Next Article in Journal
Rare-Earth-Zirconate Porous High-Entropy Ceramics with Unique Pore Structures for Thermal Insulating Applications
Previous Article in Journal
Experimental Study on the Mechanical Behavior of Dry Corn Stalk Cutting
Previous Article in Special Issue
Enhanced Microwave-Absorbing Property of Honeycomb Sandwich Structure with a Significant Interface Effect
 
 
Font Type:
Arial Georgia Verdana
Font Size:
Aa Aa Aa
Line Spacing:
Column Width:
Background:
Article

Lead-Free Ternary Glass for Radiation Protection: Composition and Performance Evaluation for Solar Cell Coverage

1
Physics Department, College of Science, Jouf University, Sakaka P.O. Box 2014, Saudi Arabia
2
Physics Department, Faculty of Science, Al-Azhar University, Assiut 71452, Egypt
3
Department of Physics, Faculty of Science, University of Tabuk, Tabuk 47512, Saudi Arabia
4
INPOLDE Research Center, Department of Chemistry, Physics and Environment, Faculty of Sciences and Environment, Dunarea de Jos University of Galati, 47 Domneasca Street, 800008 Galati, Romania
5
Institute of Physics and Technology, Ural Federal University, 620075 Yekaterinburg, Russia
*
Authors to whom correspondence should be addressed.
Materials 2023, 16(8), 3036; https://doi.org/10.3390/ma16083036
Submission received: 8 March 2023 / Revised: 5 April 2023 / Accepted: 6 April 2023 / Published: 12 April 2023
(This article belongs to the Special Issue Recent Advances in Electromagnetic Interference Shielding Materials)

Abstract

:
Solar cells in superstrate arrangement need a protective cover glass as one of its main components. The effectiveness of these cells is determined by the cover glass’s low weight, radiation resistance, optical clarity, and structural integrity. Damage to the cell covers brought on by exposure to UV irradiation and energetic radiation is thought to be the root cause of the ongoing issue of a reduction in the amount of electricity that can be generated by solar panels installed on spacecraft. Lead-free glasses made of xBi2O3–(40 − x)CaO-60P2O5 (x = 5, 10, 15, 20, 25, and 30 mol%) were created using the usual approach of melting at a high temperature. The amorphous nature of the glass samples was confirmed using X-ray diffraction. At energies of 81, 238, 356, 662, 911, 1173, 1332, and 2614 keV, the impact of various chemical compositions on gamma shielding in a phospho-bismuth glass structure was measured. The evaluation of gamma shielding revealed that the results of the mass attenuation coefficient of glasses increase as the Bi2O3 content increases but decrease as the photon energy increases. As a result of the study conducted on the radiation-deflecting properties of ternary glass, a lead-free low-melting phosphate glass that exhibited outstanding overall performance was developed, and the optimal composition of a glass sample was identified. The 60P2O5–30Bi2O3–10CaO glass combination is a viable option for use in radiation shielding that does not include lead.

1. Introduction

Not only can radiation sources that are derived through electrical discharge machinery or radioisotopes pose a risk to human health, but they also pose a risk to sensitive laboratory equipment. Because of this, a shielding material of the highest possible quality is necessary in order to reduce the radiation to safe and acceptable levels [1]. Radiation shielding has traditionally been accomplished using materials, such as tiles, concrete blocks, and clay bricks. The utilization of transparent materials, such as glass for shielding purposes, holds great importance, particularly in hot cells, containers for radiation sources, and windows used in medical X-ray imaging facilities. Nonetheless, it remains highly significant. Glass is an example of a material that is transparent [2,3,4].
Glass based on TeO2, B2O3, SiO2, and P2O5 have all been developed by scientists and researchers over the last several decades to make high-quality radiation shielding glass. Other forms of glass based on phosphate and tellurite have also been developed. Most glasses have Pb added to them because lead has a large mass and can produce glass with a high density. Prior research found that incorporating various quantities of lead oxide into borate glass resulted in the production of high-density glass with a volume of up to 5 g cm−3, which was then shown to be an effective radiation shielding material [5,6].
Unfortunately, lead exposure may have several negative consequences, including damage to the kidneys and the brain, disturbance of the neurological system, and spontaneous abortions in pregnant women. Both the IARC and the DHHS have concluded that Pb and Pb-compounds are responsible for making the environment hazardous and are probably carcinogenic to people. Bismuth is an essential component in the creation of a radiation shielding material that can successfully replace lead. As compared to lead-silicate-based glass, silicate-based glass that has had bismuth oxide (Bi2O3) added to it produces a material with a greater density and demonstrates improved shielding capabilities [7,8].
The history of research on phosphate glass is extensive. In contrast to borosilicate glass, the glass in question has a lower temperature at which it melts. Phosphate glass, by contrast, has a chemical resistance that is not very high. Several researchers have found that by adding CaO in phosphate glass, they are able to increase the chemical endurance of the material. According to several studies, divalent ions, such as Ca2+, are capable of forming a P–O–Ca covalent bond as well as acting as an ionic cross-linking agent between the NBO groups of two different cross-linked chains, which results in an increase in the chemical durability of the material [9,10]. The incorporation of glass into the composition will be facilitated by the addition of an alkaline component, such as CaO, which will also decrease the glass’s melting temperature, lessen its propensity to crystallize, and result in improvements to the glass’s other physical and chemical characteristics. When there is an excessive amount of CaO in the glass, the brittleness of the glass will readily rise [11,12].
Many academics have assessed the comparison results for the shielding parameter between the WinXcom software and experimental data. The calculation for the shielding parameter may be used for polymer [13], concrete [14], alloy [15], and compound [16] in addition to glasses. There is not a limitation on its applicability. The shielding parameter values that were provided from their works were analyzed by the WinXCOM software, and the results showed that they were compatible with the experimental value, within the experimental errors.
Yin Zhang and colleagues conducted research on the P2O5–Bi2O3–CaO system to determine the glass forming area, structure, and features of the system [17]. Y. Chaitanya conducted research on the impact that copper ions have on the physicochemical, structural, spectroscopic, and dielectric characteristics of Bi2O3–CaO–P2O5–B2O3 glasses [18]. Zainab Mufarreh Elqahtani et al. showed that Bi2O3 has an impact on the optical qualities as well as the radiation attenuation characteristics of BiO3–Li2O–P2O5 glasses [19]. Producing and describing glassy waste forms based on the SrF2–Fe2O3–PbO/BiO3–P2O5 system was conducted by Xiuying Li et al. [20]. W. Rachniyom and colleagues investigated how the presence of Bi2O3 changes the radiation-blocking capabilities of glasses made from coal fly ash [21]. The originality of the work resides in the efficiency of Bi2O3–CaO–P2O5 system against radiation at 81, 238, 356, 662, 911, 1173, 1332, and 2614 keV. In addition, there is no study focused on the capability of this system to absorb gamma radiation.
The purpose of the current study is to carry out the investigation of lead-free glass systems that contain bismuth oxide and to investigate the possibilities of these systems becoming new candidates for a gamma-shielding material, particularly in observation windows in radiotherapy rooms and control rooms of nuclear power plants. The effects of bismuth oxide in a phospho-bismuth glass system will be reported in this research. The focus of this study will be on two features: (1) the physical and structural properties, and (2) the gamma-radiation-shielding capabilities. Because of its one-of-a-kind qualities, such as excellent transparency, strong gamma-shielding capabilities, and great heat resistance when combined with heavy metal oxides, phospho-bismuth was selected as the basis glass for this investigation. It is anticipated that the incorporation of bismuth oxide into phospho-bismuth glass would result in an increase in the density of the glass as well as an improvement in its capacity to shield gamma radiation.

2. Experimental Procedure

The usual method of melt quenching was used for the production of xBi2O3–(40 − x)CaO-60P2O5 (where x = 5, 10, 15, 20, 25, and 30 mol%). The high-purity raw ingredients NH4H2PO4, Bi2O3, and CaO were each precisely weighed at 10 g per batch before being ground into a powder and uniformly mixed. The combined components are then transferred to a crucible made of alumina. After that, it was melted in an electrical furnace, and the temperature of the furnace was raised to around 420 degrees Celsius at a pace of 5 degrees Celsius per minute, where it remained for an hour. After being poured into the heated mold, the totally molten liquid was annealed at 440 degrees Celsius for one hour, allowed to cool to ambient temperature, and then removed from the form. To evaluate the gamma-shielding capabilities of glass, a portion of the produced glass samples were shaped into cylinders of varying thicknesses after being cut, ground, and polished. In preparation for the XRD analysis, the remaining glass samples are crushed into powder [17]. Table 1 presents the design components that are found in glass [17].
To determine that the sample material in question was amorphous, we used a Shimadzu XD-DI X-ray diffractometer operating under a set of working circumstances consisting of 40 kV and 30 mA for each sample. The density (ρ) of the glass sample that has been manufactured is determined by submerging it in water that has been distilled in accordance with the principle of Archimedes. Using the narrow beam method with a lead-collimator to experimentally estimate linear attenuation coefficients (GLAC), values were acquired using a multichannel analyzer coupled to a NaI (Tl)-scintillation detector with a 3 × 3-inch measurement area. 133Ba (80 and 356 keV), 137Cs (662 keV), 60Co (1173 and 1333 keV), and 232Th (238, 911 and 2614 keV) have all been employed in the experiment. Source, sample, and detector locations are shown in their experimental configurations in Figure 1 [22,23]. For each gamma line, the photon intensity was calculated without and with an absorber by using the area under the photopeak. Five repetitions of the process were carried out, each lasting 10 min. The margin of error was less than one percent.

3. Results and Discussions

Damage to the cell covers brought on by exposure to UV irradiation and energetic radiation is thought to be the root cause of the ongoing issue of a reduction in the amount of electricity that can be generated by solar panels installed on spacecraft. A shorter lifespan places restrictions on the space mission and necessitates replacement at a very expensive cost. The cover glasses have the dual purpose of enhancing transmission while also blocking harmful radiation. There is a lack of understanding on the causes of radiation-induced transmission loss. To manufacture cover glasses with greater immunity to contamination and lower defect densities than those produced by the current coating techniques, we intentionally produced glasses with these characteristics. Enhancements will be made to analytical procedures that have been established for the purpose of assessing the characteristics of glass and linking those attributes to radiation tolerance. Our experience with emerging technologies and the impacts of the radiation environment in space on optics are centered on this topic, and we believe that it will contribute to a better understanding of the processes that are responsible for the darkening caused by radiation. An increase in the radiation resistance of the optical glass that was placed on the cover glasses would have the effect of extending the end of life for applications both in the civilian and military spheres. This would be beneficial. The reduction in our reliance on outside sources would be facilitated by the establishment of a local provider of glass cell coverings.

3.1. Structural Properties

X-ray diffraction patterns for BCP5 and BCP30 glasses are shown in Figure 2, and the patterns are almost identical across all glasses. This diagram does not depict a single, distinct peak in the spectrum, but rather a diffuse ring centered around 25–35°. The pattern in all the glass samples is almost identical to that in Figure 2. All the glass samples used in this study were found to be amorphous, as predicted by the lack of a sharp peak, which implies the absence of a long-range order in the atomic arrangements.

3.2. Physical Properties

Glass density may be understood in terms of the degree of variation in the many structural units that make up the glass’s composition. In most cases, the presence of heavy metal oxide in glass results in a denser product. There are six distinct densities of glasses that may be made by adjusting the quantity of Bi2O3 used: 2.212, 2.609, 3.007, 3.404, 3.802, and 4.199 g/cm3. As the percentage of Bi2O3 in the glass rises, so does the density of the finished product. The glass modifier Bi2O3 (465.96 g mol−1) has a higher molecular weight than CaO (56.0774 g mol−1), and this is the reason why the density of glass increased. In addition, by exchanging the low-density oxide CaO (3.34 g cm−3) with the high-density oxide Bi2O3 (8.99 g cm−3), the density of the existing glass system is increased. The rise in the proportion of nonbridging oxygen atoms is likely to blame for the increased density of glasses. In addition, the presence of modifier ions, such as Bi3+, will try to fill up the voids in the network and ultimately lead to a denser glass. Furthermore, the oxide network loosens up when the Bi2O3 concentration rises, resulting in a drop in the oxygen packing density of silicate-based glasses [24].

3.3. Shielding Parameter

3.3.1. Linear and Mass Attenuation Coefficient

Gamma rays from 133Ba, 137Cs, 60Co, and 232Th are being used for the measuring process in the narrow beam geometry approach. The linear attenuation coefficient (GLAC) was determined by measuring the incident (Io) and transmitted (I) gamma-ray intensities, and the resulting value was then utilized to obtain the mass attenuation coefficient (GMAC). The linear attenuation coefficient values are obtained by calculating the slope of the linear graph Ln(I/Io) against the sample thickness. Ln(I/Io) against the sample thickness for all glasses at 356 keV is shown in Figure 3, and the patterns are almost identical across all photon energies. On average, as shown in Figure 3, the slope of the graph rises when more Bi2O3 is added. The slope of the graph is increased from 1.2479 to 5.7205 cm−1 at 81 keV, from 0.4247 to 1.9469 cm−1 at 238 keV, from 0.2839 to 1.3016 cm−1 at 356 keV, from 0.1527 to 0.6999 cm−1 at 662 keV, from 0.1110 to 0.5086 cm−1 at 911 keV, from 0.0862 to 0.3950 cm−1 at 1173 keV, from 0.0759 to 0.3479 cm−1 at 1333 keV, and from 0.0387 to 0.1773 cm−1 at 2614 keV when the Bi2O3 content increased from 5 to 30 mol%. In this particular series of glasses, the glass with the greatest concentration of Bi2O3 had the largest gradient, which may be translated as the highest values of GLAC in comparison to other glasses. Take note that the Z of Bi is 83, which is much higher than the number for Ca (20).
The interaction between gamma ray photons and the atoms of Bi will become more intense if a large atomic number of Bi is added to the structure of the glass. The higher the atomic number, the greater the amount of photon energy that must be absorbed before an electron may be ejected from a Bi atom. Either the photoelectric effect or the Compton scattering might have been responsible for the expelled electron. When there is a greater amount of interaction between gamma rays and the target atom (Bi), the number of rays that are transmitted through the glass is reduced. The GLAC rose as a direct result of this reason [25]. The ρ of the glass modifier is still another element that contributed to the rise in the value of the GLAC. It is thought that decreasing the porosity nature of the glass and producing high ρ glass may be accomplished by introducing a high ρ modifier (Bi2O3 = 8.9 g m−3) into the glass system. Since glass has a lesser porosity than other materials, it will have a greater attenuation than other materials because there is a greater possibility that gamma rays will interact with the atoms in glass [26]. Figure 4a–f shows the Ln(I/Io) as the function of glass thickness for BCP5, BCP10, BCP15, BCP20, BCP25, and BCP30 samples at 81, 238, 356, 662, 911, 1173, 1332, and 2614 keV. As seen in these figures the slopes decrease as the energy increased. It means that the GLAC values for certain glass decrease with increasing energy. The results found that the highest GLAC value was at 81 keV while the lowest was at 2616 keV.
Figure 5a,b shows the GLAC and GMAC values for BCP5, BCP10, BCP15, BCP20, BCP25, and BCP30 samples at 81, 238, 356, 662, 911, 1173, 1332, and 2614 keV, respectively. If you look at the graph in Figure 5a,b, you will see that the GLAC and GMAC values rise when the concentration of Bi2O3 rises. This is something that can be observed. The xBi2O3–(40 − x)CaO-60P2O5 glass system has the greatest GLAC and GMAC values, which are, respectively, 5.7205 cm−1 and 1.3624 cm2/g. The maximal concentration of Bi2O3 in the glass system contributed to the highest GLAC and GMAC, as was predicted. The more the GLAC and GMAC values are, the better a certain material is in attenuating a greater number of photons. At the energies that were investigated, it was found that increasing the amount of Bi2O3 in the glass samples led to an increase in both the GLAC and GMAC. The reason for this is that the presence of Bi2O3 raises their effective atomic numbers as well as their densities. As a result of the fact that BCP30 glass (Bi2O3 = 30 mol%) exhibited the greatest density when compared to other glasses, it provided the highest GMAC value. This revealed that the BCP30 glass had the maximum photon interaction at the given energy level. This interaction may take place as a result of the photoelectric effect (PE), Compton scattering (CS), or pair production (PP). In general, there are four different scenarios in which gamma ray photons might cause glass material to become irradiated: (a) Photons pass through the glass without causing any interaction; (b) photons are absorbed directly into the atoms that make up the structure of the glass through PE; (c) photons interact with the glass through CS and pass through the glass; and (d) atoms interact with photons through CS multiple times before being absorbed by PE [27].

3.3.2. Half-Value Layer and Mean-Free Path

It is also possible to describe the efficiency of gamma shielding in terms of the half-value layer (GHVL) and the mean-free path (GMFP). Better shielding material may be produced using material that has a lower value of both the GHVL and GMFP. The thickness of the material that is required to absorb fifty percent of the incoming radiation is referred to as the GHVL, and the GMFP is the average distance traveled by the photon between two subsequent contacts. Figure 6 and Figure 7 each provide a scatter plot depicting the values of the GHVL and GMFP for each of the glasses. With the addition of Bi2O3, there is a discernible shift in both the GHVL and GMFP values of glasses. When the mol percentage of Bi2O3 grew to its maximum quantity, both the GHVL and GMFP value fell. The increasing pattern of GHVL and GMFP values for glasses may be ascribed to the increase in density and the GMAC of glasses. This pattern shows a decreasing value for each parameter. In the present study, the GHVL and GMFP values of BCP30 glass are found to be the lowest among those of other glasses. A total of 0.12, 0.36, 0.53, 0.99, 1.36, 1.75, 1.99, and 3.91 cm are the GHVL values for the BCP30 sample at 81, 238, 356, 662, 911, 1173, 1332, and 2614 keV, respectively. A total of 0.17, 0.5, 0.77, 1.43, 1.97, 2.53, 2.87, and 5.64 cm are the GMFP values for the BCP30 sample at 81, 238, 356, 662, 911, 1173, 1332, and 2614 keV, respectively. This demonstrates that BCP30 glass is superior to other types of shielding glass in terms of its ability to reduce the number of photons produced by gamma rays and its overall effectiveness.
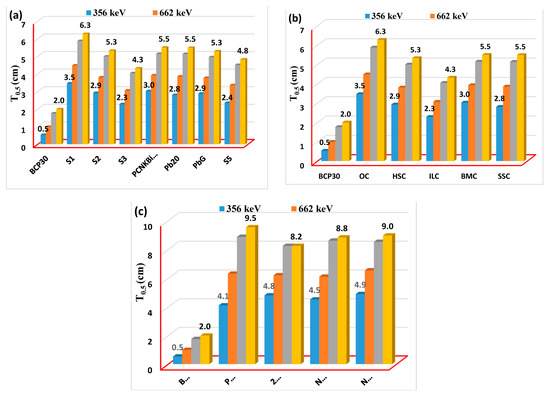
In light of the fact that the BCP30 has the lowest GHVL value among the glasses that were investigated, it is compared with certain common gamma-shielding glasses, concretes, and polymers as shown in Figure 8a–c at 356, 662, 1173, and 1333 keV. In this figure, the GHVL value of the BCP30 glass is lower than the GHVL values of the different types of glass materials, concretes, and polymers. It means that this glass sample better absorbs than S1 [28], S2 [29], S3 [30], PCNKBi7.5 [31], Pb20 [7], PbG [32], S5 [33], (OC, HSC, ILC, BMC, IC) concretes [34], and PbCl2(20%) [35], 20% BaZrO3 [36], NPW20 [37], and Nb(15%) [38]. At a selected photon energy, it has been shown that the glass produced by the current research is more effective than some glasses, concretes, and polymers. Considering these findings, it is possible to draw the conclusion that BCP30 may be a viable option for use as a radiation-shielding material.

3.3.3. Radiation Protection Efficiency

Gamma radiation protection efficiency (GRPE) is the other important factor that indicates how the glass is efficient in absorbing the photons. Figure 9a–f shows the GRPE values for BCP5, BCP10, BCP15, BCP20, BCP25, and BCP30 samples at 81, 238, 356, 662, 911, 1173, 1332, and 2614 keV, respectively. As seen in this figure, the GRPE values for glasses increase with both the increasing thickness and concentration of glasses and decrease with the increasing photon energy. A total of 99.93, 91.73, 81.10, 59.18, 47.85, 39.69, 35.94, and 20.30% are the GRPE values for BCP30 samples at 81, 238, 356, 662, 911, 1173, 1332, and 2614 keV, respectively. It means that the highest GRPE value at a lower energy and the lowest GRPE value at the highest energy. The effective removal of the cross-section, also known as ΣR, has been responsible for the creation of the glass samples. It is possible to make the assertion that there is a linear connection between the amount of Bi2O3 present in the glass materials and the values of ΣR, as shown in Figure 10a. The results of ΣR indicate that the BCP30 sample has the greatest value. The ΣR values have been used to calculate the neutron half-value layer NHVL for all glass samples [39]. Figure 10b shows that the NHVL values decrease as the Bi2O3 content increases, and the BCP30 sample has the lowest value.
The finding discusses the X-ray diffraction patterns and gamma ray attenuation coefficients for Bi2O3-CaO-P2O5 (BCP) glasses. The X-ray diffraction patterns for BCP5 and BCP30 glasses are almost identical, depicting a diffuse ring centered around 25–35°, which indicates that all glass samples used in the study were amorphous. The density of the glass is determined by the degree of variation in the many structural units that make up the glass’s composition, and the presence of heavy metal oxide in glass results in a denser product. Bi2O3 is a glass modifier with a higher molecular weight than CaO, and the glass density increases with an increase in Bi2O3 concentration due to the presence of modifier ions, such as Bi3+, and a rise in the proportion of non-bridging oxygen atoms. The addition of Bi2O3 to the glass structure increases the interaction between gamma ray photons and the atoms of Bi, resulting in a higher value of the linear attenuation coefficient (GLAC) as the atomic number of Bi is higher than that of Ca. The GLAC also increases with an increase in the density of the glass, and glass with a higher density produces a higher value of GLAC. However, the GLAC values for certain glass decrease with increasing energy.
The findings are significant in understanding the properties of BCP glasses, particularly in relation to their density and gamma ray attenuation. The results show that the addition of Bi2O3 to the glass structure can significantly increase its density, which can have important applications in various fields, such as radiation shielding, where high-density materials are required. This study also highlights the importance of the atomic number of glass modifiers, such as Bi2O3, in determining the attenuation of gamma rays, which can have implications in fields, such as nuclear medicine, where gamma ray imaging and therapy are commonly used. Furthermore, the finding that the GLAC values for certain glass decrease with increasing energy can have important applications in the design of radiation detectors, where the attenuation of gamma rays at different energies is an important consideration. Finally, the presented finding provides valuable insights into the properties of BCP glasses, particularly in relation to their density and gamma ray attenuation. This study highlights the importance of glass modifiers, such as Bi2O3, in determining the properties of glass, and the findings can have important applications in various fields, such as radiation shielding and nuclear medicine. However, further research is needed to explore the effect of other factors on the properties of BCP glasses and their applications in different fields.

4. Conclusions

In the current investigation, the density of the phospho-bismuth glass system was made denser by the use of a glass modifier, known as Bi2O3. When compared to different types of glass, it was discovered that the glasses with the greatest Bi2O3 concentration produced the highest GMAC while simultaneously having the lowest GHVL. The X-ray diffraction patterns for BCP5 and BCP30 glasses showed a diffuse ring centered around 25–35°, indicating that all the glass samples used in the study were amorphous. The linear attenuation coefficient (GLAC) was determined for all glasses at different photon energies using gamma rays from different sources. The GLAC values increased as the concentration of Bi2O3 in the glass increased, which was attributed to the interaction between gamma ray photons and the atoms of Bi and the density of the glass modifier. Furthermore, the GLAC values for certain glass decreased with increasing energy. This glass sample produced an outcome that is even superior to regular concretes and some radiation shielding polymers. This suggests that this glass is more effective at reducing the effects of gamma rays and offers a higher level of protection than other glasses. The results concluded that the prepared glass samples can be used as a cover for the solar cells to protect them from harmful radiation. due to the great ability of the prepared glasses to attenuate the radiation, especially the BCP30 sample that has the highest Bi2O3 content.

Author Contributions

Conceptualization, M.A.M.U. and S.A.M.I.; methodology, A.M.A.M. and A.E.; software, A.M.A.M. and H.M.H.Z.; validation, E.F.E.A., A.A. and M.A.M.U.; formal analysis, A.A.; investigation, M.A.M.U.; resources, E.F.E.A., A.M.A.M. and S.A.M.I.; data curation, A.M.A.M., A.E. and A.A.; writing—original draft preparation, S.A.M.I. and H.M.H.Z.; writing—review and editing, M.A.M.U. and A.E.; visualization, A.A.; supervision, H.M.H.Z.; project administration, S.A.M.I.; A.E. acknowledges the work and APC covered by “Dunarea de Jos” University of Galati, Romania. All authors have read and agreed to the published version of the manuscript.

Funding

This work was funded by the Dean of scientific Research at Jouf University under Grant Number (DSR2022-RG-0127).

Data Availability Statement

The datasets generated during and/or analyzed during the current study are available from the corresponding author upon reasonable request.

Acknowledgments

This work was funded by the Dean of scientific Research at Jouf University under Grant Number (DSR2022-RG-0127).

Conflicts of Interest

The authors declare no conflict of interest.

References

  1. El-Denglawey, A.; Zakaly, H.M.H.; Alshammari, K.; Issa, S.A.M.; Tekin, H.O.; AbuShanab, W.S.; Saddeek, Y.B. Prediction of mechanical and radiation parameters of glasses with high Bi2O3 concentration. Results Phys. 2021, 21, 103839. [Google Scholar] [CrossRef]
  2. Elazaka, A.I.; Zakaly, H.M.H.; Issa, S.A.M.; Rashad, M.; Tekin, H.O.; Saudi, H.A.; Gillette, V.H.; Erguzel, T.T.; Mostafa, A.G. New approach to removal of hazardous Bypass Cement Dust (BCD) from the environment: 20Na2O-20BaCl2-(60-x)B2O3-(x)BCD glass system and Optical, mechanical, structural and nuclear radiation shielding competences. J. Hazard. Mater. 2021, 403, 123738. [Google Scholar] [CrossRef] [PubMed]
  3. Elshami, W.; Tekin, H.O.; Issa, S.A.M.; Abuzaid, M.M.; Zakaly, H.M.H.; Issa, B.; Ene, A. Impact of Eye and Breast Shielding on Organ Doses During Cervical Spine Radiography: Design and Validation of MIRD Computational Phantom. Front. Public Health 2021, 9, 1580. [Google Scholar] [CrossRef]
  4. Boodaghi Malidarre, R.; Akkurt, I.; Ekmekci, I.; Zakaly, H.M.H.; Mohammed, H. The role of La2O3 rare earth (RE) material in the enhancement of the radiation shielding, physical, mechanical and acoustic properties of the tellurite glasses. Radiat. Eff. Defects Solids 2022. [Google Scholar] [CrossRef]
  5. Khanna, A.; Bhatti, S.S.; Singh, K.J.; Thind, K.S. Gamma-ray attenuation coefficients in some heavy metal oxide borate glasses at 662 keV. Nucl. Instrum. Methods Phys. Res. Sect. B Beam Interact. Mater. At. 1996, 114, 217–220. [Google Scholar] [CrossRef]
  6. Abouhaswa, A.S.; Zakaly, H.M.H.; Issa, S.A.M.; Rashad, M.; Pyshkina, M.; Tekin, H.O.; El-Mallawany, R.; Mostafa, M.Y.A. Synthesis, physical, optical, mechanical, and radiation attenuation properties of TiO2–Na2O–Bi2O3–B2O3 glasses. Ceram. Int. 2020, 47, 185–204. [Google Scholar] [CrossRef]
  7. Singh, K.J.; Kaur, S.; Kaundal, R.S. Comparative study of gamma ray shielding and some properties of PbO-SiO2-Al2O3 and Bi2O3-SiO2-Al2O3 glass systems. Radiat. Phys. Chem. 2014, 96, 153–157. [Google Scholar] [CrossRef]
  8. Mostafa, A.M.A.; Zakaly, H.M.H.; Pyshkina, M.; Issa, S.A.M.; Tekin, H.O.; Sidek, H.A.A.; Matori, K.A.; Zaid, M.H.M. Multi-objective optimization strategies for radiation shielding performance of BZBB glasses using Bi2O3: A FLUKA Monte Carlo code calculations. J. Mater. Res. Technol. 2020, 9, 12335–12345. [Google Scholar] [CrossRef]
  9. Ardelean, I.; Cora, S.; Ciceo Lucacel, R.; Hulpus, O. EPR and FT-IR spectroscopic studies of B2O3Bi2O3MnO glasses. Solid State Sci. 2005, 7, 1438–1442. [Google Scholar] [CrossRef]
  10. Rashad, M.; Saudi, H.A.; Zakaly, H.M.H.; Issa, S.A.M.; Abd-Elnaiem, A.M. Control optical characterizations of Ta+5–doped B2O3–Si2O–CaO–BaO glasses by irradiation dose. Opt. Mater. 2021, 112, 110613. [Google Scholar] [CrossRef]
  11. Liu, W.; Sanz, J.; Pecharromán, C.; Sobrados, I.; Lopez-Esteban, S.; Torrecillas, R.; Wang, D.-Y.; Moya, J.S.; Cabal, B. Synthesis, characterization and applications of low temperature melting glasses belonging to P2O5CaO Na2O system. Ceram. Int. 2019, 45, 12234–12242. [Google Scholar] [CrossRef]
  12. Chromčíková, M.; Hruška, B.; Nowicka, A.; Svoboda, R.; Liška, M. Role of modifiers in the structural interpretation of the glass transition behavior in MgO/BaO-Al2O3-P2O5 glasses. J. Non-Cryst. Solids 2021, 573, 121114. [Google Scholar] [CrossRef]
  13. Kucuk, N.; Manohara, S.R.; Hanagodimath, S.M.; Gerward, L. Modeling of gamma ray energy-absorption buildup factors for thermoluminescent dosimetric materials using multilayer perceptron neural network: A comparative study. Radiat. Phys. Chem. 2013, 86, 10–22. [Google Scholar] [CrossRef]
  14. Un, A.; Demir, F. Determination of mass attenuation coefficients, effective atomic numbers and effective electron numbers for heavy-weight and normal-weight concretes. Appl. Radiat. Isot. 2013, 80, 73–77. [Google Scholar] [CrossRef]
  15. Bagheri, R.; Moghaddam, A.K.; Shirmardi, S.P.; Azadbakht, B.; Salehi, M. Determination of gamma-ray shielding properties for silicate glasses containing Bi2O3, PbO, and BaO. J. Non-Cryst. Solids 2018, 479, 62–71. [Google Scholar] [CrossRef]
  16. Gaikwad, D.K.; Pawar, P.P.; Selvam, T.P. Mass attenuation coefficients and effective atomic numbers of biological compounds for gamma ray interactions. Radiat. Phys. Chem. 2017, 138, 75–80. [Google Scholar] [CrossRef]
  17. Zhang, Y.; Zhu, W.; Hao, Z.; Yang, A.; Xu, H.; Jiang, F. Investigation of the P2O5–Bi2O3–CaO system: Glass forming region, structure, properties. J. Non-Cryst. Solids 2023, 600, 122022. [Google Scholar] [CrossRef]
  18. Chaitanya, Y.; Yusub, S.; Ramesh Babu, A.; Aruna, V.; Sree Ram, N.; Linga Raju, C. Impact of copper ions on physical, structural, spectroscopic, and dielectric properties of Bi2O3–CaO–P2O5–B2O3 glasses. Mater. Chem. Phys. 2022, 290, 126584. [Google Scholar] [CrossRef]
  19. Elqahtani, Z.M.; Sayyed, M.I.; Kumar, A.; Jecong, J.F.M.; Almuqrin, A.H. Impact of Bi2O3 on optical properties and radiation attenuation characteristics of Bi2O3-Li2O-P2O5 glasses. Optik 2021, 248, 168081. [Google Scholar] [CrossRef]
  20. Li, X.; Tao, X.; Xia, Y.; Luo, M.; Zeng, X.; Shi, J.; Xiao, Z.; Kong, L.B. Preparation and characterization of glassy waste forms based on SrF2-Fe2O3-PbO/Bi2O3-P2O5 system. J. Non-Cryst. Solids 2022, 581, 121303. [Google Scholar] [CrossRef]
  21. Rachniyom, W.; Chaiphaksa, W.; Limkitjaroeanporn, P.; Tuschaoen, S.; Sangwaranatee, N.; Kaewkhao, J. Effect of Bi2O3 on radiation shielding properties of glasses from coal fly ash. Mater. Today Proc. 2018, 5, 14046–14051. [Google Scholar] [CrossRef]
  22. Issa, S.A.M.; Abulyazied, D.E.; Alrowaily, A.W.; Saudi, H.A.; Ali, E.S.; Henaish, A.M.A.; Zakaly, H.M.H. Improving the electrical, optical and radiation shielding properties of polyvinyl alcohol yttrium oxide composites. J. Rare Earths 2023, in press. [Google Scholar] [CrossRef]
  23. Abulyazied, D.E.; Issa, S.A.M.; Alrowaily, A.W.; Saudi, H.A.; Zakaly, H.M.H.; Ali, E.S. Polylactic acid tungsten trioxide reinforced composites: A study of their thermal, optical, and gamma radiation attenuation performance. Radiat. Phys. Chem. 2023, 205, 110705. [Google Scholar] [CrossRef]
  24. Gaafar, M.S.; Shaarany, I.; Alharbi, T. Structural investigations on some cadmium-borotellurate glasses using ultrasonic, FT-IR and X-ray techniques. J. Alloys Compd. 2014, 616, 625–632. [Google Scholar] [CrossRef]
  25. Issa, S.A.M.; Mostafa, A.M.A. Effect of Bi2O3 in borate-tellurite-silicate glass system for development of gamma-rays shielding materials. J. Alloys Compd. 2017, 695, 302–331. [Google Scholar] [CrossRef]
  26. Bagheri, R.; Khorrami Moghaddam, A.; Yousefnia, H. Gamma Ray Shielding Study of Barium–Bismuth–Borosilicate Glasses as Transparent Shielding Materials using MCNP-4C Code, XCOM Program, and Available Experimental Data. Nucl. Eng. Technol. 2017, 49, 216–223. [Google Scholar] [CrossRef]
  27. Çelikbilek Ersundu, M.; Ersundu, A.E.; Sayyed, M.I.; Lakshminarayana, G.; Aydin, S. Evaluation of physical, structural properties and shielding parameters for K2O–WO3–TeO2 glasses for gamma ray shielding applications. J. Alloys Compd. 2017, 714, 278–286. [Google Scholar] [CrossRef]
  28. Aktas, B.; Yalcin, S.; Dogru, K.; Uzunoglu, Z.; Yilmaz, D. Structural and radiation shielding properties of chromium oxide doped borosilicate glass. Radiat. Phys. Chem. 2019, 156, 144–149. [Google Scholar] [CrossRef]
  29. Yalcin, S.; Aktas, B.; Yilmaz, D. Radiation shielding properties of Cerium oxide and Erbium oxide doped obsidian glass. Radiat. Phys. Chem. 2019, 160, 83–88. [Google Scholar] [CrossRef]
  30. Mhareb, M.H.A.; Alajerami, Y.S.M.; Sayyed, M.I.; Dwaikat, N.; Alqahtani, M.; Alshahri, F.; Saleh, N.; Alonizan, N.; Ghrib, T.; Al-Dhafar, S.I. Radiation shielding, structural, physical, and optical properties for a series of borosilicate glass. J. Non-Cryst. Solids 2020, 550, 120360. [Google Scholar] [CrossRef]
  31. Al-Yousef, H.A.; Sayyed, M.I.; Alotiby, M.; Kumar, A.; Alghamdi, Y.S.; Alotaibi, B.M.; Alsaif, N.A.M.; Mahmoud, K.A.; Al-Hadeethi, Y. Evaluation of optical, and radiation shielding features of New phosphate-based glass system. Optik 2021, 242, 167220. [Google Scholar] [CrossRef]
  32. Al-Harbi, F.F.; Prabhu, N.S.; Sayyed, M.I.; Almuqrin, A.H.; Kumar, A.; Kamath, S.D. Evaluation of structural and gamma ray shielding competence of Li2O-K2O-B2O3-HMO (HMO = SrO/TeO2/PbO/Bi2O3) glass system. Optik 2021, 248, 168074. [Google Scholar] [CrossRef]
  33. Singh, S.; Kaur, R.; Rani, S.; Sidhu, B.S. Physical, structural and nuclear radiation shielding behaviour of xBaO-(0.30-x)MgO-0.10Na2O-0.10Al2O3-0.50B2O3 glass matrix. Mater. Chem. Phys. 2022, 276, 125415. [Google Scholar] [CrossRef]
  34. Bashter, I.I. Calculation of radiation attenuation coefficients for shielding concretes. Ann. Nucl. Energy 1997, 24, 1389–1401. [Google Scholar] [CrossRef]
  35. Özkalaycı, F.; Kaçal, M.R.; Agar, O.; Polat, H.; Sharma, A.; Akman, F. Lead(II) chloride effects on nuclear shielding capabilities of polymer composites. J. Phys. Chem. Solids 2020, 145, 109543. [Google Scholar] [CrossRef]
  36. Ozel, F.; Akman, F.; Kaçal, M.R.; Ozen, A.; Arslan, H.; Polat, H.; Yurtcan, S.; Agar, O. Production of microstructured BaZrO3 and Ba2P2O7-based polymer shields for protection against ionizing photons. J. Phys. Chem. Solids 2021, 158, 110238. [Google Scholar] [CrossRef]
  37. Tekin, H.O.; Kaçal, M.R.; Issa, S.A.M.; Polat, H.; Susoy, G.; Akman, F.; Kilicoglu, O.; Gillette, V.H. Sodium dodecatungstophosphate hydrate-filled polymer composites for nuclear radiation shielding. Mater. Chem. Phys. 2020, 256, 123667. [Google Scholar] [CrossRef]
  38. Akman, F.; Ogul, H.; Ozkan, I.; Kaçal, M.R.; Agar, O.; Polat, H.; Dilsiz, K. Study on gamma radiation attenuation and non-ionizing shielding effectiveness of niobium-reinforced novel polymer composite. Nucl. Eng. Technol. 2021, 54, 283–292. [Google Scholar] [CrossRef]
  39. Falahatkar Gashti, M.; Hosein Ghasemzadeh Mousavinejad, S.; Jalal Khaleghi, S. Evaluation of gamma and neutron radiation shielding properties of the GGBFS based geopolymer concrete. Constr. Build. Mater. 2023, 367, 130308. [Google Scholar] [CrossRef]
Figure 1. Experimental radiation measurements setup and fabricated samples of xBi2O3–(40 − x)CaO-60P2O5 glasses in mol%.
Figure 1. Experimental radiation measurements setup and fabricated samples of xBi2O3–(40 − x)CaO-60P2O5 glasses in mol%.
Materials 16 03036 g001
Figure 2. XRD pattern for prepared glasses.
Figure 2. XRD pattern for prepared glasses.
Materials 16 03036 g002
Figure 3. Graph of Ln(I/Io) against glass thickness at 356 keV.
Figure 3. Graph of Ln(I/Io) against glass thickness at 356 keV.
Materials 16 03036 g003
Figure 4. (af) Graph of Ln(I/Io) against glass thickness at selected photon energy.
Figure 4. (af) Graph of Ln(I/Io) against glass thickness at selected photon energy.
Materials 16 03036 g004
Figure 5. (a) Linear attenuation coefficient (GLAC) and (b) mass attenuation coefficient (GMAC) for glass samples.
Figure 5. (a) Linear attenuation coefficient (GLAC) and (b) mass attenuation coefficient (GMAC) for glass samples.
Materials 16 03036 g005
Figure 6. Variation of half-value layer (GHVL) for prepared glasses.
Figure 6. Variation of half-value layer (GHVL) for prepared glasses.
Materials 16 03036 g006
Figure 7. Variation of mean-free path (GMFP) for prepared glasses.
Figure 7. Variation of mean-free path (GMFP) for prepared glasses.
Materials 16 03036 g007
Figure 8. Half-value layer values of a BCP30 glass sample compared to (a) glass materials, (b) some concrete, and (c) polymers at 356, 662, 1173, and 1333 keV.
Figure 8. Half-value layer values of a BCP30 glass sample compared to (a) glass materials, (b) some concrete, and (c) polymers at 356, 662, 1173, and 1333 keV.
Materials 16 03036 g008
Figure 9. (af) Gamma radiation protection efficiency (GRPE) for all glasses at selected photon energy.
Figure 9. (af) Gamma radiation protection efficiency (GRPE) for all glasses at selected photon energy.
Materials 16 03036 g009
Figure 10. (a) Fast neutron removal cross-sections (ΣR) and (b) half-value layer for neutron radiation NHVL values for all glass samples.
Figure 10. (a) Fast neutron removal cross-sections (ΣR) and (b) half-value layer for neutron radiation NHVL values for all glass samples.
Materials 16 03036 g010
Table 1. Elemental glass composition in fractional weight.
Table 1. Elemental glass composition in fractional weight.
ElementsBCP5BCP10BCP15BCP20BCP25BCP30
Bi0.1631490.2812920.3707960.4409470.4974110.543837
O0.437170.387640.3501170.3207070.2970350.277572
Ca0.109510.0809190.0592590.0422820.0286180.017383
P0.2901710.2501480.2198280.1960630.1769360.161208
Disclaimer/Publisher’s Note: The statements, opinions and data contained in all publications are solely those of the individual author(s) and contributor(s) and not of MDPI and/or the editor(s). MDPI and/or the editor(s) disclaim responsibility for any injury to people or property resulting from any ideas, methods, instructions or products referred to in the content.

Share and Cite

MDPI and ACS Style

Uosif, M.A.M.; Issa, S.A.M.; Ene, A.; Mostafa, A.M.A.; Atta, A.; El Agammy, E.F.; Zakaly, H.M.H. Lead-Free Ternary Glass for Radiation Protection: Composition and Performance Evaluation for Solar Cell Coverage. Materials 2023, 16, 3036. https://doi.org/10.3390/ma16083036

AMA Style

Uosif MAM, Issa SAM, Ene A, Mostafa AMA, Atta A, El Agammy EF, Zakaly HMH. Lead-Free Ternary Glass for Radiation Protection: Composition and Performance Evaluation for Solar Cell Coverage. Materials. 2023; 16(8):3036. https://doi.org/10.3390/ma16083036

Chicago/Turabian Style

Uosif, Mohamed A. M., Shams A. M. Issa, Antoaneta Ene, Ahmed M. A. Mostafa, Ali Atta, Emam F. El Agammy, and Hesham M. H. Zakaly. 2023. "Lead-Free Ternary Glass for Radiation Protection: Composition and Performance Evaluation for Solar Cell Coverage" Materials 16, no. 8: 3036. https://doi.org/10.3390/ma16083036

APA Style

Uosif, M. A. M., Issa, S. A. M., Ene, A., Mostafa, A. M. A., Atta, A., El Agammy, E. F., & Zakaly, H. M. H. (2023). Lead-Free Ternary Glass for Radiation Protection: Composition and Performance Evaluation for Solar Cell Coverage. Materials, 16(8), 3036. https://doi.org/10.3390/ma16083036

Note that from the first issue of 2016, this journal uses article numbers instead of page numbers. See further details here.

Article Metrics

Back to TopTop