Relationship between the Synthesis Method and the Magnetoelectric Properties of Bismuth Sodium-Potassium Titanate/Nickel Cobalt Ferrite Lead-Free Composites
Abstract
1. Introduction
2. Materials and Methods
2.1. Synthesis of BNKT through the Solid-State Method (SS)
2.2. Synthesis of BNKT through the Sol-Gel Method (SG)
2.3. Synthesis of NCF Phase
2.4. Composites Preparation
2.5. Characterization
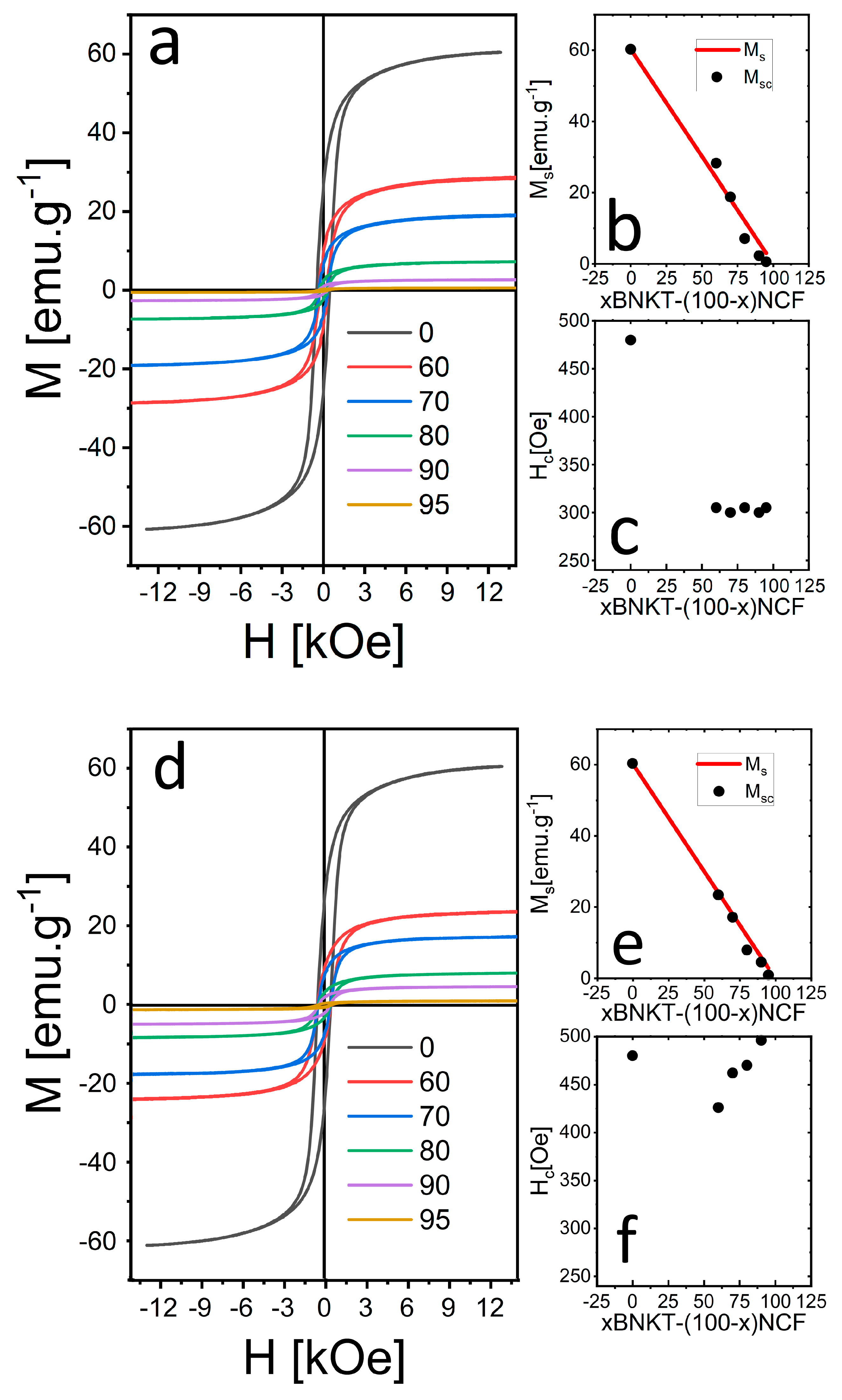
3. Results
4. Conclusions
Author Contributions
Funding
Institutional Review Board Statement
Informed Consent Statement
Data Availability Statement
Conflicts of Interest
Appendix A

References
- Srinivas, A.; Krishnaiah, R.V.; Karthik, T.; Suresh, P.; Asthana, S.; Kamat, S.V. Observation of Direct and Indirect Magnetoelectricity in Lead Free Ferroelectric (Na0.5 Bi0.5TiO3)–Magnetostrictive (CoFe2O4) Particulate Composite. Appl. Phys. Lett. 2012, 101, 082902. [Google Scholar] [CrossRef]
- Ramesh, R.; Spaldin, N.A. Multiferroics: Progress and Prospects in Thin Films. In Nanoscience and Technology: A Collection of Reviews from Nature Journals; World Scientific Publishing Co.: Singapore, 2009; pp. 20–28. ISBN 978-981-4287-00-5. [Google Scholar]
- Oanh, L.T.M.; Do, D.B.; Van Minh, N. A Study of Structural Phase Transition, Vibration, Optical, and Magnetic Properties of Fe-Doped PbTiO3 Nanostructured Powders. Appl. Phys. A 2016, 122, 660. [Google Scholar] [CrossRef]
- Zhang, S.T.; Kounga, A.B.; Aulbach, E.; Granzow, T.; Jo, W.; Kleebe, H.J.; Rödel, J. Lead-Free Piezoceramics with Giant Strain in the System Bi0.5Na0.5TiO3-BaTiO3-K0.5Na0.5NbO3. I. Structure and Room Temperature Properties. J. Appl. Phys. 2008, 103, 034107. [Google Scholar] [CrossRef]
- Wang, B.Y.; Wang, H.T.; Singh, S.B.; Shao, Y.C.; Wang, Y.F.; Chuang, C.H.; Yeh, P.H.; Chiou, J.W.; Pao, C.W.; Tsai, H.M.; et al. Effect of Geometry on the Magnetic Properties of CoFe2O4–PbTiO3 Multiferroic Composites. RSC Adv. 2013, 3, 7884. [Google Scholar] [CrossRef]
- Ahn, C.W.; Kim, H.S.; Woo, W.S.; Won, S.S.; Seog, H.J.; Chae, S.A.; Park, B.C.; Jang, K.B.; Ok, Y.P.; Chong, H.H.; et al. Low-Temperature Sintering of Bi0.5(Na,K)0.5TiO3 for Multilayer Ceramic Actuators. J. Am. Ceram. Soc. 2015, 98, 1877–1883. [Google Scholar] [CrossRef]
- Wendari, T.P.; Arief, S.; Mufti, N.; Blake, G.R.; Baas, J.; Suendo, V.; Prasetyo, A.; Insani, A.; Zulhadjri, Z. Lead-Free Aurivillius Phase Bi2LaNb1.5Mn0.5O9: Structure, Ferroelectric, Magnetic, and Magnetodielectric Effects. Inorg. Chem. 2022, 61, 8644–8652. [Google Scholar] [CrossRef] [PubMed]
- Li, C.; Huang, Y.H.; Hong, J.S.; Liu, X.Q.; Li, J.; Wu, Y.J. Magnetoelectric Effect in Sm-Substituted Tungsten Bronze Structure Ba4(SmLa1-x)2Fe2Nb8O30 Ceramics. J. Alloys Compd. 2019, 786, 126–133. [Google Scholar] [CrossRef]
- Saini, N.; Jindal, R.; Tripathi, A. Study of Lattice Dynamics of Bilayered Tetragonal Ruddlesden-Popper Compounds (Ca,Sr)3Mn2O7. Mater. Today Commun. 2023, 34, 105190. [Google Scholar] [CrossRef]
- Liu, M.; Zhang, Y.; Lin, L.-F.; Lin, L.; Yang, S.; Li, X.; Wang, Y.; Li, S.; Yan, Z.; Wang, X.; et al. Direct Observation of Ferroelectricity in Ca3Mn2O7 and Its Prominent Light Absorption. Appl. Phys. Lett. 2018, 113, 022902. [Google Scholar] [CrossRef]
- Baji, A.; Mai, Y.-W.; Yimnirun, R.; Unruan, S. Electrospun Barium Titanate/Cobalt Ferrite Composite Fibers with Improved Magnetoelectric Performance. RSC Adv. 2014, 4, 55217–55223. [Google Scholar] [CrossRef]
- Yang, F.; Zhang, F.; Dong, C.; Liu, F.; Tang, M. Multiferroic Properties of Bi3.15Nd0.85Ti3O12–NiFe2O4–Bi3.15Nd0.85Ti3O12 Trilayer Composite Thin Films Prepared by a Sol–Gel Process. J. Sol-Gel Sci. Technol. 2014, 73, 469–475. [Google Scholar] [CrossRef]
- Martin, L.W.; Crane, S.P.; Chu, Y.H.; Holcomb, M.B.; Gajek, M.; Huijben, M.; Yang, C.H.; Balke, N.; Ramesh, R. Multiferroics and Magnetoelectrics: Thin Films and Nanostructures. J. Phys. Condens 2008, 20, 434220. [Google Scholar] [CrossRef]
- Chen, Y.; Fitchorov, T.; Geiler, A.L.; Gao, J.; Vittoria, C.; Harris, V.G. Dynamic Response of Converse Magnetoelectric Effect in a PMN-PT-Based Multiferroic Heterostructure. Appl. Phys. A 2010, 100, 1149–1155. [Google Scholar] [CrossRef]
- Nan, C.W.; Bichurin, M.I.; Dong, S.; Viehland, D.; Srinivasan, G. Multiferroic Magnetoelectric Composites: Historical Perspective, Status, and Future Directions. J. Appl. Phys. 2008, 103, 031101. [Google Scholar] [CrossRef]
- Etier, M.; Shvartsman, V.V.; Salamon, S.; Gao, Y.; Wende, H.; Lupascu, D.C. The Direct and the Converse Magnetoelectric Effect in Multiferroic Cobalt Ferrite-Barium Titanate Ceramic Composites. J. Am. Ceram. Soc. 2016, 99, 3623–3631. [Google Scholar] [CrossRef]
- Priya, S.; Islam, R.; Dong, S.; Viehland, D. Recent Advancements in Magnetoelectric Particulate and Laminate Composites. J. Electroceramics 2007, 19, 149–166. [Google Scholar] [CrossRef]
- Krishnaiah, R.V.; Srinivas, A.; Kamat, S.V.; Karthik, T.; Asthana, S. Effect of CoFe2O4 Mole Percentage on Multiferroic and Magnetoelectric Properties of Na0.5Bi0.5TiO3/CoFe2O4 Particulate Composites. Ceram. Int. 2014, 40, 7799–7804. [Google Scholar] [CrossRef]
- Chen, X.M.; Tang, Y.H.; Chen, I.-W.; Xu, Z.C.; Wu, S.Y. Dielectric and Magnetoelectric Characterization of CoFe2O4/Sr0.5Ba0.5Nb2O6 Composites. J. Appl. Phys. 2004, 96, 6520–6522. [Google Scholar] [CrossRef]
- Röbisch, V.; Yarar, E.; Urs, N.O.; Teliban, I.; Knöchel, R.; McCord, J.; Quandt, E.; Meyners, D. Exchange Biased Magnetoelectric Composites for Magnetic Field Sensor Application by Frequency Conversion. J. Appl. Phys. 2015, 117, 17B513. [Google Scholar] [CrossRef]
- Sreenivasulu, G.; Fetisov, L.Y.; Fetisov, Y.K.; Srinivasan, G. Piezoelectric Single Crystal Langatate and Ferromagnetic Composites: Studies on Low-Frequency and Resonance Magnetoelectric Effects. Appl. Phys. Lett. 2012, 100, 052901. [Google Scholar] [CrossRef]
- Yang, H.; Zhang, J.; Lin, Y.; Wang, T. High Curie Temperature and Enhanced Magnetoelectric Properties of the Laminated Li0.058(Na0.535K0.48)0.942NbO3/Co0.6Zn0.4Fe1.7Mn0.3O4 Composites. Sci. Rep. 2017, 7, 44855. [Google Scholar] [CrossRef]
- Kumar, A.S.; Lekha, C.S.C.; Vivek, S.; Saravanan, V.; Nandakumar, K.; Nair, S.S. Multiferroic and magnetoelectric properties of Ba0.85Ca0.15Zr0.1Ti0.9O3–CoFe2O4 core–shell nanocomposite. J. Magn. Magn. Mater. 2016, 418, 294–299. [Google Scholar] [CrossRef]
- Islam, R.A.; Priya, S. Magnetoelectric Properties of the Lead-Free Cofired BaTiO3-(Ni0.8Zn0.2)Fe2O4 Bilayer Composite. Appl. Phys. Lett. 2006, 89, 152911. [Google Scholar] [CrossRef]
- Mane, S.M.; Pawar, S.A.; Patil, D.S.; Kulkarni, S.B.; Tayade, N.T.; Shin, J.C. Magnetoelectric, Magnetodielectric Effect and Dielectric, Magnetic Properties of Microwave-Sintered Lead-Free x(Co0.9Ni0.1Fe2O4)-(1-x)[0.5(Ba0.7Ca0.3TiO3)-0.5(BaZr0.2Ti0.8O3)] Particulate Multiferroic Composite. Ceram. Int. 2020, 46, 3311–3323. [Google Scholar] [CrossRef]
- Prado-Espinosa, A.; Camargo, J.; Ramajo, L.; Castro, M. Improvement on Dielectric and Microstructural Properties of Lead Free Bi0.5Na0.5TiO3 Ceramics through Processing Conditions. J. Mater. Sci. Mater. Electron. 2017, 28, 16836–16841. [Google Scholar] [CrossRef]
- Takenaka, T.; Maruyama, K.; Sakata, K. (Bi1/2Na1/2)TiO3-BaTiO3 System for Lead-Free Piezoelectric Ceramics. Jpn. J. Appl. Phys. 1991, 30, 2236–2239. [Google Scholar] [CrossRef]
- Sasaki, A.; Chiba, T.; Mamiya, Y.; Otsuki, E. Dielectric and Piezoelectric Properties of (Bi0.5Na0.5)TiO3–(Bi0.5K0.5)TiO3 Systems. Jpn. J. Appl. Phys. 1999, 38, 5564–5567. [Google Scholar] [CrossRef]
- Camargo, J.; Ramajo, L.; Rubio-Marcos, F.; Castro, M. Ferroelectric Properties of Bi0.5(Na0.8K0.2)0.5TiO3 Ceramics. AMR 2014, 975, 3–8. [Google Scholar] [CrossRef]
- Moosavi, A.; Bahrevar, M.A.; Aghaei, A.R.; Ramos, P.; Algueró, M.; Amorín, H. High-Field Electromechanical Response of Bi0.5Na0.5TiO3-Bi0.5K0.5TiO3 across Its Morphotropic Phase Boundary. J. Phys. D 2014, 47, 055304. [Google Scholar] [CrossRef]
- Camargo, J.; Ramajo, L.; Rubio-Marcos, F.; Castro, M. Estudio de Las Condiciones de Procesamiento de Bi0.5(Na0.8K0.2)0.5TiO3. Bol. Soc. Esp. Ceram. Vidr. 2014, 53, 27–31. [Google Scholar] [CrossRef]
- Gao, X.; Liu, L.; Birajdar, B.; Ziese, M.; Lee, W.; Alexe, M.; Hesse, D. High-Density Periodically Ordered Magnetic Cobalt Ferrite Nanodot Arrays by Template-Assisted Pulsed Laser Deposition. Adv. Funct. Mater. 2009, 19, 3450–3455. [Google Scholar] [CrossRef]
- Ahalya, K.; Suriyanarayanan, N.; Ranjithkumar, V. Effect of Cobalt Substitution on Structural and Magnetic Properties and Chromium Adsorption of Manganese Ferrite Nano Particles. J. Magn. Magn. Mater. 2014, 372, 208–213. [Google Scholar] [CrossRef]
- Bensebaa, F.; Zavaliche, F.; L’Ecuyer, P.; Cochrane, R.W.; Veres, T. Microwave Synthesis and Characterization of Co-Ferrite Nanoparticles. J. Colloid Interface Sci. 2004, 277, 104–110. [Google Scholar] [CrossRef]
- Mohamed, R.M.; Rashad, M.M.; Haraz, F.A.; Sigmund, W. Structure and Magnetic Properties of Nanocrystalline Cobalt Ferrite Powders Synthesized Using Organic Acid Precursor Method. J. Magn. Magn. Mater. 2010, 322, 2058–2064. [Google Scholar] [CrossRef]
- Park, M.B.; Hwang, S.J.; Cho, N.H. Effect of the Grain Size and Chemical Features on the Phase Transition and Physical Characteristics of Nano-Grained BaTiO3 Ceramics. Mater. Sci. Eng. B 2003, 99, 155–158. [Google Scholar] [CrossRef]
- Pazik, R.; Hreniak, D.; Strek, W.; Kessler, V.G.; Seisenbaeva, G.A. Photoluminescence Investigations of Eu3+ Doped BaTiO3 Nanopowders Fabricated Using Heterometallic Tetranuclear Alkoxide Complexes. J. Alloys Compd. 2008, 451, 557–562. [Google Scholar] [CrossRef]
- Li, H.; Feng, C.; Yao, W. Some Effects of Different Additives on Dielectric and Piezoelectric Properties of (Bi1/2Na1/2)TiO3–BaTiO3 Morphotropic-Phase-Boundary Composition. Mater. Lett. 2004, 58, 1194–1198. [Google Scholar] [CrossRef]
- Su, B.; Holmes, J.E.; Cheng, B.L.; Button, T.W. Processing Effects on the Microstructure and Dielectric Properties of Barium Strontium Titanate (BST) Ceramics. J. Electroceramics 2002, 9, 111–116. [Google Scholar] [CrossRef]
- Zhang, H.; Jiang, S. Effect of Repeated Composite Sol Infiltrations on the Dielectric and Piezoelectric Properties of a Bi0.5(Na0.82K0.18)0.5TiO3 Lead Free Thick Film. J. Eur. Ceram. Soc. 2009, 29, 717–723. [Google Scholar] [CrossRef]
- Fang, T.-T.; Lin, H.-B.; Hwang, J.-B. Thermal Analysis of Precursors of Barium Titanate Prepared by Coprecipitation. J. Am. Ceram. Soc. 1990, 73, 3363–3367. [Google Scholar] [CrossRef]
- Jones, G.O.; Thomas, P.A. Investigation of the Structure and Phase Transitions in the Novel A-Site Substituted Distorted Perovskite Compound Na0.5Bi0.5TiO3. Acta Cryst. B 2002, 58, 168–178. [Google Scholar] [CrossRef] [PubMed]
- van Quyet, N.; Huu Bac, L.; Odkhuu, D.; Duc Dung, D. Effect of Li2CO3 Addition on the Structural, Optical, Ferroelectric, and Electric-Field-Induced Strain of Lead-Free BNKT-Based Ceramics. J. Phys. Chem. Solids 2015, 85, 148–154. [Google Scholar] [CrossRef]
- Camargo, J.E.; Parra, R.; Ramajo, L.A.; Castro, M.S. Synthesis and Characterization of Bi0.5(Na0.8K0.2)0.5TiO3-Based Ceramics Obtained through the Sol-Gel Method. Ferroelectrics 2019, 545, 62–69. [Google Scholar] [CrossRef]
- Camargo, J.; Prado Espinosa, A.; Ramajo, L.; Castro, M. Influence of the Sintering Process on Ferroelectric Properties of Bi0.5(Na0.8K0.2)0.5TiO3 Lead-Free Piezoelectric Ceramics. J. Mater. Sci. Mater. Electron. 2018, 29, 5427–5432. [Google Scholar] [CrossRef]
- Prasertpalichat, S.; Khengkhatkan, S.; Siritanon, T.; Jutimoosik, J.; Kidkhunthod, P.; Bongkarn, T.; Patterson, E.A. Comparison of Structural, Ferroelectric, and Piezoelectric Properties between A-Site and B-Site Acceptor Doped 0.93Bi0.5Na0.5TiO3-0.07BaTiO3 Lead-Free Piezoceramics. J. Eur. Ceram. Soc. 2021, 41, 4116–4128. [Google Scholar] [CrossRef]
- Kushvaha, D.K.; Rout, S.K.; Tiwari, B. Structural, Piezoelectric and Highdensity Energy Storage Properties of Lead-Free BNKT-BCZT Solid Solution. J. Alloys Compd. 2019, 782, 270–276. [Google Scholar] [CrossRef]
- Nandan, B.; Bhatnagar, M.C.; Kashyap, S.C. Cation Distribution in Nanocrystalline Cobalt Substituted Nickel Ferrites: X-ray Diffraction and Raman Spectroscopic Investigations. J. Phys. Chem. Solids 2019, 129, 298–306. [Google Scholar] [CrossRef]
- Mane, S.M.; Nimbalkar, A.R.; Kim, H.; Kulkarni, S.B.; Tayade, N.T.; Thombare, J.V.; Dhasade, S.S.; Shin, J.C. Magnetoelectric and Magnetodielectric Coupling in Partially Ni-Doped CoFe2O4 and 0.15(Ba0.7Ca0.3TiO3)–0.85(BaZr0.2Ti0.8O3) Composites Prepared via Clean Microwave Sintering. J. Alloys Compd. 2020, 849, 156599. [Google Scholar] [CrossRef]
- Ramana, E.V.; Figueiras, F.; Graça, M.P.F.; Valente, M.A. Observation of Magnetoelectric Coupling and Local Piezoresponse in Modified (Na0.5Bi0.5)TiO3–BaTiO3–CoFe2O4 Lead-Free Composites. Dalton Trans. 2014, 43, 9934–9943. [Google Scholar] [CrossRef]
- Camargo, J.; Prado Espinosa, A.; Zabotto, F.; Ramajo, L.; Castro, M. Magnetoelectric Interactions in Bismuth Sodium-Potassium Titanate-Nickel Cobalt Ferrite Lead-Free Composite Ceramics. J. Alloys Compd. 2020, 826, 154129. [Google Scholar] [CrossRef]
- Manotham, S.; Butnoi, P.; Jaita, P.; Tunkasiri, T. Structure and Electrical Properties of BNKT-Based Ceramics. Solid State Phenom. 2018, 283, 147–153. [Google Scholar] [CrossRef]
- Hussain, A.; Ahn, C.W.; Lee, J.S.; Ullah, A.; Kim, I.W. Large Electric-Field-Induced Strain in Zr-Modified Lead-Free Bi0.5(Na0.78K0.22)0.5TiO3 Piezoelectric Ceramics. Sens. Actuator A Phys. 2010, 158, 84–89. [Google Scholar] [CrossRef]
- Kiran; Thakur, K.; Kumar, S.; Kumar, S.; Thakur, N. Investigation of Structural, Dielectric, and Magnetoelectric Properties of K0.5Na0.5NbO3–MnFe2O4 Lead Free Composite System. J. Alloys Compd. 2021, 857, 158251. [Google Scholar] [CrossRef]
- Goel, R.; Syal, R.; Sharma, G.; Singh, R.K.; Dhiman, S.; Singh, A.K.; Kumar, S. Magnetoelectric Coupling Susceptibility in Novel Lead-Free 0–3 Type Multiferroic Particulate Composites of (1-x)Na0.5Bi0.5TiO3 -(x)CoCr0.4Fe1.6O4. Mater. Chem. Phys. 2022, 282, 126004. [Google Scholar] [CrossRef]
- Pandey, A.H.; Varade, P.; Miriyala, K.; Sowmya, N.S.; Kumar, A.; Arockiarajan, A.; Kulkarni, A.R.; Venkataramani, N. Magnetoelectric Response in Lead-Free Na0.4K0.1Bi0.5TiO3/NiFe2O4 Laminated Composites. Mater. Today Commun. 2021, 26, 101898. [Google Scholar] [CrossRef]
- Tang, Z.; Zhang, Z.; Chen, J.; Zhao, S. Magnetoelectric Effect of Lead-Free Perovskite BiFeO3/Bi0.5(Na0.85K0.15)0.5TiO3 Composite Films. J. Alloys Compd. 2017, 696, 1–8. [Google Scholar] [CrossRef]









| 70BNKT-30NCF SS-PE Samples | 70BNKT-30NCF SG-PE Samples | ||||
|---|---|---|---|---|---|
| Temperature (°C) | Density (g/cm3) | Relative Density (%) | Temperature (°C) | Density (g/cm3) | Relative Density (%) |
| 975 | 5.15 ± 0.10 | 89.3 | 950 | 5.16 ± 0.02 | 89.5 |
| 1000 | 5.13 ± 0.07 | 89.0 | 975 | 5.23 ± 0.04 | 90.7 |
| 1025 | 5.13 ± 0.08 | 89.0 | 1000 | 5.04 ± 0.08 | 87.4 |
| 1050 | 5.17 ± 0.08 | 89.6 | 1025 | 4.98 ± 0.08 | 86.3 |
| 1075 | 5.18 ± 0.07 | 89.8 | 1050 | 4.60 ± 0.20 | 80.4 |
| 1100 | 4.40 ± 0.20 | 76.8 | 1075 | 4.39 ± 0.01 | 76.2 |
| 1125 | 4.20 ± 0.10 | 73.1 | 1100 | 4.10 ± 0.10 | 70.4 |
| 70BNKT-30NCF SS-PE | ||||||||||||||
| Point 1 | Point 2 | |||||||||||||
| Bi | Na | K | Ti | O | Fe | Ni | Co | Fe | O | Bi | Na | K | Ti | |
| 0.23 | 0.16 | 0.02 | 0.42 | 1.54 | 0.04 | 0.21 | 0.21 | 0.74 | 1.72 | 0.01 | 0.00 | 0.00 | 0.06 | |
| 70BNKT-30NCF SG-PE | ||||||||||||||
| Point 1 | Point 2 | |||||||||||||
| Bi | Na | K | Ti | O | Fe | Ni | Co | Fe | O | Bi | Na | K | Ti | |
| 0.23 | 0.15 | 0.02 | 0.43 | 1.55 | 0.03 | 0.22 | 0.22 | 0.73 | 1.77 | 0.01 | 0.02 | 0.00 | 0.07 | |
| xBNKT-(100-x)NCF (x) | Theoretical Density (g/cm3) | SS-PE (Sintered a 1075 °C) | SG-PE (Sintered at 975 °C) | ||
|---|---|---|---|---|---|
| Density (g/cm3) | Densification Degree (%) | Density (g/cm3) | Densification Degree (%) | ||
| 60 | 5.70 | 5.14 ± 0.04 | 90.2 | 5.07 ± 0.07 | 89.0 |
| 70 | 5.76 | 5.18 ± 0.07 | 89.8 | 5.23 ± 0.04 | 90.7 |
| 80 | 5.83 | 5.27 ± 0.06 | 90.4 | 5.26 ± 0.04 | 90.8 |
| 90 | 5.90 | 5.27 ± 0.10 | 89.3 | 5.34 ± 0.09 | 90.5 |
| 95 | 5.93 | 5.51 ± 0.02 | 92.9 | 5.33 ± 0.08 | 89.8 |
| Sample | SS-PE Samples | SG-PE Samples | ||||
|---|---|---|---|---|---|---|
| Ms (emu/g) | Msc (emu/g) | Hc (Oe) | Ms (emu/g) | Msc (emu/g) | Hc (Oe) | |
| 0 | 60.3 | - | 480 | 60.3 | - | 480 |
| 60 | 28.3 | 24.2 | 260 | 23.5 | 24.1 | 426 |
| 70 | 18.8 | 18.1 | 300 | 17.3 | 18.1 | 462 |
| 80 | 7.1 | 12.1 | 305 | 8.1 | 12.1 | 470 |
| 90 | 2.3 | 6.0 | 300 | 4.7 | 6.0 | 496 |
| 95 | 0.6 | 3.0 | 305 | 1.1 | 3.0 | 512 |
| Sample | α33 (mV/cmOe) | d33 (pC/N) | ||
|---|---|---|---|---|
| SS-SS | SS-PE | SS-SS | SS-PE | |
| 60 | 0.69 | 1.5 | 10 | 11 |
| 70 | 4.81 | 4.7 | 24 | 17 |
| 80 | 2.3 | 0.9 | 28 | 26 |
Disclaimer/Publisher’s Note: The statements, opinions and data contained in all publications are solely those of the individual author(s) and contributor(s) and not of MDPI and/or the editor(s). MDPI and/or the editor(s) disclaim responsibility for any injury to people or property resulting from any ideas, methods, instructions or products referred to in the content. |
© 2023 by the authors. Licensee MDPI, Basel, Switzerland. This article is an open access article distributed under the terms and conditions of the Creative Commons Attribution (CC BY) license (https://creativecommons.org/licenses/by/4.0/).
Share and Cite
Camargo, J.; Ramajo, L.; Castro, M. Relationship between the Synthesis Method and the Magnetoelectric Properties of Bismuth Sodium-Potassium Titanate/Nickel Cobalt Ferrite Lead-Free Composites. Materials 2023, 16, 2759. https://doi.org/10.3390/ma16072759
Camargo J, Ramajo L, Castro M. Relationship between the Synthesis Method and the Magnetoelectric Properties of Bismuth Sodium-Potassium Titanate/Nickel Cobalt Ferrite Lead-Free Composites. Materials. 2023; 16(7):2759. https://doi.org/10.3390/ma16072759
Chicago/Turabian StyleCamargo, Javier, Leandro Ramajo, and Miriam Castro. 2023. "Relationship between the Synthesis Method and the Magnetoelectric Properties of Bismuth Sodium-Potassium Titanate/Nickel Cobalt Ferrite Lead-Free Composites" Materials 16, no. 7: 2759. https://doi.org/10.3390/ma16072759
APA StyleCamargo, J., Ramajo, L., & Castro, M. (2023). Relationship between the Synthesis Method and the Magnetoelectric Properties of Bismuth Sodium-Potassium Titanate/Nickel Cobalt Ferrite Lead-Free Composites. Materials, 16(7), 2759. https://doi.org/10.3390/ma16072759

