Experimental Study on Creep–Recovery Behavior of Polyphosphoric Acid (PPA) Modified Asphalt Binders under Multiple Factors
Abstract
1. Introduction
2. Materials and Methods
2.1. Asphalt Binders
2.2. Creep–Recovery Test
2.3. Methodologies
2.3.1. Deformation Parameters
2.3.2. Rheological Model
2.3.3. Energy Calculation
3. Results and Discussion
3.1. Deformation Parameters Analysis
3.1.1. Variation of and
3.1.2. Application Traffic Levels
3.2. Simulation of Creep and Recovery
3.2.1. Creep Behavior
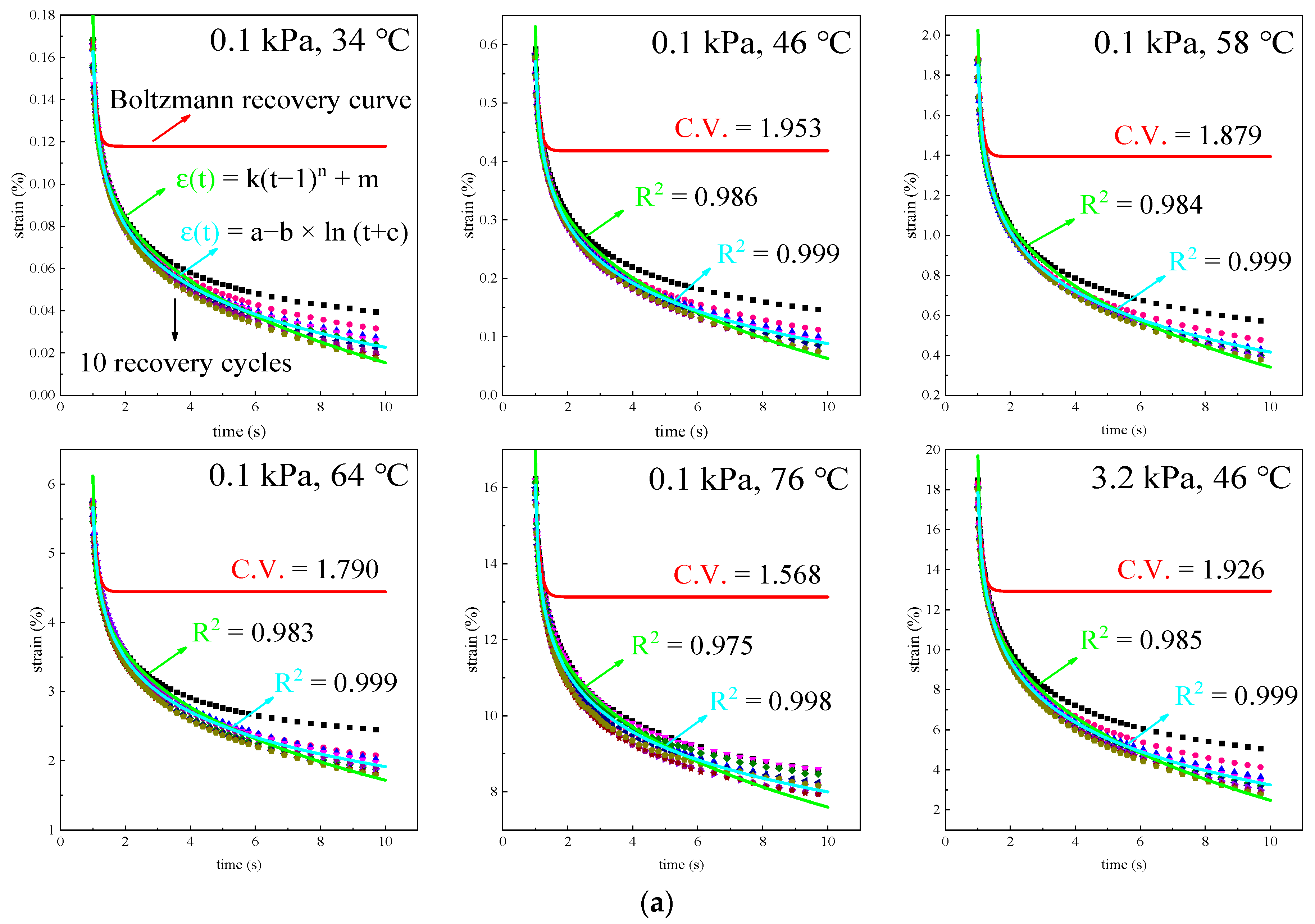
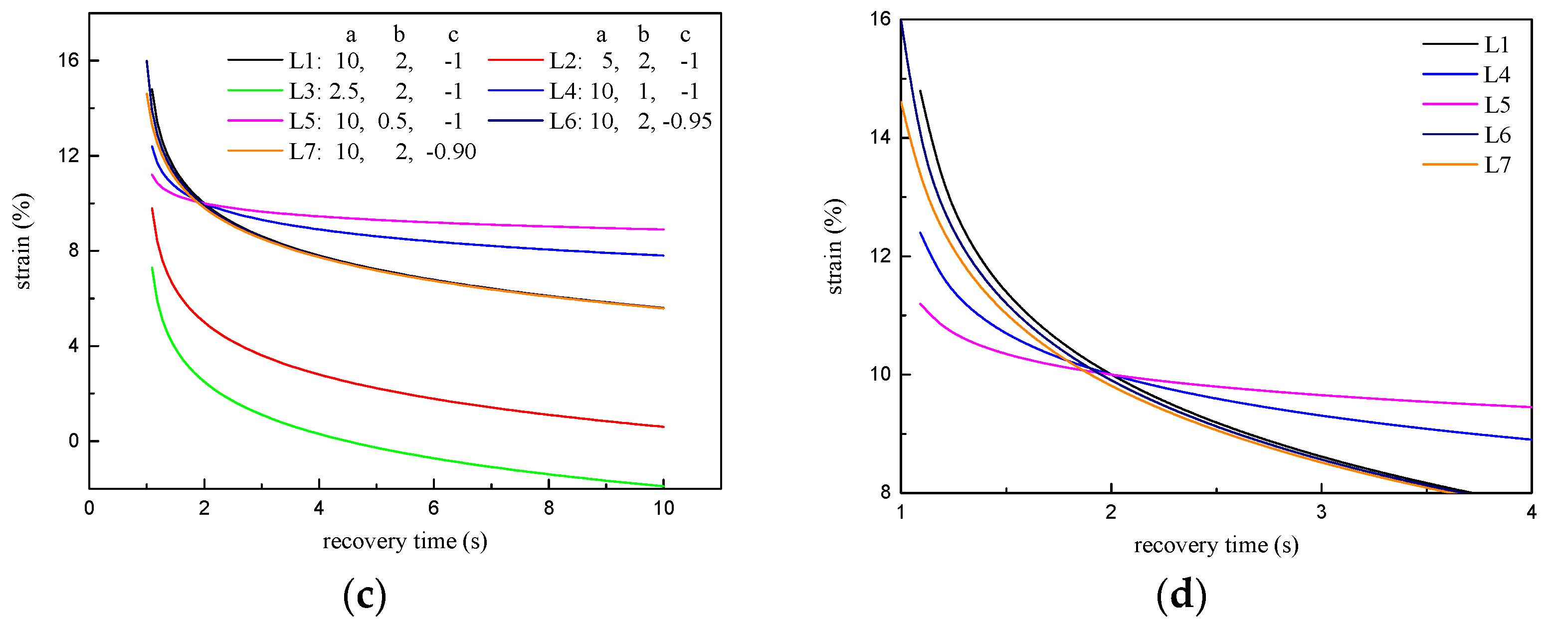
3.2.2. Recovery Behavior
3.3. Energy Analysis
3.4. Analysis of Creep–Recovery Mechanism
3.4.1. Rheological Behavior Analysis
3.4.2. Correlation between Deformation and Energy Parameters
4. Conclusions and Suggestions
4.1. Conclusions
4.2. Limitations and Suggestions
Author Contributions
Funding
Institutional Review Board Statement
Informed Consent Statement
Data Availability Statement
Conflicts of Interest
References
- Gundla, A.; Underwood, B.S. Molecular weight distribution of asphalt binders from Laser Desorption Mass Spectroscopy (LDMS) technique and its relationship to linear viscoelastic relaxation spectra. Fuel 2020, 262, 116444. [Google Scholar] [CrossRef]
- Julaganti, A.; Choudhary, R.; Kumar, A. Permanent Deformation Characteristics of Warm Asphalt Binders under Reduced Aging Conditions. KSCE J. Civ. Eng. 2019, 23, 160–172. [Google Scholar] [CrossRef]
- Wang, L.; Hu, J.S.; Chen, G. Research on the anti-deformation of polymer modified asphalt binder at high temperature. J. Funct. Mater. 2014, 45, 22123–22127. [Google Scholar]
- Al-Khateeb, G.G.; Al-Suleiman Obaidat, T.I.; Khedaywi, T.S.; Elayan, M.S. Studying rutting performance of superpave asphalt mixtures using unconfined dynamic creep and simple performance tests. Road Mater. Pavement Des. 2016, 19, 315–333. [Google Scholar] [CrossRef]
- Chen, Z.J.; Hao, P.W. High temperature performance of chemical modified asphalt based on repeated creep and recovery test. J. Jiangsu Univ. (Nat. Sci. Ed.) 2017, 38, 479–483. [Google Scholar]
- Zhang, K.; Xie, W.; Zhao, Y.L. Permanent deformation characteristic of asphalt mixture under coupling effect of moisture, overload and loading frequency. Constr. Build. Mater. 2021, 272, 121985. [Google Scholar] [CrossRef]
- Tan, Y.Q.; Guo, M.; Cao, L.P. Effects of Common Modifiers on Viscoelastic Properties of Asphalt. China J. Highw. Transp. 2013, 26, 7–15. [Google Scholar]
- Li, P.L.; Jiang, X.M.; Ding, Z.; Zhao, J.K.; Shen, M.H. Analysis of viscosity and composition properties for crumb rubber modified asphalt. Constr. Build. Mater. 2018, 169, 638–647. [Google Scholar] [CrossRef]
- Omran, N.L.; Rajaee, K.; Marandi, S.M. Effect of temperature on permanent deformation of polymer-modified asphalt mixture. Mag. Civ. Eng. 2022, 113, 11309. [Google Scholar]
- Behnood, A.; Olek, J. Rheological properties of asphalt binders modified with styrene-butadiene-styrene (SBS), ground tire rubber (GTR), or polyphosphoric acid (PPA). Constr. Build. Mater. 2017, 151, 464–478. [Google Scholar] [CrossRef]
- Hosseinnezhad, S.; Kabir, S.F.; Oldham, D.; Mousavi, M.; Fini, E. Surface functionalization of rubber particles to reduce phase separation in rubberized asphalt for sustainable con-struction. J. Clean. Prod. 2019, 225, 82–89. [Google Scholar] [CrossRef]
- Zheng, W.H.; Wang, H.N.; Chen, Y.; Ji, J.; You, Z.P.; Zhang, Y.Q. A review on compatibility between crumb rubber and asphalt binder. Constr. Build. Mater. 2021, 297, 123820. [Google Scholar] [CrossRef]
- Li, J.; Xiao, X.; Chen, Z.X.; Xiao, F.P.; Amirkhanian, S.N. Internal de-crosslinking of scrap tire crumb rubber to improve compatibility of rubberized asphalt. Sustain. Mater. Technol. 2022, 32, e00417. [Google Scholar] [CrossRef]
- Liang, M.; Xin, X.; Fan, W.Y.; Sun, H.D.; Yao, Y.; Xing, B.D. Viscous properties, storage stability and their relationships with microstructure of tire scrap rubber modified asphalt. Constr. Build. Mater. 2015, 74, 124–131. [Google Scholar] [CrossRef]
- Baldino, N.; Gabriele, D.; Lupi, F.R.; Rossi, C.O.; Caputo, P.; Falvo, T. Rheological effects on bitumen of polyphosphoric acid (PPA) addition. Constr. Build. Mater. 2013, 40, 397–404. [Google Scholar] [CrossRef]
- Wei, J.G.; Huang, M.Y.; Zhou, Y.M.; Li, P.; Yu, F.; Ju, H.L.; Shi, S. Research of Low-Temperature Performance of Polyphosphoric Acid-Modified Asphalt. Materials 2023, 16, 111. [Google Scholar] [CrossRef]
- Pei, X.G.; Fan, W.Y. Influence of Compound Modification of Oil Sands De-Oiled Asphalt and Polyphosphoric Acid on High- and Low-Temperature Performance of Styrene-Butadiene-Styrene-Modified Asphalt. Materials 2021, 14, 797. [Google Scholar] [CrossRef]
- Yang, X.L.; Liu, G.Y.; Rong, H.L.; Meng, Y.J.; Peng, C.H.; Pan, M.Q.; Ning, Z.K.; Wang, G.C. Investigation on mechanism and rheological properties of Bio-asphalt/PPA/SBS modified asphalt. Constr. Build. Mater. 2022, 347, 128599. [Google Scholar] [CrossRef]
- Wang, L.; Pei, K.; Li, C. Analysis of Chemical Modification Mechanism and Rheological Properties of Polyphosphoric Acid Modified Asphalt. J. Wuhan Univ. Technol.-Mater. Sci. Ed. 2022, 37, 876–884. [Google Scholar] [CrossRef]
- Zhang, F.; Hu, C.B.; Zhang, Y. The effect of PPA on performances and structures of high-viscosity modified asphalt. J. Therm. Anal. Calorim. 2018, 134, 1729–1738. [Google Scholar] [CrossRef]
- Li, C.; Ma, F.; Fu, Z.; Dai, J.S.; Wen, Y.L.; Wang, Y.J. Rheological Behavior of Polyphosphoric Acid-Vulcanized Liquid Rubber Compound Modified Asphalt Binder. Iran. J. Sci. Technol. Trans. Civ. Eng. 2022, 46, 3931–3945. [Google Scholar] [CrossRef]
- Wei, J.G.; Shi, S.; Zhou, Y.M.; Chen, Z.Y.; Yu, F.; Peng, Z.Y.; Duan, X.R. Research on Performance of SBS-PPA and SBR-PPA Compound Modified Asphalts. Materials 2022, 15, 2112. [Google Scholar] [CrossRef] [PubMed]
- Liu, H.Y.; Zhang, Z.X.; Chang, R.; Hao, P.W. Study on the Rheological Properties and Mechanism of Polyphosphoric Acid Modified Asphalt. J. Tongji Univ. (Nat. Sci.) 2016, 44, 1880–1888. [Google Scholar]
- Ge, D.D.; Yan, K.Z.; You, L.Y.; Wang, Z.X. Modification mechanism of asphalt modified with Sasobit and Polyphosphoric acid (PPA). Constr. Build. Mater. 2017, 143, 419–428. [Google Scholar] [CrossRef]
- Zhang, X.T.; Chen, M.Z.; Zhao, Y.C.; Wu, S.P.; Chen, D.Y.; Sun, Y.H. Influence of macromolecular substances in waste cooking oil on rejuvenation properties of asphalt with different aging degrees. Constr. Build. Mater. 2022, 361, 129522. [Google Scholar]
- Ramayya, V.V.; Ram, V.V.; Krishnaiah, S.; Sandra, A.K. Performance of VG30 paving grade bitumen modified with polyphosphoric acid at medium and high temperature regimes. Constr. Build. Mater. 2016, 105, 157–164. [Google Scholar] [CrossRef]
- Jafari, M.; Babazadeh, A. Evaluation of polyphosphoric acid-modified binders using multiple stress creep and recovery and linear amplitude sweep tests. Road Mater. Pavement Des. 2016, 17, 859–876. [Google Scholar] [CrossRef]
- Liu, B.Q.; Wu, J.T.; Chen, H.X.; He, R. Road performance and mechanism analysis of polyphosphoric acid modified asphalt. J. Shenzhen Univ. Sci. Eng. 2018, 35, 292–298. [Google Scholar] [CrossRef]
- Wasage, T.L.J.; Stastna, J.; Zanzotto, L. Rheological analysis of multi-stress creep recovery (MSCR) test. Int. J. Pavement Eng. 2011, 12, 561–568. [Google Scholar] [CrossRef]
- Dubois, E.; Mehta, Y.; Nolan, A. Correlation between multiple stress creep recovery (MSCR) results and polymer modification of binder. Constr. Build. Mater. 2014, 65, 184–190. [Google Scholar] [CrossRef]
- Li, P.L.; Jiang, X.M.; Guo, K.; Xue, Y.; Dong, H. Analysis of viscoelastic response and creep deformation mechanism of asphalt mixture. Constr. Build. Mater. 2018, 171, 22–32. [Google Scholar] [CrossRef]
- Aflaki, S.; Hajikarimi, P. Implementing viscoelastic rheological methods to evaluate low temperature performance of modified asphalt binders. Constr. Build. Mater. 2012, 36, 110–118. [Google Scholar] [CrossRef]
- Saboo, N.; Kumar, P. A study on creep and recovery behavior of asphalt binders. Constr. Build. Mater. 2015, 96, 632–640. [Google Scholar] [CrossRef]
- Sun, S.F.; Li, P.L.; Su, J.F.; Ma, Y.F.; Wang, X.; Bi, J.Y. Study on deformation behavior and prediction model of asphalt mixture based on interface-slip characteristics of aggregates. Constr. Build. Mater. 2021, 294, 123581. [Google Scholar] [CrossRef]
- Lagos-Varas, M.; Raposeiras, A.C.; Movilla-Quesada, D.; Arenas, J.P.; Castro-Fresno, D.; Muñoz-Cáceres, O.; Andres-Valeri, V.C. Study of the permanent deformation of binders and asphalt mixtures using rheological models of fractional viscoelasticity. Constr. Build. Mater. 2020, 260, 120438. [Google Scholar] [CrossRef]
- Saboo, N.; Mudgal, A. Modelling creep and recovery response of asphalt binders using generalized burgers model. Pet. Sci. Technol. 2018, 36, 1627–1634. [Google Scholar] [CrossRef]
- Celauro, C.; Fecarotti, C.; Pirrotta, A.; Collop, A.C. Experimental validation of a fractional model for creep/recovery testing of asphalt mixtures. Constr. Build. Mater. 2012, 36, 458–466. [Google Scholar] [CrossRef]
- Hajikarimi, P.; Nejad, F.M.; Khodaii, A.; Fini, E.H. Introducing a stress-dependent fractional nonlinear viscoelastic model for modified asphalt binders. Constr. Build. Mater. 2018, 183, 102–113. [Google Scholar] [CrossRef]
- Zhang, X.N. Principle and Application of Viscoelastic Mechanics of Asphalt and Asphalt Mixture; Communications Press: Beijing, China, 2006. [Google Scholar]
- Delgadillo, R.; Bahia, H.U. The Relationship between nonlinearity of asphalt binders and asphalt mixture permanent deformation. Road Mater. Pavement Des. 2010, 11, 653–680. [Google Scholar] [CrossRef]
- Luo, X.; Ling, J.; Li, H.; Zhang, Y.Q.; Li, Y.W. Nonlinear viscoelastoplastic kinetics for high-temperature performance of modified asphalt binders. Mech. Mater. 2023, 180, 104612. [Google Scholar] [CrossRef]
- Kataware, A.V.; Singh, D. A study on rutting susceptibility of asphalt binders at high stresses using MSCR test. Innov. Infrastruct. Solut. 2017, 2, 4. [Google Scholar] [CrossRef]
- Wang, C.; Song, L.H.; Sun, G.Q. Comparison and correlation between polymer modified asphalt binders and mastics in high- and intermediate-temperature rheological behaviors. Constr. Build. Mater. 2023, 364, 129963. [Google Scholar] [CrossRef]
- Han, Y.J.; Tian, J.H.; Ding, J.T.; Shu, L.H.; Ni, F.J. Evaluating the storage stability of SBR-modified asphalt binder containing polyphosphoric acid (PPA). Case Stud. Constr. Mater. 2022, 17, e01214. [Google Scholar] [CrossRef]
- Yun, J.; Vigneswaran, S.; Lee, M.S.; Choi, P.; Lee, S.J. Effect of Blending and Curing Conditions on the Storage Stability of Rubberized Asphalt Binders. Materials 2023, 16, 978. [Google Scholar] [CrossRef]
- Wang, H.Y.; Zhu, Y.; Zhang, W.G.; Shen, S.H.; Wu, S.H.; Mohammad, L.N.; She, X.H. Effects of Field Aging on Material Properties and Rutting Performance of Asphalt Pavement. Materials 2023, 16, 225. [Google Scholar] [CrossRef]
- JTG E20-2011; Standard Test Methods of Bitumen and Bituminous Mixtures for Highway Engineering. Chinese National Specification: Beijing, China, 2011.
- ASTM D5/D5M-13; Standard Test Method for Penetration of Bituminous Materials. American Society for Testing and Materials: West Conshohocken, PA, USA, 2013.
- ASTM D36/D36M-14e1; Standard Test Method for Softening Point of Bitumen (Ring-and-Ball Apparatus). American Society for Testing and Materials: West Conshohocken, PA, USA, 2014.
- ASTM D4402/D4402M-15; Standard Test Method for Viscosity Deformation of Asphalt at Elevated Temperatures Using a Rotational Viscometer. American Society for Testing and Materials: West Conshohocken, PA, USA, 2015.
- ASTM D7405-15; Standard Test Method for Multiple Stress Creep and Recovery (MSCR) of Asphalt Binder Using a Dynamic Shear Rheometer. American Society for Testing and Materials: West Conshohocken, PA, USA, 2015.
- AASHTO M 332-18; Standard Specification for Performance-Graded Asphalt Binder Using Multiple Stress Creep Recovery (MSCR) Test. American Association of State: Washington, DC, USA, 2018.
- Cheng, Y.C.; Wang, H.T.; Wang, W.S.; Liang, J.X. Rheological evolution mechanisms of asphalt binder and mastic under freeze-thaw cycles. Constr. Build. Mater. 2023, 372, 130780. [Google Scholar] [CrossRef]
- Yan, X.L. Rheology of Road Materials; China Communications Press: Beijing, China, 2019. [Google Scholar]
- Tan, Y.Q.; Shan, L.Y. Viscoelastic Characteristics of Asphalt Binder and Asphalt Mixture; Harbin Institute of Technology Press: Harbin, China, 2017. [Google Scholar]
- Johansson, L.S.; Isacsson, U. Effect of filler on low temperature physical hardening of bitumen. Constr. Build. Mater. 1998, 12, 463–470. [Google Scholar] [CrossRef]
- Liu, S.T.; Cao, W.D.; Shang, S.J.; Qi, H.; Fang, J.G. Analysis and application of relationships between low-temperature rheological performance parameters of asphalt binders. Constr. Build. Mater. 2010, 24, 471–478. [Google Scholar] [CrossRef]
- Zhang, J.S.; Zhang, Y.Y.; Xia, X.Y.; Hao, X.H. Asphalt Materials; Chemical Industry Press: Beijing, China, 2009. [Google Scholar]
- Salehfard, R.; Behbahani, H.; Dalmazzo, D.; Santagata, E. Effect of colloidal instability on the rheological and fatigue properties of asphalt binders. Constr. Build. Mater. 2021, 281, 122563. [Google Scholar] [CrossRef]
- Haghshenas, H.F.; Rea, R.; Reinke, G.; Zaumanis, M.; Fini, E. Relationship between colloidal index and chemo-rheological properties of asphalt binders modified by various recycling agents. Constr. Build. Mater. 2022, 318, 126161. [Google Scholar] [CrossRef]
- Jiang, X.M.; Li, P.L.; Ding, Z.; Yang, L.D.; Zhao, J.K. Investigations on viscosity and flow behavior of polyphosphoric acid (PPA) modified asphalt at high temperatures. Constr. Build. Mater. 2019, 228, 116610. [Google Scholar] [CrossRef]
- Xu, J.Q.; Fan, Z.P.; Lin, J.; Yang, X.; Wang, D.W.; Oeser, M. Predicting the low-temperature performance of asphalt binder based on rheological model. Constr. Build. Mater. 2021, 302, 124401. [Google Scholar] [CrossRef]




















| PPA Dosage (%) | Penetration (25 °C, 5 s, 100 g)/0.1 mm | Softening Point (R&B)/°C | Penetration Index | 135 °C Viscosity/Pa·s |
|---|---|---|---|---|
| 0 | 89.9 | 45.9 | −0.698 | 0.435 |
| 0.5 | 63.3 | 51.0 | 0.909 | 0.665 |
| 1.0 | 53.1 | 55.9 | 1.905 | 0.995 |
| 1.5 | 45.7 | 64.7 | 2.931 | 2.104 |
| 2.0 | 42.6 | 75.2 | 3.129 | 4.745 |
| 2.5 | 38.3 | 76.6 | 3.857 | over 5.000 |
| Test Methods | ASTM D5 [48] | ASTM D36 [49] | JTG E20 T0604 [47] | ASTM D4402 [50] |
| Traffic Levels | S | H | V | E |
|---|---|---|---|---|
| /kPa−1, max | 4.5 | 2.0 | 1.0 | 0.5 |
| /%, max | 75 | |||
| Conditions | 0% PPA | 0.5% PPA | 1.0% PPA | 1.5% PPA | 2.0% PPA | 2.5% PPA |
|---|---|---|---|---|---|---|
| 34 °C | > 75% | E | E | E | E | E |
| 46 °C | ||||||
| 58 °C | S | V | E | E | E | E |
| 64 °C | > | S | S | > 75% | ||
| 76 °C | 4.5 kPa−1 | > 4.5 kPa−1 | ||||
| Test Conditions | Model Parameters | R2 | Coefficient of Variation | ||||
|---|---|---|---|---|---|---|---|
| Stress | PPA | Temperature | |||||
| 0.1 kPa | 1.5% | 34 °C | 700.23 | 604.01 | 2559.86 | 0.951 | 2.011 |
| 46 °C | 198.16 | 176.72 | 688.80 | 0.950 | 1.953 | ||
| 58 °C | 67.38 | 59.07 | 170.27 | 0.951 | 1.879 | ||
| 64 °C | 25.91 | 22.52 | 42.31 | 0.951 | 1.790 | ||
| 76 °C | 12.91 | 10.10 | 11.13 | 0.952 | 1.568 | ||
| 0% | 46 °C | 36.69 | 53.02 | 46.46 | 0.959 | 1.633 | |
| 0.5% | 74.68 | 84.54 | 77.78 | 0.951 | 1.688 | ||
| 1.0% | 113.27 | 111.97 | 166.13 | 0.954 | 1.759 | ||
| 2.0% | 247.52 | 203.52 | 1015.48 | 0.949 | 1.984 | ||
| 2.5% | 339.28 | 259.23 | 1656.79 | 0.947 | 2.010 | ||
| 3.2 kPa | 1.5% | 34 °C | 686.46 | 595.67 | 2542.87 | 0.950 | 2.011 |
| 46 °C | 209.47 | 186.12 | 644.35 | 0.951 | 1.926 | ||
| 58 °C | 76.59 | 68.83 | 145.56 | 0.952 | 1.800 | ||
| 0% | 46 °C | 317.96 | 146.63 | 24.51 | 0.978 | 0.832 | |
| 1.0% | 127.43 | 121.23 | 146.07 | 0.955 | 1.664 | ||
| 2.5% | 337.32 | 259.53 | 1522.45 | 0.948 | 1.997 | ||
| PPA Dosage (%) | ||||||
|---|---|---|---|---|---|---|
| R2 | R2 | |||||
| 0 | 13.5424 | −16.6829 | 0.79802 | — | — | — |
| 0.5 | 9.2558 | −14.2327 | 0.98299 | 2.53 × 10−37 | 0.87693 | 0.99924 |
| 1.0 | 8.0831 | −13.7822 | 0.95308 | 2.29 × 10−39 | 0.93796 | 0.99985 |
| 1.5 | 6.4850 | −9.9931 | 0.97756 | 6.49 × 10−30 | 0.73913 | 0.99886 |
| 2.0 | 6.3442 | −14.6478 | 0.96714 | 8.52 × 10−34 | 0.85319 | 0.98913 |
| 2.5 | 5.3738 | −4.8488 | 0.96778 | 1.17 × 10−33 | 0.866 | 0.97179 |
Disclaimer/Publisher’s Note: The statements, opinions and data contained in all publications are solely those of the individual author(s) and contributor(s) and not of MDPI and/or the editor(s). MDPI and/or the editor(s) disclaim responsibility for any injury to people or property resulting from any ideas, methods, instructions or products referred to in the content. |
© 2023 by the authors. Licensee MDPI, Basel, Switzerland. This article is an open access article distributed under the terms and conditions of the Creative Commons Attribution (CC BY) license (https://creativecommons.org/licenses/by/4.0/).
Share and Cite
Jiang, S.; Jiang, X.; Li, H.; Ding, Z.; Li, P.; Zhou, M. Experimental Study on Creep–Recovery Behavior of Polyphosphoric Acid (PPA) Modified Asphalt Binders under Multiple Factors. Materials 2023, 16, 2740. https://doi.org/10.3390/ma16072740
Jiang S, Jiang X, Li H, Ding Z, Li P, Zhou M. Experimental Study on Creep–Recovery Behavior of Polyphosphoric Acid (PPA) Modified Asphalt Binders under Multiple Factors. Materials. 2023; 16(7):2740. https://doi.org/10.3390/ma16072740
Chicago/Turabian StyleJiang, Shuangquan, Xiuming Jiang, Huifeng Li, Zhan Ding, Peilong Li, and Mingkai Zhou. 2023. "Experimental Study on Creep–Recovery Behavior of Polyphosphoric Acid (PPA) Modified Asphalt Binders under Multiple Factors" Materials 16, no. 7: 2740. https://doi.org/10.3390/ma16072740
APA StyleJiang, S., Jiang, X., Li, H., Ding, Z., Li, P., & Zhou, M. (2023). Experimental Study on Creep–Recovery Behavior of Polyphosphoric Acid (PPA) Modified Asphalt Binders under Multiple Factors. Materials, 16(7), 2740. https://doi.org/10.3390/ma16072740

