Modification of the Tensile Performance of an Extruded ZK60 Magnesium Alloy with the Addition of Rare Earth Elements
Abstract
1. Introduction
2. Materials and Methods
3. Results and Discussion
3.1. Microstructure and Texture of the Extruded ZK60 Alloys with and without RE Addition
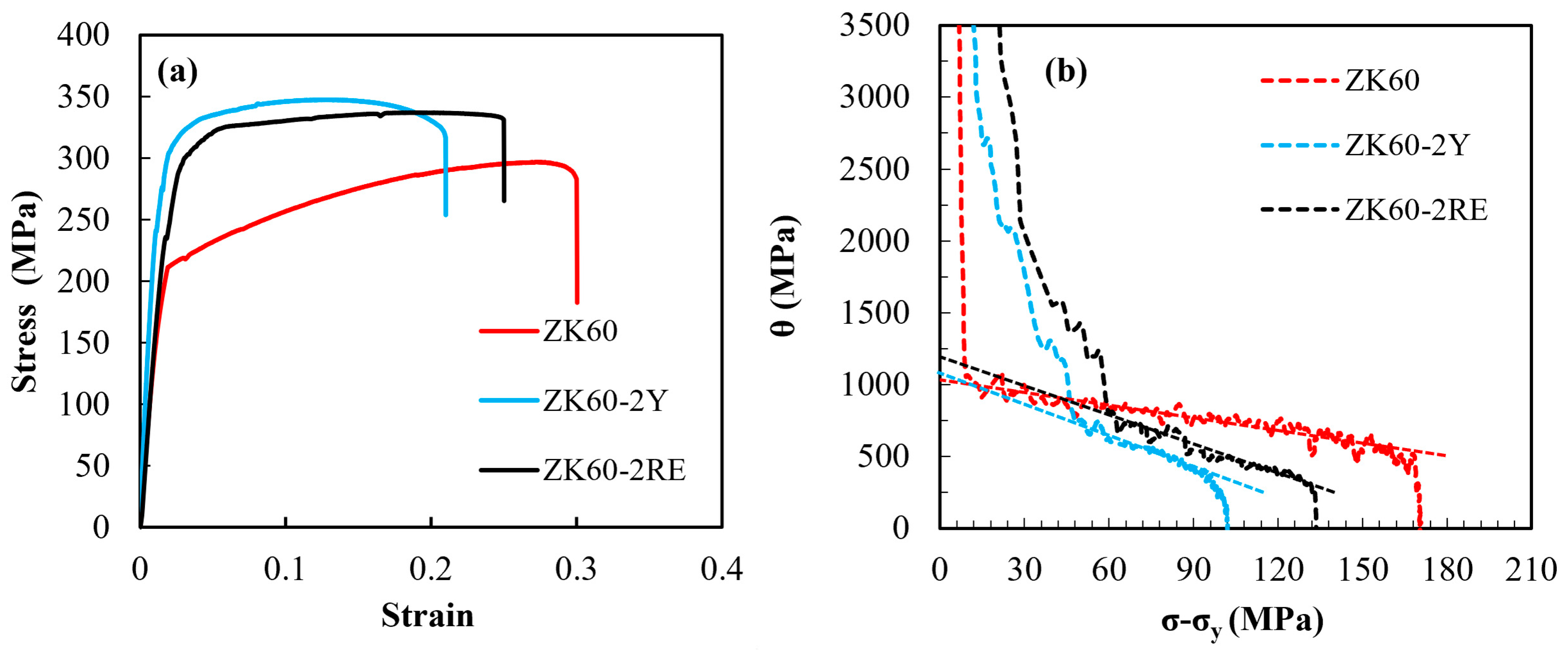
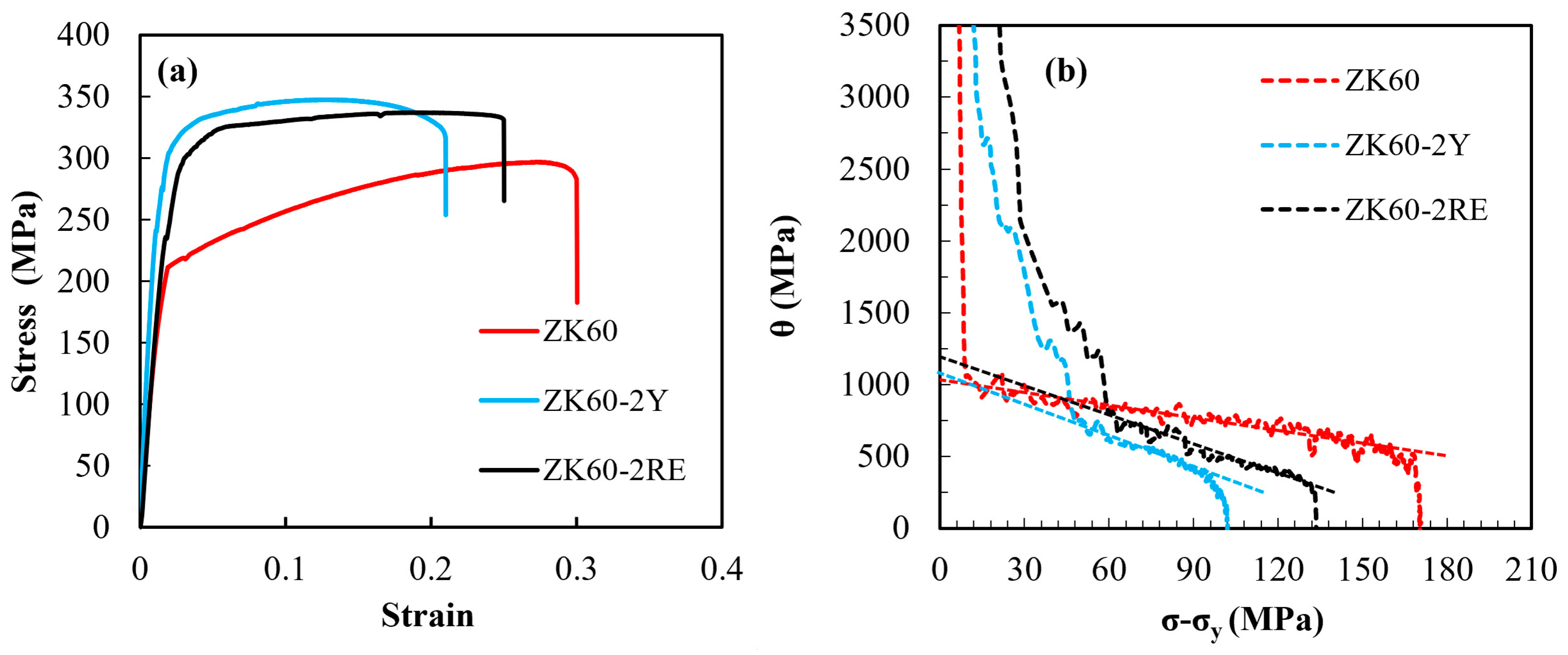
3.2. Influence of RE Element Addition on the Mechanical Properties of the Extruded ZK60 Alloy
4. Conclusions
- (1)
- Adding RE elements to the ZK60 alloy caused grain refinement, the formation of new precipitates, and an enhanced volume fraction of precipitates. The grain size reduction from 6.5 μm to 2.1 and 2.8 μm due to the addition of Y and Ce-rich RE elements, respectively, was attributed to the nucleation of new grains due to CDRX and PSN phenomena, and the pinning effects of second phase particles that hindered grain growth.
- (2)
- In the RE-containing alloys, the texture intensity increased, and the highest texture intensity was achieved in the ZK60–2Y alloy. The higher texture intensity was due to the higher volume fractions of un-DRXed grains in the materials alloyed with Y and Ce-rich RE elements. The higher dislocation density in the ZK60-2RE alloy compared to the ZK60-2Y material can be explained by the expected higher concentration of solute atoms and their larger atomic radii compared to sample ZK60-2Y.
- (3)
- The addition of RE elements increased the strength due to the solute and precipitate strengthening, and the grain size hardening. The ZK60–2Y and ZK60–2RE alloys exhibited lower ductility than the base alloy did due to the smaller grain size and the weakening effect of secondary phase particles on the grain boundary strength. These precipitates acted as stress concentration sites under loading, resulting in crack nucleation and/or easier crack propagation along the grain boundaries. The cracking was also facilitated by the higher stress level caused by the small grain size. The ZK60–2Y alloy exhibited the lowest work hardening rate due to the smallest grain size.
Author Contributions
Funding
Institutional Review Board Statement
Informed Consent Statement
Data Availability Statement
Conflicts of Interest
References
- Tsakiris, V.; Tardei, C.; Clicinschi, F.M. Biodegradable Mg Alloys for Orthopedic Implants—A Review. J. Magnes. Alloys 2021, 9, 1884–1905. [Google Scholar] [CrossRef]
- Sabbaghian, M.; Mahmudi, R.; Shin, K.S. Microstructure, Texture, Mechanical Properties and Biodegradability of Extruded Mg–4Zn‒xMn Alloys. Mater. Sci. Eng. A 2020, 792, 139828. [Google Scholar] [CrossRef]
- Yu, J.; Zhang, Z.; Wang, Q.; Yin, X.; Cui, J.; Qi, H. Dynamic Recrystallization Behavior of Magnesium Alloys with LPSO during Hot Deformation. J. Alloys Compd. 2017, 704, 382–389. [Google Scholar] [CrossRef]
- Dong, S.; Jiang, Y.; Dong, J.; Wang, F.; Ding, W. Cyclic Deformation and Fatigue of Extruded ZK60 Magnesium Alloy with Aging Effects. Mater. Sci. Eng. A 2014, 615, 262–272. [Google Scholar] [CrossRef]
- Gu, D.; Peng, J.; Wang, J.; Pan, F. Effect of Mn Modification on Microstructure and Mechanical Properties of Magnesium Alloy with Low Gd Content. Met. Mater. Int. 2021, 27, 1483–1492. [Google Scholar] [CrossRef]
- Banijamali, S.M.; Palizdar, Y.; Najafi, S.; Sheikhani, A.; Soltan Ali Nezhad, M.; Valizadeh Moghaddam, P.; Torkamani, H. Effect of Ce Addition on the Tribological Behavior of ZK60 Mg-Alloy. Met. Mater. Int. 2021, 27, 2732–2742. [Google Scholar] [CrossRef]
- Pourbahari, B.; Mirzadeh, H.; Emamy, M.; Roumina, R. Enhanced Ductility of a Fine-grained Mg–Gd–Al–Zn Magnesium Alloy by Hot Extrusion. Adv. Eng. Mater. 2018, 20, 1701171. [Google Scholar] [CrossRef]
- Fakhar, N.; Sabbaghian, M. A Good Combination of Ductility, Strength, and Corrosion Resistance of Fine-Grained ZK60 Magnesium Alloy Produced by Repeated Upsetting Process for Biodegradable Applications. J. Alloys Compd. 2021, 862, 158334. [Google Scholar] [CrossRef]
- Chen, Y.; Zhu, Z.; Zhou, J. Study on the Strengthening Mechanism of Rare Earth Yttrium on Magnesium Alloys. Mater. Sci. Eng. A 2022, 850, 143513. [Google Scholar] [CrossRef]
- Barezban, M.H.; Roumina, R.; Mirzadeh, H.; Mahmudi, R. Effect of Gd on Dynamic Recrystallization Behavior of Magnesium During Hot Compression. Met. Mater. Int. 2021, 27, 843–850. [Google Scholar] [CrossRef]
- Wang, L.; Zhang, Z.; Zhang, H.; Wang, H.; Shin, K.S. The Dynamic Recrystallization and Mechanical Property Responses during Hot Screw Rolling on Pre-Aged ZM61 Magnesium Alloys. Mater. Sci. Eng. A 2020, 798, 140126. [Google Scholar] [CrossRef]
- Wu, J.; Jin, L.; Dong, J.; Wang, F.; Dong, S. The Texture and Its Optimization in Magnesium Alloy. J. Mater. Sci. Technol. 2020, 42, 175–189. [Google Scholar] [CrossRef]
- Yu, H.; Liu, Y.; Liu, Y.; Wang, D.; Xu, Y.; Jiang, B.; Cheng, W.; Huang, L.; Tang, W.; Yu, W. Enhanced Strength-Ductility Synergy in Mg-0.5 Wt%Ce Alloy by Hot Extrusion. Met. Mater. Int. 2022, 1–8. [Google Scholar] [CrossRef]
- Li, R.; Fu, G.; Xu, Z.; Su, Y.; Hao, Y. Effect of Dynamically Recrystallized Grains on Rare Earth Texture in Magnesium Alloy Extruded at High Temperature. Adv. Eng. Mater. 2018, 20, 1700818. [Google Scholar] [CrossRef]
- Li, L.; Wang, Y.; Zhang, C.; Wang, T.; Lv, H. Effects of Yb Concentration on Recrystallization, Texture and Tensile Properties of Extruded ZK60 Magnesium Alloys. Mater. Sci. Eng. A 2020, 788, 139609. [Google Scholar] [CrossRef]
- Wang, W.; Chen, W.; Jung, J.; Cui, C.; Li, P.; Yang, J.; Zhang, W.; Xiong, R.; Kim, H.S. Asymmetry Evolutions in Microstructure and Strain Hardening Behavior between Tension and Compression for AZ31 Magnesium Alloy. Mater. Sci. Eng. A 2022, 844, 143168. [Google Scholar] [CrossRef]
- Zhang, D.; Zhang, D.; Zhang, Y.; Chen, S.; Xu, T.; Meng, J. Analysis of Strain Hardening Behavior in a Ductile Mg–Yb Based Alloy. Mater. Sci. Eng. A 2021, 819, 141462. [Google Scholar] [CrossRef]
- Najafi, S.; Sabbaghian, M.; Sheikhani, A.; Nagy, P.; Fekete, K.; Gubicza, J. Effect of Addition of Rare Earth Elements on the Microstructure, Texture, and Mechanical Properties of Extruded ZK60 Alloy. Met. Mater. Int. 2022. [Google Scholar] [CrossRef]
- Zhou, B.; Zhu, T.; Jia, H.; Ma, Z.; Hao, T.; Wang, J.; Zeng, X. Revealing the Weak Work-Hardening Behavior in Aged Mg–RE Alloys: A Synchrotron Radiation Diffraction Study. J. Alloys Compd. 2023, 947, 169705. [Google Scholar] [CrossRef]
- Shi, Q.; Wang, C.; Deng, K.; Fan, Y.; Nie, K.; Liang, W. Work Hardening and Softening Behaviors of Mg-Zn-Gd-Ca Alloy Regulated by Bimodal Microstructure. J. Alloys Compd. 2023, 938, 168606. [Google Scholar] [CrossRef]
- Hou, M.; Deng, K.; Wang, C.; Nie, K.; Shi, Q. The Work Hardening and Softening Behaviors of Mg–6Zn-1Gd-0.12Y Alloy Influenced by the VR/VD Ratio. Mater. Sci. Eng. A 2022, 856, 143970. [Google Scholar] [CrossRef]
- Gubicza, J. X-ray Line Profile Analysis in Materials Science; IGI Global: Hershey, PA, USA, 2014; ISBN 1466658533. [Google Scholar]
- Ribárik, G.; Gubicza, J.; Ungár, T. Correlation between Strength and Microstructure of Ball-Milled Al–Mg Alloys Determined by X-Ray Diffraction. Mater. Sci. Eng. A 2004, 387–389, 343–347. [Google Scholar] [CrossRef]
- Nagy, P.; Kaszás, B.; Csabai, I.; Hegedűs, Z.; Michler, J.; Pethö, L.; Gubicza, J. Machine Learning-Based Characterization of the Nanostructure in a Combinatorial Co-Cr-Fe-Ni Compositionally Complex Alloy Film. Nanomaterials 2022, 12, 4407. [Google Scholar] [CrossRef]
- Sabbaghian, M.; Fakhar, N.; Nagy, P.; Fekete, K.; Gubicza, J. Investigation of Shear and Tensile Mechanical Properties of ZK60 Mg Alloy Sheet Processed by Rolling and Sheet Extrusion. Mater. Sci. Eng. A 2021, 828, 142098. [Google Scholar] [CrossRef]
- Pang, H.; Li, Q.; Chen, X.; Chen, P.; Li, X.; Tan, J. Dynamic Recrystallization Mechanism and Precipitation Behavior of Mg-6Gd-3Y-3Sm-0.5Zr Alloy During Hot Compression. Met. Mater. Int. 2023, 29, 390–401. [Google Scholar] [CrossRef]
- Sabbaghian, M.; Mahmudi, R.; Shin, K.S. Microstructural Evolution, Mechanical Properties, and Biodegradability of a Gd-Containing Mg-Zn Alloy. Metall. Mater. Trans. A 2021, 52, 1269–1281. [Google Scholar] [CrossRef]
- Lv, S.; Meng, F.; Lu, X.; Yang, Q.; Qiu, X.; Duan, Q.; Meng, J. Influence of Nd Addition on Microstructures and Mechanical Properties of a Hot-Extruded Mg−6.0Zn−0.5Zr (Wt.%) Alloy. J. Alloys Compd. 2019, 806, 1166–1179. [Google Scholar] [CrossRef]
- Gubicza, J. Defect Structure and Properties of Nanomaterials; Woodhead Publishing: Sawston, UK, 2017; ISBN 0081019181. [Google Scholar]
- Liu, T.; Pan, F.; Zhang, X. Effect of Sc Addition on the Work-Hardening Behavior of ZK60 Magnesium Alloy. Mater. Des. 2013, 43, 572–577. [Google Scholar] [CrossRef]
- Liao, H.; Kim, J.; Liu, T.; Tang, A.; She, J.; Peng, P.; Pan, F. Effects of Mn Addition on the Microstructures, Mechanical Properties and Work-Hardening of Mg-1Sn Alloy. Mater. Sci. Eng. A 2019, 754, 778–785. [Google Scholar] [CrossRef]
- Zhang, D.; Zhang, D.; Bu, F.; Li, X.; Li, B.; Yan, T.; Guan, K.; Yang, Q.; Liu, X.; Meng, J. Excellent Ductility and Strong Work Hardening Effect of As-Cast Mg-Zn-Zr-Yb Alloy at Room Temperature. J. Alloys Compd. 2017, 728, 404–412. [Google Scholar] [CrossRef]






| Alloy | Grain Size (µm) | fP (%) | fDRX (%) | fHAGB (%) | ρ (1014 m−2) | Crystallite Size (nm) | σy (MPa) | UTS (MPa) |
|---|---|---|---|---|---|---|---|---|
| ZK60 | 6.5 ± 0.3 | 2 ± 0.5 | 96.1 | 95.2 | 1.2 ± 0.2 | 119 ± 14 | 212 ± 9 | 299 ±11 |
| ZK60–2Y | 2.1 ± 0.2 | 14 ± 1 | 63.4 | 92.5 | 1.0 ± 0.2 | 96 ± 10 | 303 ± 6 | 348 ± 8 |
| ZK60–2RE | 2.8 ± 0.1 | 15 ± 1 | 61.2 | 92.7 | 2.3 ± 0.2 | 74 ± 10 | 299 ± 7 | 337 ± 5 |
| Alloy | (MPa) | σs (MPa) | Hc | n |
|---|---|---|---|---|
| ZK60 | 1016 | 170 | 0.81 | 0.30 |
| ZK60–2Y | 1090 | 102 | 0.34 | 0.13 |
| ZK60–2RE | 1194 | 134 | 0.47 | 0.19 |
Disclaimer/Publisher’s Note: The statements, opinions and data contained in all publications are solely those of the individual author(s) and contributor(s) and not of MDPI and/or the editor(s). MDPI and/or the editor(s) disclaim responsibility for any injury to people or property resulting from any ideas, methods, instructions or products referred to in the content. |
© 2023 by the authors. Licensee MDPI, Basel, Switzerland. This article is an open access article distributed under the terms and conditions of the Creative Commons Attribution (CC BY) license (https://creativecommons.org/licenses/by/4.0/).
Share and Cite
Najafi, S.; Sheikhani, A.; Sabbaghian, M.; Nagy, P.; Fekete, K.; Gubicza, J. Modification of the Tensile Performance of an Extruded ZK60 Magnesium Alloy with the Addition of Rare Earth Elements. Materials 2023, 16, 2828. https://doi.org/10.3390/ma16072828
Najafi S, Sheikhani A, Sabbaghian M, Nagy P, Fekete K, Gubicza J. Modification of the Tensile Performance of an Extruded ZK60 Magnesium Alloy with the Addition of Rare Earth Elements. Materials. 2023; 16(7):2828. https://doi.org/10.3390/ma16072828
Chicago/Turabian StyleNajafi, Soroush, Alireza Sheikhani, Mahdi Sabbaghian, Péter Nagy, Klaudia Fekete, and Jenő Gubicza. 2023. "Modification of the Tensile Performance of an Extruded ZK60 Magnesium Alloy with the Addition of Rare Earth Elements" Materials 16, no. 7: 2828. https://doi.org/10.3390/ma16072828
APA StyleNajafi, S., Sheikhani, A., Sabbaghian, M., Nagy, P., Fekete, K., & Gubicza, J. (2023). Modification of the Tensile Performance of an Extruded ZK60 Magnesium Alloy with the Addition of Rare Earth Elements. Materials, 16(7), 2828. https://doi.org/10.3390/ma16072828

