. [Google Scholar] [CrossRef]
- Xu, H.; Yang, H.; Zhang, L.; Ni, Q.; Gong, F. Preparation and properties of polycarbonate nanocomposites using attapulgite grafted poly(methyl methacrylate) as a potential nanofiller. J. Appl. Polym. Sci. 2015, 132, 28. [Google Scholar] [CrossRef]
- Peng, Y.; Chen, D.; Ji, J.; Kong, Y.; Wan, H.; Yao, C. Chitosan-modified palygorskite: Preparation, characterization and reactive dye removal. Appl. Clay Sci. 2013, 74, 81–86. [Google Scholar] [CrossRef]
- Hasanpour, M.; Hatami, M. Application of three dimensional porous aerogels as adsorbent for removal of heavy metal ions from water/wastewater: A review study. Adv. Colloid Interface Sci. 2020, 284, 102247. [Google Scholar] [CrossRef]
- Hasanpour, M.; Hatami, M. Photocatalytic performance of aerogels for organic dyes removal from wastewaters: Review study. J. Mol. Liq. 2020, 309, 113094. [Google Scholar] [CrossRef]
- Ibrahim, S.; Wang, S.; Ang, H.M. Removal of emulsified oil from oily wastewater using agricultural waste barley straw. Biochem. Eng. J. 2010, 49, 78–83. [Google Scholar] [CrossRef]
- Zhang, B.; Dong, Z.; Sun, D.; Wu, T.; Li, Y. Enhanced adsorption capacity of dyes by surfactant-modified layered double hydroxides from aqueous solution. J. Ind. Eng. Chem. 2017, 49, 208–218. [Google Scholar] [CrossRef]
- Wang, R.; Li, Z.; Wang, Y.; Liu, W.; Deng, L.; Jiao, W.; Yang, F. Effects of modified attapulgite on the properties of attapulgite/epoxy nanocomposites. Polym. Compos. 2013, 34, 22–31. [Google Scholar] [CrossRef]
- Sun, Z.; Song, A.; Wang, B.; Wang, G.; Zheng, S. Adsorption behaviors of aflatoxin B1 and zearalenone by organo-rectorite modified with quaternary ammonium salts. J. Mol. Liq. 2018, 264, 645–651. [Google Scholar] [CrossRef]










Disclaimer/Publisher’s Note: The statements, opinions and data contained in all publications are solely those of the individual author(s) and contributor(s) and not of MDPI and/or the editor(s). MDPI and/or the editor(s) disclaim responsibility for any injury to people or property resulting from any ideas, methods, instructions or products referred to in the content. |
© 2023 by the authors. Licensee MDPI, Basel, Switzerland. This article is an open access article distributed under the terms and conditions of the Creative Commons Attribution (CC BY) license (https://creativecommons.org/licenses/by/4.0/).
Share and Cite
Yan, X.; Ding, J.; Shi, W.; Tang, L.; Zhang, Y.; Xu, W. Synthesis of Castor Oil-Based Quaternary Ammonium Salt and Modification of Attapulgite for Treating Industrial Wastewaters. Materials 2023, 16, 3468. https://doi.org/10.3390/ma16093468
Yan X, Ding J, Shi W, Tang L, Zhang Y, Xu W. Synthesis of Castor Oil-Based Quaternary Ammonium Salt and Modification of Attapulgite for Treating Industrial Wastewaters. Materials. 2023; 16(9):3468. https://doi.org/10.3390/ma16093468
Chicago/Turabian StyleYan, Xiuhua, Jianfei Ding, Wenyan Shi, Lanqin Tang, Yidong Zhang, and Wei Xu. 2023. "Synthesis of Castor Oil-Based Quaternary Ammonium Salt and Modification of Attapulgite for Treating Industrial Wastewaters" Materials 16, no. 9: 3468. https://doi.org/10.3390/ma16093468
APA StyleYan, X., Ding, J., Shi, W., Tang, L., Zhang, Y., & Xu, W. (2023). Synthesis of Castor Oil-Based Quaternary Ammonium Salt and Modification of Attapulgite for Treating Industrial Wastewaters. Materials, 16(9), 3468. https://doi.org/10.3390/ma16093468
