Influence of TiO2, Al2O3, and Basicity on Viscosity and Structure of High Titanium-Bearing Blast Furnace Slag
Abstract
1. Introduction
2. Materials and Methods
3. Results and Discussion
3.1. Effect of TiO2 on Viscosity and Structure
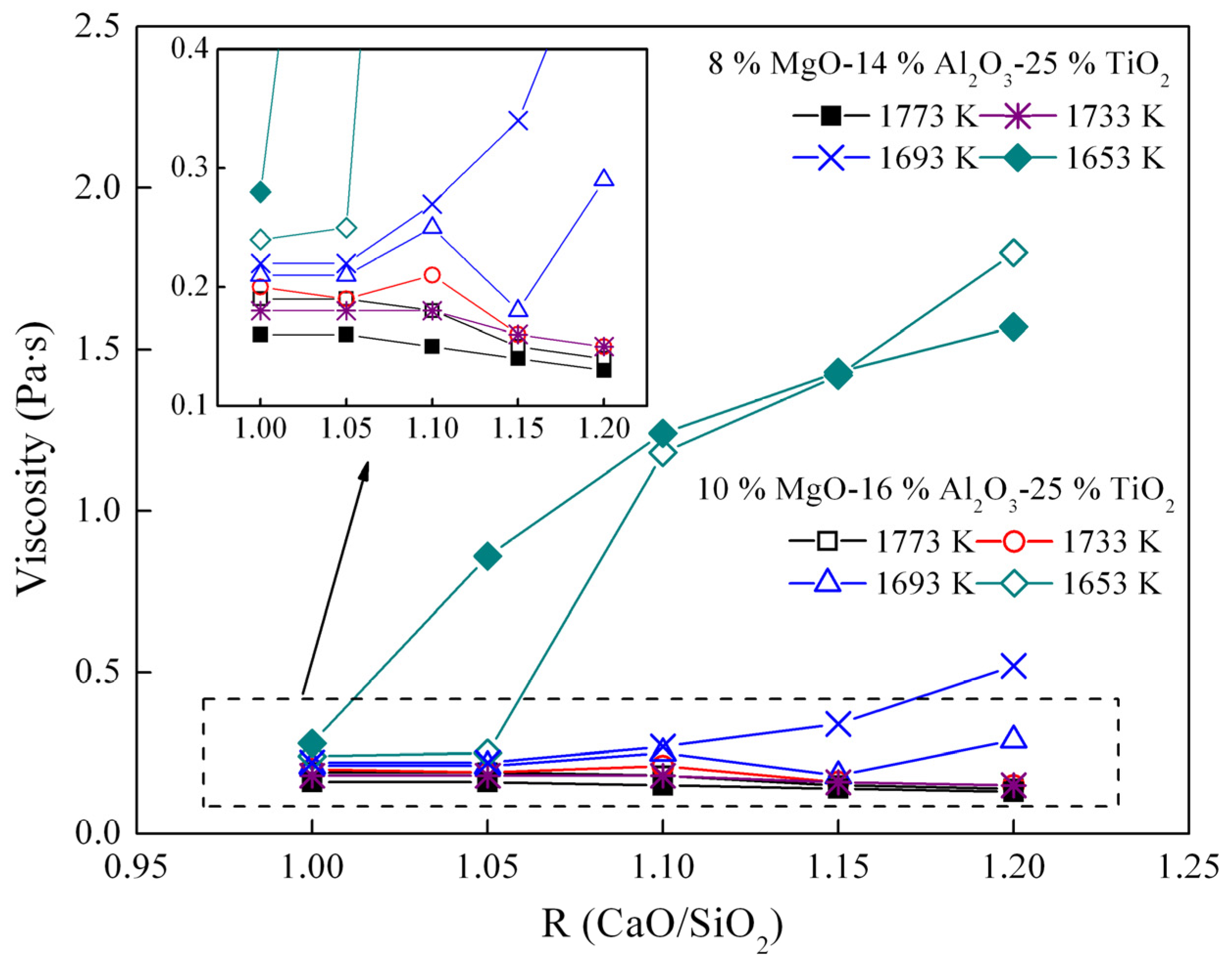
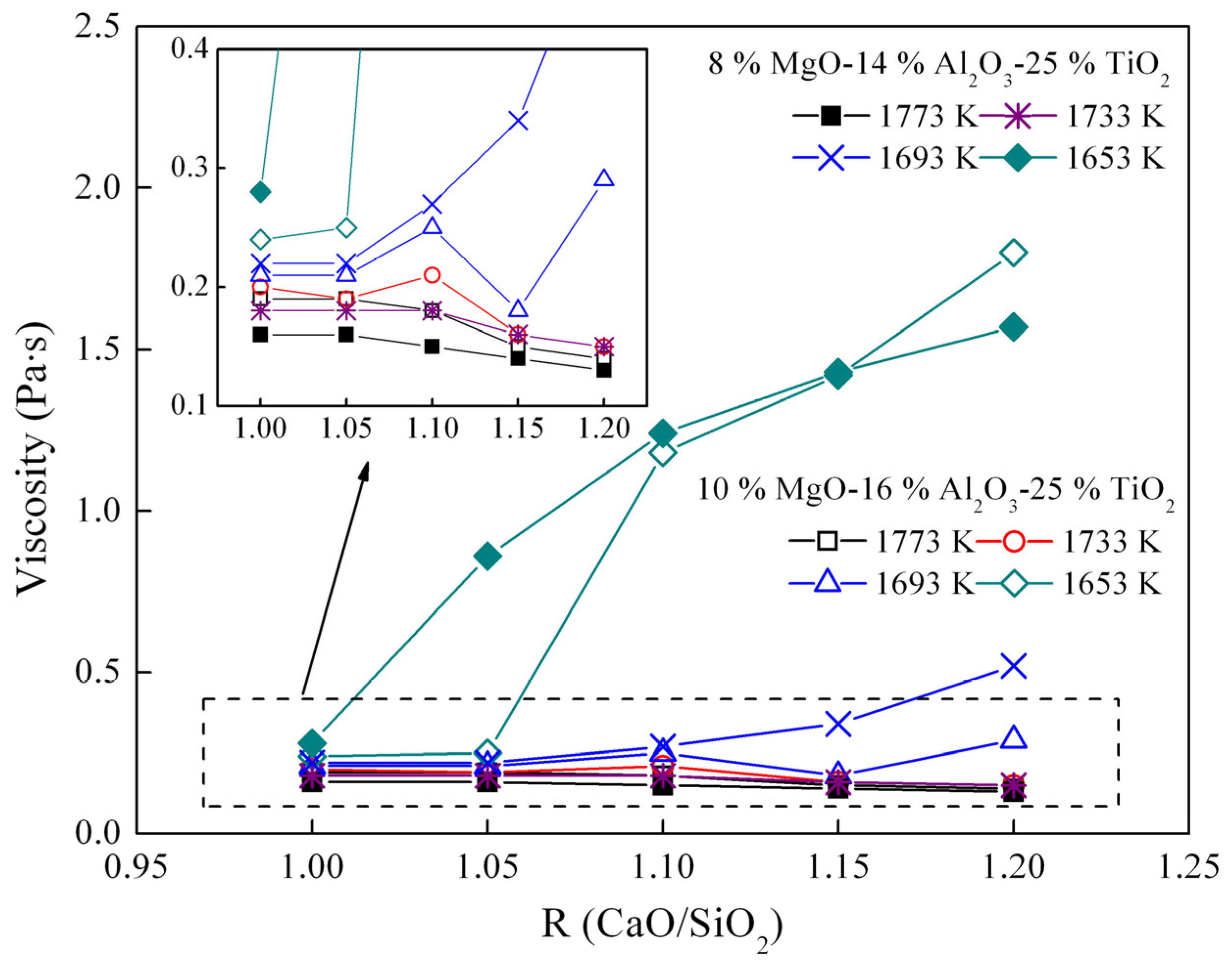
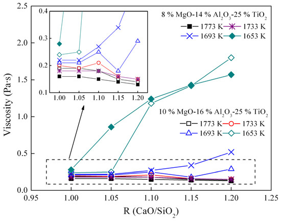
3.2. Effect of Basicity on Viscosity and Structure
3.3. Effect of Al2O3 on Viscosity and Structure
3.4. FT–IR Spectra of the Slag
4. Conclusions
- (1)
- TiO2 might be more inclined to existing as a network modifier, and depolymerizes the silicate network structure in liquid slag. So, the viscosity decreases with the TiO2 content from 10 mass% to 30 mass% at high temperature.
- (2)
- The viscosity of the slag increases as the content of Al2O3 increases from 14 mass% to 16 mass%. This is due to the formation of a network structure of [AlO4]-tetrahedra. However, when the Al2O3 content increases from 16 mass % to 18 mass %, there is a partial replacement of Si4+ in [SiO4]-tetrahedra with Al3+, while some Al3+ still exists in the form of [SiO4]-tetrahedra. As a result, the increase in viscosity can be attributed to the generation of a more complex silicate structure.
- (3)
- The basicity of slag affects its viscosity, with higher basicity resulting in lower viscosity at temperatures above 1733 K. The decrease in viscosity is due to the reduction in size and number of silicate network structure caused by an increase in CaO content and a decrease in SiO2 content. The increase in solid phase content with increasing basicity results in an increase in viscosity at 1653 K, but when the amount of solid phase is small, it has almost no effect on the viscosity.
- (4)
- At 1653 K, the solid phase in the current slag system includes perovskite and spinel, with perovskite playing an important role in viscosity.
Author Contributions
Funding
Institutional Review Board Statement
Informed Consent Statement
Data Availability Statement
Conflicts of Interest
References
- Yang, S.; Tang, W.; Xue, X. Effect of TiO2 on the sintering behavior of low-grade vanadiferous titanomagnetite ore. Materials 2021, 14, 4376. [Google Scholar] [CrossRef] [PubMed]
- Li, J.; Men, J.; Yang, S.; Zhou, M. Influence of fuel level on properties, productivity, and mineralogy of russian vanadiferous titanomagnetite sinter. Materials 2021, 14, 6258. [Google Scholar] [CrossRef] [PubMed]
- Yang, S.; Zhou, M.; Jiang, T.; Wang, Y.; Xue, X. Effect of basicity on sintering behavior of low-titanium vanadium-titanium magnetite. Trans. Nonferrous Met. Soc. China 2015, 25, 2087–2094. [Google Scholar] [CrossRef]
- Yang, S.; Zhou, M.; Xue, X.; Jiang, T.; Sun, C. Isothermal reduction kinetics of chromium-bearing vanadium–titanium sinter reduced with CO gas at 1173 K. JOM 2019, 71, 2812–2820. [Google Scholar] [CrossRef]
- Yang, S.; Gao, Y.; Xue, X.; Li, B. Influence of titanium on transformation behaviour during continuous cooling of boron microalloyed steels. Ironmak. Steelmak. 2018, 45, 959–968. [Google Scholar] [CrossRef]
- Yang, S.; Zhou, M.; Jiang, T.; Xue, X. Isothermal reduction kinetics and mineral phase of chromium-bearing vanadium–titanium sinter reduced with CO gas at 873–1273 K. Int. J. Miner. Metall. Mater. 2018, 25, 145–152. [Google Scholar] [CrossRef]
- Shankar, A.; Görnerup, M.; Lahiri, A.K.; Seetharaman, S. Experimental Investigation of the viscosities in CaO-SiO2-MgO-Al2O3 and CaO-SiO2-MgO-Al2O3-TiO2 slags. Metall. Mater. Trans. B 2007, 38, 911–915. [Google Scholar] [CrossRef]
- Dong, X.J.; Sun, H.Y.; She, X.F.; Xue, Q.G.; Wang, J.S. Viscosity and viscosity estimation model of fully liquid slags in TiO2-Al2O3-CaO-SiO2 and TiO2-Al2O3-CaO-SiO2-MgO systems with high TiO2 concentration and low mass ratio of CaO to SiO2. Ironmak. Steelmak. 2014, 41, 99–106. [Google Scholar] [CrossRef]
- Shi, J.; Sun, L.; Qiu, J.; Wang, Z.; Zhang, B.; Jiang, M. Experimental determination of the phase diagram for CaO-SiO2-MgO-10%Al2O3-5%TiO2 system. ISIJ Int. 2016, 56, 1124–1131. [Google Scholar] [CrossRef]
- Yan, Z.; Lv, X.; He, W.; Xu, J. Effect of TiO2 on the liquid zone and apparent viscosity of SiO2-CaO-8wt%mgo-14wt%Al2O3 system. ISIJ Int. 2016, 57, 31–36. [Google Scholar] [CrossRef]
- Yan, Z.; Lv, X.; Zhang, J.; Qin, Y.; Bai, C. Influence of mgo, Al2O3 and CaO/SiO2 on the viscosity of blast furnace type slag with high Al2O3 and 5 wt-% TiO2. Can. Metall. Q. 2016, 55, 186–194. [Google Scholar] [CrossRef]
- Jong, B.K.; Sohn, I. Effect of SiO2/Al2O3 and TiO2/SiO2 Ratios on the viscosity and structure of the TiO2-MnO-SiO2-Al2O3 welding flux system. ISIJ Int. 2014, 54, 2050–2058. [Google Scholar]
- Zhang, S.F.; Zhang, X.; Liu, W.; Lv, X.; Bai, C.G.; Wang, L. Relationship between structure and viscosity of CaO-SiO2-Al2O3-MgO-TiO2 slag. J. Non-Cryst. Solids 2014, 402, 214–222. [Google Scholar] [CrossRef]
- Zhen, Y.L.; Zhang, G.H.; Chou, K.C. Influence of Al2O3/TiO2 ratio on viscosities and structure of CaO-MgO-Al2O3-SiO2-TiO2 melts. ISIJ Int. 2014, 54, 985–989. [Google Scholar] [CrossRef]
- Zheng, K.; Zhang, Z.; Liu, L.; Wang, X. Investigation of the viscosity and structural properties of CaO-SiO2-TiO2 slags. Metall. Mater. Trans. B 2014, 45, 1389–1397. [Google Scholar] [CrossRef]
- Liao, J.L.; Li, J.; Wang, X.D.; Zhang, Z.T. Influence of TiO2 and basicity on viscosity of Ti bearing slag. Ironmak. Steelmak. 2012, 39, 133–139. [Google Scholar] [CrossRef]
- Sohn, I.; Wang, W.L.; Matsuura, H.; Tsukihashi, F.; Min, D.J. Influence of TiO2 on the viscous behavior of calcium silicate melts containing 17 mass% Al2O3 and 10 mass% MgO. ISIJ Int. 2012, 52, 158–160. [Google Scholar] [CrossRef]
- Shiau, J.S.; Liu, S.H.; Ho, C.K. Effect of magnesium and aluminum oxides on fluidity of final blast furnace slag and its application. Mater. Trans. 2012, 53, 1449–1455. [Google Scholar] [CrossRef]
- Zhang, X.; Tao, J.; Xue, X.; Hu, B. Influence of MgO/Al2O3 ratio on viscosity of blast furnace slag with high Al2O3 content. Steel Res. Int. 2016, 87, 87–94. [Google Scholar] [CrossRef]
- Yan, Z.; Lv, X.; Liang, D.; Zhang, J.; Bai, C. Transition of blast furnace slag from silicates-based to aluminates-based: Viscosity. Metall. Mater. Trans. B 2017, 48, 1092–1099. [Google Scholar] [CrossRef]
- Park, J.H.; Min, D.J.; Song, H.S. Amphoteric behavior of alumina in viscous flow and structure of CaO-SiO2 (-MgO)-Al2O3 slags. Metall. Mater. Trans. B 2004, 35, 269–275. [Google Scholar] [CrossRef]
- Sun, C.Y.; Liu, X.H.; Jing, L.I.; Yin, X.T.; Song, S.; Wang, Q. Influence of Al2O3 and mgo on the viscosity and stability of CaO-MgO-SiO2-Al2O3 slags with cao/sio_2=1.0. ISIJ Int. 2017, 57, 978–982. [Google Scholar] [CrossRef]
- Bale, C.W.; Pelton, A.D.; Thompson, W.T.; Eriksson, G. FactSage, Ecole Polytechnique, Montreal. 2001. Available online: http://www.crct.polymtl.ca (accessed on 10 November 2022).
- Hu, X.J.; Ren, Z.S.; Zhang, G.H.; Wang, L.J.; Chou, A.K.C. A model for estimating the viscosity of blast furnace slags with optical basicity. Int. J. Miner. Metall. Mater. 2012, 19, 1088–1092. [Google Scholar] [CrossRef]
- Masashi, N.; Toshihiro, T.; Joonho, L.; Tateo, U. Evaluation of viscosity of molten SiO2-CaO-MgO-Al2O3 slags in blast furnace operation. ISIJ Int. 2004, 44, 2115–2119. [Google Scholar]
- Kim, H.; Matsuura, H.; Tsukihashi, F.; Wang, W.; Min, D.J.; Sohn, I. Effect of Al2O3 and CaO/SiO2 on the viscosity of calcium-silicate-based Slags containing 10 mass Pct MgO. Metall. Mater. Trans. B 2012, 44, 5–12. [Google Scholar] [CrossRef]
- Park, J.; Kim, H.; Min, D. Novel Approach to link between viscosity and structure of silicate melts via darken’s excess stability function: Focus on the amphoteric behavior of alumina. Metall. Mater. Trans. B 2008, 39, 150–153. [Google Scholar] [CrossRef]
- Sunahara, K.; Nakano, K.; Hoshi, M.; Inada, T.; Komatsu, S.; Yamamoto, T. Effect of high Al2O3 slag on the blast furnace operations. ISIJ Int. 2008, 48, 420–429. [Google Scholar] [CrossRef]
- Jiao, K.X.; Zhang, J.L.; Wang, Z.Y.; Chen, C.L.; Liu, Y.X. Effect of TiO2 and FeO on the viscosity and structure of blast furnace primary slags. Steel Res. Int. 2016, 88, 1600296. [Google Scholar] [CrossRef]
- Sun, Y.; Zheng, K.; Liao, J.; Wang, X.; Zhang, Z. Effect of P2O5 addition on the viscosity and structure of titanium bearing blast furnace slags. ISIJ Int. 2014, 54, 1491–1497. [Google Scholar] [CrossRef]
- Park, H.; Park, J.Y.; Kim, G.H.; Sohn, I. Effect of TiO2 on the viscosity and slag structure in blast furnace type slags. Steel Res. Int. 2012, 83, 150–156. [Google Scholar] [CrossRef]












| Sample Number | Chemical Compositions (Mass %) | R = m(CaO)/m(SiO2) | ||||
|---|---|---|---|---|---|---|
| CaO | SiO2 | MgO | Al2O3 | TiO2 | ||
| 1 | 35.62 | 32.38 | 8.00 | 14.00 | 10.00 | 1.10 |
| 2 | 33.00 | 30.00 | 8.00 | 14.00 | 15.00 | 1.10 |
| 3 | 30.38 | 27.62 | 8.00 | 14.00 | 20.00 | 1.10 |
| 4 | 27.76 | 25.24 | 8.00 | 14.00 | 25.00 | 1.10 |
| 5 | 25.14 | 22.86 | 8.00 | 14.00 | 30.00 | 1.10 |
| 6 | 26.50 | 26.50 | 8.00 | 14.00 | 25.00 | 1.00 |
| 7 | 27.15 | 25.85 | 8.00 | 14.00 | 25.00 | 1.05 |
| 8 | 28.35 | 24.65 | 8.00 | 14.00 | 25.00 | 1.15 |
| 9 | 28.91 | 24.09 | 8.00 | 14.00 | 25.00 | 1.20 |
| 10 | 24.50 | 24.50 | 10.00 | 16.00 | 25.00 | 1.00 |
| 11 | 25.10 | 23.90 | 10.00 | 16.00 | 25.00 | 1.05 |
| 12 | 25.67 | 23.33 | 10.00 | 16.00 | 25.00 | 1.10 |
| 13 | 26.21 | 22.79 | 10.00 | 16.00 | 25.00 | 1.15 |
| 14 | 26.73 | 22.27 | 10.00 | 16.00 | 25.00 | 1.20 |
| 15 | 26.71 | 24.29 | 8.00 | 16.00 | 25.00 | 1.10 |
| 16 | 25.67 | 23.33 | 8.00 | 18.00 | 25.00 | 1.10 |
| 17 | 26.71 | 24.29 | 10.00 | 14.00 | 25.00 | 1.10 |
| 18 | 24.62 | 22.38 | 10.00 | 18.00 | 25.00 | 1.10 |
| Sample Number | Viscosity (Pa·s) | |||
|---|---|---|---|---|
| 1653 K | 1693 K | 1733 K | 1773 K | |
| 1 | 0.57 | 0.43 | 0.33 | 0.26 |
| 2 | 0.85 | 0.40 | 0.30 | 0.25 |
| 3 | 1.47 | 0.31 | 0.25 | 0.22 |
| 4 | 1.24 | 0.27 | 0.18 | 0.15 |
| 5 | 0.69 | 0.22 | 0.17 | 0.15 |
| 6 | 0.28 | 0.22 | 0.18 | 0.16 |
| 7 | 0.86 | 0.22 | 0.18 | 0.16 |
| 8 | 1.43 | 0.34 | 0.16 | 0.14 |
| 9 | 1.57 | 0.52 | 0.15 | 0.13 |
| 10 | 0.24 | 0.21 | 0.20 | 0.19 |
| 11 | 0.25 | 0.21 | 0.19 | 0.19 |
| 12 | 1.18 | 0.25 | 0.21 | 0.18 |
| 13 | 1.42 | 0.18 | 0.16 | 0.15 |
| 14 | 1.80 | 0.29 | 0.15 | 0.14 |
| 15 | 0.93 | 0.27 | 0.23 | 0.20 |
| 16 | 0.92 | 0.29 | 0.23 | 0.21 |
| 17 | 1.39 | 0.28 | 0.19 | 0.17 |
| 18 | 1.13 | 0.24 | 0.21 | 0.19 |
Disclaimer/Publisher’s Note: The statements, opinions and data contained in all publications are solely those of the individual author(s) and contributor(s) and not of MDPI and/or the editor(s). MDPI and/or the editor(s) disclaim responsibility for any injury to people or property resulting from any ideas, methods, instructions or products referred to in the content. |
© 2023 by the authors. Licensee MDPI, Basel, Switzerland. This article is an open access article distributed under the terms and conditions of the Creative Commons Attribution (CC BY) license (https://creativecommons.org/licenses/by/4.0/).
Share and Cite
Zhou, W.; Li, T.; Lan, D.; Sun, C.; Yang, S. Influence of TiO2, Al2O3, and Basicity on Viscosity and Structure of High Titanium-Bearing Blast Furnace Slag. Materials 2023, 16, 2575. https://doi.org/10.3390/ma16072575
Zhou W, Li T, Lan D, Sun C, Yang S. Influence of TiO2, Al2O3, and Basicity on Viscosity and Structure of High Titanium-Bearing Blast Furnace Slag. Materials. 2023; 16(7):2575. https://doi.org/10.3390/ma16072575
Chicago/Turabian StyleZhou, Wenbo, Tingle Li, Dong Lan, Changyu Sun, and Songtao Yang. 2023. "Influence of TiO2, Al2O3, and Basicity on Viscosity and Structure of High Titanium-Bearing Blast Furnace Slag" Materials 16, no. 7: 2575. https://doi.org/10.3390/ma16072575
APA StyleZhou, W., Li, T., Lan, D., Sun, C., & Yang, S. (2023). Influence of TiO2, Al2O3, and Basicity on Viscosity and Structure of High Titanium-Bearing Blast Furnace Slag. Materials, 16(7), 2575. https://doi.org/10.3390/ma16072575
