Penetration Coefficients of Commercial Nanolimes and a Liquid Mineral Precursor for Pore-Imitating Test Systems—Predictability of Infiltration Behavior
Abstract
1. Introduction
2. Materials and Methods
2.1. Materials
2.2. Device Fabrications
2.2.1. Soft Lithography Route

2.2.2. Poly(methyl methacrylate) (PMMA) Microfluidics
2.2.3. Glass–Resin Microcomb Test System
2.3. Consolidants
2.3.1. Nanolimes
2.3.2. Complex Coacervate Formulation
2.4. Infiltration Experiments


2.5. Determination of the Penetration Coefficient
2.6. Predictions of Penetration Coefficients
3. Results and Discussion
3.1. Device Fabrication
3.1.1. Soft Photolithography Route
3.1.2. Poly(methyl methacrylate) Microfluidics
3.1.3. Glass–Resin Microcomb Test System
3.2. Experimental Infiltration Study
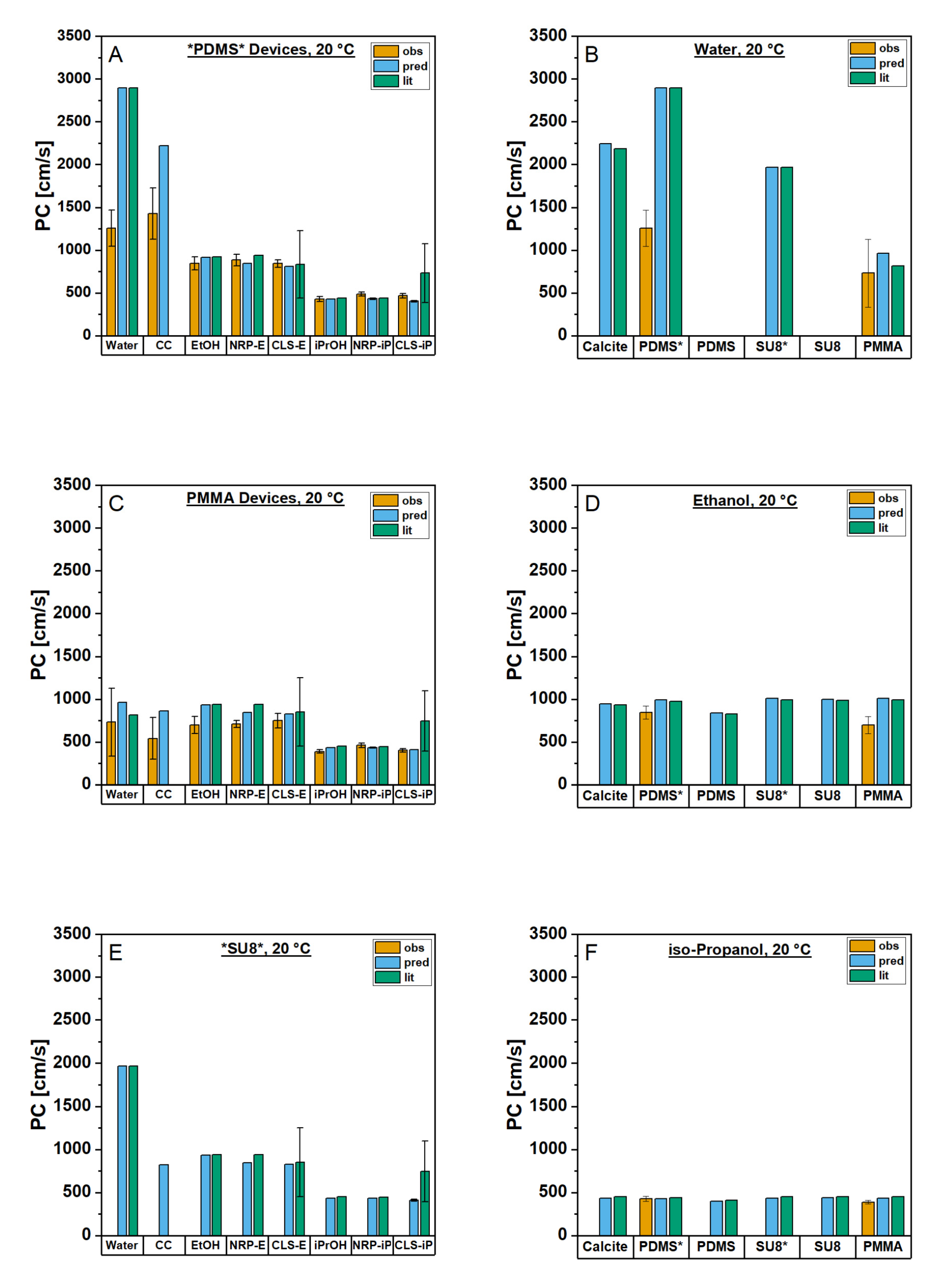
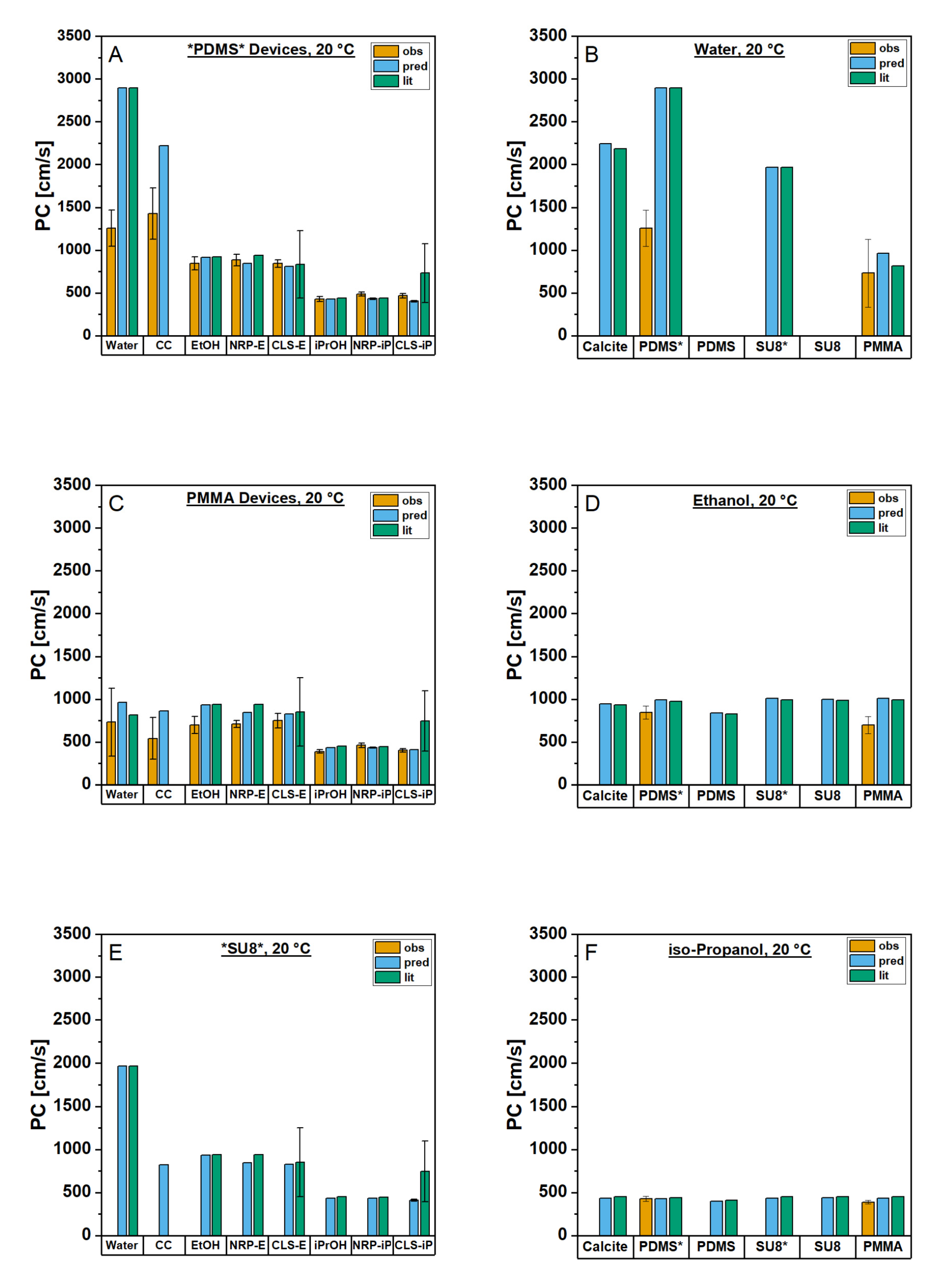
3.3. Theoretical Infiltration Studies
3.4. Penetration Coefficients of Calcite
- Between *PDMS* and PMMA for identical liquids with Equation (4) (Supplementary Materials, Tables S10–S2);
- Between different liquids for identical materials with Equation (3) (Supplementary Materials Tables S13–S16);
- It is a most promising method for the predictions of well-agreeing PCs for calcite/liquid systems using measured or calculated PCs of any other liquid/material combination as the basis.
- For reliable conversion, the basis used must be solid and of good quality. In this case, alcoholic measurements in *PDMS* were the best measurements followed by alcohols and water in PMMA.
- In this way, the Lucas–Washburn equation can be used to predict identical or near-identical calcite PCs for a given liquid from various other material/liquid combinations.
- It is strongly indicated that this is generally a suitable prediction method for infiltration behavior using PCs, maybe needing a practical adjustment factor for water and CC of about 50–60% (according to prediction differences and differences in measured and recalculated CAs from observed PCs).
- This way, we can now make predictions for nontransparent systems using experimental data obtained from transparent systems as the basis to aid the targeted design of (for example) stone treatments.
4. Conclusions
- The commercially available acrylic (PMMA) chips seem the least time consuming and most reproducible in terms of manufacturing, yielding good infiltration results compared to literature calculations, and experimental predictions, with some restrictions such as limited commercially available designs, but most notably without the necessity for a modification step.
- This chip is closely followed by the silicon polymer (PDMS) device: its advantage lies in the possibility of custom designs with low-cost mass production capabilities and only one photolithographic master required for many PDMS imprints [55]. Drawbacks are the strongly hydrophobic nature of PDMS [50], which necessitates a functionalization step for the infiltration of most solutions, as well as its swelling behavior with many organic solvents [74]. Furthermore, the fabrication of master templates requires specialized equipment.
- The glass–resin MCTS in its current published form is not suitable for PC determination but could be, based on calculations of predicted and literature-based PCs, if open pore designs can be realized and manufacturing improved.
- The exact prediction of absolute values proves challenging, especially for water-based systems.
- The similarity between all PC values for the alcoholic systems as well as their good quantitative agreement is noteworthy.
- As long as a liquid achieves the same contact angle with the material as the reference (here: calcite), a semiquantitative infiltration prediction can be made for alcoholic systems, while more research and fine-tuning are needed for water-based systems.
- A very promising result is the excellent agreement of converted PC values for calcite/liquid systems based on the Lucas–Washburn equations using either observed or predicted PC values in modified PDMS (*) or native PMMA for all liquids except water and CC in *PDMS*, where an experimental adjustment factor might be needed, estimated to be around 50%.
- Are the observations made for these micromodel and liquid combinations transferable to real stone and relevant for restoration? For example, marble and sandstone, as imitated by Gruber et al. [29], calcite, as imitated here, or other calcium carbonate-containing minerals. While the PC as such is independent of pore radius r, it remains to be seen if it is suitable for describing more complex porous systems such as natural stone.
- Are complex coacervates able to effectively consolidate and remineralize deteriorated stone samples, ideally without introducing further problems?
Supplementary Materials
Author Contributions
Funding
Data Availability Statement
Acknowledgments
Conflicts of Interest
References
- Baglioni, P.; Chelazzi, D. Nanoscience for the Conservation of Works of Art; RSC Publishing: Cambridge, UK, 2013; ISBN 1849735662. [Google Scholar]
- Hannig, M.; Hannig, C. Nanomaterials in preventive dentistry. Nat. Nanotechnol. 2010, 5, 565–569. [Google Scholar] [CrossRef] [PubMed]
- Karagiannis, N.; Karoglou, M.; Bakolas, A.; Moropoulou, A. Building Materials Capillary Rise Coefficient: Concepts, Determination and Parameters Involved. In New Approaches to Building Pathology and Durability; Delgado, J., Ed.; Springer: Singapore, 2016; pp. 27–44. ISBN 978-981-10-0648-7. [Google Scholar]
- Tiano, P.; Accolla, P.; Tomaselli, L. Phototrophic biodeteriogens on lithoid surfaces: An ecological study. Microb. Ecol. 1995, 29, 299–309. [Google Scholar] [CrossRef] [PubMed]
- Baglioni, P.; Chelazzi, D. How Science Can Contribute to the Remedial Conservation of Cultural Heritage. Chem. A Eur. J. 2021, 27, 10798–10806. [Google Scholar] [CrossRef] [PubMed]
- Gruber, D.; Ruiz-Agudo, C.; Cölfen, H. Cationic Coacervates: Novel Phosphate Ionic Reservoir for the Mineralization of Calcium Phosphates. ACS Biomater. Sci. Eng. 2022. [Google Scholar] [CrossRef]
- Gherardi, F.; Maravelaki, P.N. Advances in the application of nanomaterials for natural stone conservation. RILEM Tech. Lett. 2022, 7, 20–29. [Google Scholar] [CrossRef]
- Paris, S.; Meyer-Lueckel, H.; Mueller, J.; Hummel, M.; Kielbassa, A.M. Progression of sealed initial bovine enamel lesions under demineralizing conditions in vitro. Caries Res. 2006, 40, 124–129. [Google Scholar] [CrossRef] [PubMed]
- Bernardi, A.; Favaro, M.; Nijland, T.; García, O.; Detalle, V.; Wittstadt, K.; Sanchez, M.D.R.; Pockelé, L.; Kunday, B.; Verhey, B.; et al. Nanomatch: A European Project to Develop Consolidants through the Synthesis of New Inorganic Nanomaterials for the Conservation of Built Heritage. Int. J. Herit. Digit. Era 2012, 1, 307–312. [Google Scholar] [CrossRef]
- Otero, J.; Starinieri, V.; Charola, A.E. Nanolime for the consolidation of lime mortars: A comparison of three available products. Constr. Build. Mater. 2018, 181, 394–407. [Google Scholar] [CrossRef]
- Otero, J.; Charola, A.E.; Grissom, C.A.; Starinieri, V. An overview of nanolime as a consolidation method for calcareous substrates. Ge-Conservación 2017, 1, 71–78. [Google Scholar] [CrossRef]
- Rodriguez-Navarro, C.; Ruiz-Agudo, E. Nanolimes: From synthesis to application. Pure Appl. Chem. 2018, 90, 523–550. [Google Scholar] [CrossRef]
- Carpe Diem. David.png. Available online: https://thenounproject.com/icon/david-1569708/ (accessed on 6 March 2023).
- Lopez-Arce, P.; Gomez-Villalba, L.S.; Pinho, L.; Fernandez-Valle, M.E.; de Buergo, M.A.; Fort, R. Influence of porosity and relative humidity on consolidation of dolostone with calcium hydroxide nanoparticles: Effectiveness assessment with non-destructive techniques. Mater. Charact. 2010, 61, 168–184. [Google Scholar] [CrossRef]
- Daehne, A.; Herm, C. Calcium hydroxide nanosols for the consolidation of porous building materials-results from EU-STONECORE. Herit. Sci. 2013, 1, 11. [Google Scholar] [CrossRef]
- Ambrosi, M.; Dei, L.; Giorgi, R.; Neto, C.; Baglioni, P. Colloidal particles of Ca(OH)(2): Properties and applications to restoration of frescoes. Langmuir 2001, 17, 4251–4255. [Google Scholar] [CrossRef]
- Macera, L.; Daniele, V.; Duchetta, F.; Casciardi, S.; Taglieri, G. New nanolimes for eco-friendly and customized treatments to preserve the biocalcarenites of the “Valley of Temples” of Agrigento. Constr. Build. Mater. 2021, 306, 124811. [Google Scholar] [CrossRef]
- Masi, G.; Sassoni, E. Air lime mortar consolidation by nanolimes and ammonium phosphate: Compatibility, effectiveness and durability. Constr. Build. Mater. 2021, 299, 123999. [Google Scholar] [CrossRef]
- Gherardi, F.; Otero, J.; Blakeley, R.; Colston, B. Application of Nanolimes for the Consolidation of Limestone from the Medieval Bishop’s Palace, Lincoln, UK. Stud. Conserv. 2020, 65, P90–P97. [Google Scholar] [CrossRef]
- Baglioni, P.; Chelazzi, D.; Giorgi, R.; Carretti, E.; Toccafondi, N.; Jaidar, Y. Commercial Ca(OH)2 nanoparticles for the consolidation of immovable works of art. Appl. Phys. A 2014, 114, 723–732. [Google Scholar] [CrossRef]
- Smith, P.F.; Rogers, R. Climate Change and Cultural Heritage: A Race Against Time; Routledge: London, UK, 2015; ISBN 1138189421. [Google Scholar]
- Ward, P. The Nature of Conservation: A Race Against Time; Oxford University Press, Incorporated: New York, NY, USA, 1990; ISBN 9780941103008. [Google Scholar]
- Analytical Methods Committee AMCTB No. 109. X-ray micro-computed tomography for heritage building materials. Anal. Methods 2021, 13, 5875–5878. [Google Scholar] [CrossRef]
- Anbari, A.; Chien, H.T.; Datta, S.S.; Deng, W.; Weitz, D.A.; Fan, J. Microfluidic Model Porous Media: Fabrication and Applications. Small 2018, 14, e1703575. [Google Scholar] [CrossRef]
- Delgado Rodrigues, J.; Ferreira Pinto, A.P.; Nogueira, R.; Gomes, A. Consolidation of lime mortars with ethyl silicate, nanolime and barium hydroxide. Effectiveness assessment with microdrilling data. J. Cult. Herit. 2018, 29, 43–53. [Google Scholar] [CrossRef]
- Boone, M.A.; de Kock, T.; Bultreys, T.; de Schutter, G.; Vontobel, P.; van Hoorebeke, L.; Cnudde, V. 3D mapping of water in oolithic limestone at atmospheric and vacuum saturation using X-ray micro-CT differential imaging. Mater. Charact. 2014, 97, 150–160. [Google Scholar] [CrossRef]
- Niedoba, K.; Slížková, Z.; Frankeová, D.; Lara Nunes, C.; Jandejsek, I. Modifying the consolidation depth of nanolime on Maastricht limestone. Constr. Build. Mater. 2017, 133, 51–56. [Google Scholar] [CrossRef]
- Otero, J.; Starinieri, V.; Charola, A.E. Influence of substrate pore structure and nanolime particle size on the effectiveness of nanolime treatments. Constr. Build. Mater. 2019, 209, 701–708. [Google Scholar] [CrossRef]
- Gruber, D.; Wolf, S.L.P.; Hoyt, A.-L.M.; Konsek, J.P.; Cölfen, H. A Micro-Comb Test System for In Situ Investigation of Infiltration and Crystallization Processes. Minerals 2017, 7, 187. [Google Scholar] [CrossRef]
- Yang, W.; Lu, J.; Wei, B.; Yu, H.; Liang, T. Micromodel Studies of Surfactant Flooding for Enhanced Oil Recovery: A Review. ACS Omega 2021, 6, 6064–6069. [Google Scholar] [CrossRef]
- Siadatifar, S.E.; Fatemi, M.; Masihi, M. Pore scale visualization of fluid-fluid and rock-fluid interactions during low-salinity waterflooding in carbonate and sandstone representing micromodels. J. Pet. Sci. Eng. 2021, 198, 108156. [Google Scholar] [CrossRef]
- Massimiani, A.; Panini, F.; Marasso, S.L.; Vasile, N.; Quaglio, M.; Coti, C.; Barbieri, D.; Verga, F.; Pirri, C.F.; Viberti, D. Design, Fabrication, and Experimental Validation of Microfluidic Devices for the Investigation of Pore-Scale Phenomena in Underground Gas Storage Systems. Micromachines 2023, 14, 308. [Google Scholar] [CrossRef]
- Love, J.C.; Estroff, L.A.; Kriebel, J.K.; Nuzzo, R.G.; Whitesides, G.M. Self-assembled monolayers of thiolates on metals as a form of nanotechnology. Chem. Rev. 2005, 105, 1103–1169. [Google Scholar] [CrossRef]
- Bain, C.D.; Troughton, E.B.; Tao, Y.T.; Evall, J.; Whitesides, G.M.; Nuzzo, R.G. Formation of monolayer films by the spontaneous assembly of organic thiols from solution onto gold. J. Am. Chem. Soc. 1989, 111, 321–335. [Google Scholar] [CrossRef]
- Hoyt, A.-L.M.; Cölfen, H. Stone pore imitating artificial test systems: Current prototypes and potential for cultural heritage care. In Monument Future, Decay and Conservation of Stone, Proceedings of the 14th International Congress on the Deteriotation and Conservation of Stone, Göttingen, Germany, 7–12 September 2020; Siegesmund, S., Middendorf, B., Eds.; Mitteldeutscher Verlag: Halle, Germany, 2020; pp. 573–578. ISBN 978-3-96311-172-3. [Google Scholar]
- Cartwright, J.; Checa, A.; Gale, J.; Gebauer, D.; Sainz-Díaz, C.I. Calcium carbonate polyamorphism and its role in biomineralization: How many amorphous calcium carbonates are there? Angew. Chem. Int. Ed. 2012, 51, 11960–11970. [Google Scholar] [CrossRef]
- Wolf, S.E.; Leiterer, J.; Pipich, V.; Barrea, R.; Emmerling, F.; Tremel, W. Strong stabilization of amorphous calcium carbonate emulsion by ovalbumin: Gaining insight into the mechanism of ‘polymer-induced liquid precursor’ processes. J. Am. Chem. Soc. 2011, 133, 12642–12649. [Google Scholar] [CrossRef] [PubMed]
- Wolf, S.E.; Müller, L.; Barrea, R.; Kampf, C.J.; Leiterer, J.; Panne, U.; Hoffmann, T.; Emmerling, F.; Tremel, W. Carbonate-coordinated metal complexes precede the formation of liquid amorphous mineral emulsions of divalent metal carbonates. Nanoscale 2011, 3, 1158–1165. [Google Scholar] [CrossRef] [PubMed]
- de Jong, H.G.B.; Kruyt, H.R. Koazervation. Kolloid-Zeitschrift 1929, 50, 39–48. [Google Scholar] [CrossRef]
- Kaempfe, P.; Lauth, V.R.; Halfer, T.; Treccani, L.; Maas, M.; Rezwan, K. Micromolding of Calcium Carbonate Using a Bio-Inspired, Coacervation-Mediated Process. J. Am. Ceram. Soc. 2013, 96, 736–742. [Google Scholar] [CrossRef]
- Neitzel, A.E.; Fang, Y.N.; Yu, B.; Rumyantsev, A.M.; de Pablo, J.J.; Tirrell, M.V. Polyelectrolyte Complex Coacervation across a Broad Range of Charge Densities. Macromolecules 2021, 54, 6878–6890. [Google Scholar] [CrossRef]
- Fuhrer, L.M.; Sun, S.T.; Boyko, V.; Kellermeier, M.; Cölfen, H. Tuning the properties of hydrogels made from poly(acrylic acid) and calcium salts. Phys. Chem. Chem. Phys. 2020, 22, 18631–18638. [Google Scholar] [CrossRef]
- Guaragnone, T.; Rossi, M.; Chelazzi, D.; Mastrangelo, R.; Severi, M.; Fratini, E.; Baglioni, P. pH-Responsive Semi-Interpenetrated Polymer Networks of pHEMA/PAA for the Capture of Copper Ions and Corrosion Removal. ACS Appl. Mater. Interfaces 2022, 14, 7471–7485. [Google Scholar] [CrossRef]
- Lauth, V.; Maas, M.; Rezwan, K. Coacervate-directed synthesis of CaCO3 microcarriers for pH-responsive delivery of biomolecules. J. Mater. Chem. B. 2014, 2, 7725–7731. [Google Scholar] [CrossRef]
- Mamusa, M.; Mastrangelo, R.; Glen, T.; Murgia, S.; Palazzo, G.; Smets, J.; Baglioni, P. Rational Design of Sustainable Liquid Microcapsules for Spontaneous Fragrance Encapsulation. Angew. Chem. Int. Ed. 2021, 60, 23849–23857. [Google Scholar] [CrossRef]
- Matsuo, M.; Kurihara, K. Proliferating coacervate droplets as the missing link between chemistry and biology in the origins of life. Nat. Commun. 2021, 12, 5487. [Google Scholar] [CrossRef]
- O’Brien, W.J.; Fan, P.L.; Apostolides, A. Penetrativity of sealants and glazes. The effectiveness of a sealant depends on its ability to penetrate into fissures. Oper. Dent. 1978, 3, 51–56. [Google Scholar] [PubMed]
- Whitesides, G.M.; Ostuni, E.; Takayama, S.; Jiang, X.; Ingber, D.E. Soft lithography in biology and biochemistry. Annu. Rev. Biomed. Eng. 2001, 3, 335–373. [Google Scholar] [CrossRef] [PubMed]
- Whitesides, G.M. The origins and the future of microfluidics. Nature 2006, 442, 368–373. [Google Scholar] [CrossRef] [PubMed]
- Demming, S.; Lesche, C.; Schmolke, H.; Klages, C.-P.; Büttgenbach, S. Characterization of long-term stability of hydrophilized PEG-grafted PDMS within different media for biotechnological and pharmaceutical applications. Phys. Status Solidi (A) 2011, 208, 1301–1307. [Google Scholar] [CrossRef]
- Fan, P.L.; Seluk, L.W.; O’Brien, W.J. Penetrativity of sealants: I. J. Dent. Res. 1975, 54, 262–264. [Google Scholar]
- Paris, S.; Meyer-Lueckel, H.; Cölfen, H.; Kielbassa, A.M. Penetration coefficients of commercially available and experimental composites intended to infiltrate enamel carious lesions. Dent. Mater. 2007, 23, 742–748. [Google Scholar] [CrossRef]
- Washburn, E.W. The Dynamics of Capillary Flow. Phys. Rev. 1921, 17, 273–283. [Google Scholar] [CrossRef]
- Lucas, R. Ueber das Zeitgesetz des kapillaren Aufstiegs von Flüssigkeiten. Kolloid-Zeitschrift 1918, 23, 15–22. [Google Scholar] [CrossRef]
- Brennich, M.E.; Nolting, J.-F.; Dammann, C.; Nöding, B.; Bauch, S.; Herrmann, H.; Pfohl, T.; Köster, S. Dynamics of intermediate filament assembly followed in micro-flow by small angle X-ray scattering. Lab Chip 2011, 11, 708–716. [Google Scholar] [CrossRef]
- Saldanha, O.; Brennich, M.E.; Burghammer, M.; Herrmann, H.; Köster, S. The filament forming reactions of vimentin tetramers studied in a serial-inlet microflow device by small angle x-ray scattering. Biomicrofluidics 2016, 10, 24108. [Google Scholar] [CrossRef]
- Burklund, A.; Tadimety, A.; Nie, Y.; Hao, N.; Zhang, J.X. Chapter One-Advances in diagnostic microfluidics. In Advances in Clinical Chemistry; Makowski, G.S., Ed.; Elsevier: Amsterdam, The Netherlands, 2020; pp. 1–72. ISBN 0065-2423. [Google Scholar]
- Rodriguez-Navarro, C.; Suzuki, A.; Ruiz-Agudo, E. Alcohol dispersions of calcium hydroxide nanoparticles for stone conservation. Langmuir 2013, 29, 11457–11470. [Google Scholar] [CrossRef] [PubMed]
- IBZ Salzchemie, Brochure, CaLoSiL®-Strukturelle Steinkonservierung & Festigung. Available online: https://www.calosil.de/calosil (accessed on 11 January 2023).
- Slížková, Z.; Frankeová, D.; Drdácký, M. Consolidating Efficiency of Nanolime Product CaLoSiL on Porous Limestone. Buildings 2023, 13, 209. [Google Scholar] [CrossRef]
- Akther, F.; Yakob, S.B.; Nguyen, N.-T.; Ta, H.T. Surface Modification Techniques for Endothelial Cell Seeding in PDMS Microfluidic Devices. Biosensors 2020, 10, 182. [Google Scholar] [CrossRef]
- Cai, J.; Jin, T.; Kou, J.; Zou, S.; Xiao, J.; Meng, Q. Lucas–Washburn Equation-Based Modeling of Capillary-Driven Flow in Porous Systems. Langmuir 2021, 37, 1623–1636. [Google Scholar] [CrossRef]
- Zhou, J.; Ellis, A.V.; Voelcker, N.H. Recent developments in PDMS surface modification for microfluidic devices. Electrophoresis 2010, 31, 2–16. [Google Scholar] [CrossRef]
- Duffy, D.C.; McDonald, J.C.; Schueller, O.J.A.; Whitesides, G.M. Rapid Prototyping of Microfluidic Systems in Poly(dimethylsiloxane). Anal. Chem. 1998, 70, 4974–4984. [Google Scholar] [CrossRef]
- Jokinen, V.; Suvanto, P.; Franssila, S. Oxygen and nitrogen plasma hydrophilization and hydrophobic recovery of polymers. Biomicrofluidics 2012, 6, 16501. [Google Scholar] [CrossRef]
- Zhou, L.; Das, S.; Ellis, B.R. Effect of Surfactant Adsorption on the Wettability Alteration of Gas-Bearing Shales. Environ. Eng. Sci. 2016, 33, 766–777. [Google Scholar] [CrossRef]
- Erfani Gahrooei, H.R.; Ghazanfari, M.H. Toward a hydrocarbon-based chemical for wettability alteration of reservoir rocks to gas wetting condition: Implications to gas condensate reservoirs. J. Mol. Liq. 2017, 248, 100–111. [Google Scholar] [CrossRef]
- Stöckl, M.T. Liquid Meniscus Tracking ImageJ Macro. Zenodo 2022. [Google Scholar] [CrossRef]
- Yu, T.; Zhou, J.; Doi, M. Capillary imbibition in a square tube. Soft Matter 2018, 14, 9263–9270. [Google Scholar] [CrossRef]
- Data Package. Experimental Properties of Solvents, Nanolimes, and a Complex Coacervate. KonDATA 2023. [Google Scholar] [CrossRef]
- Paris, S.; Meyer-Lueckel, H.; Cölfen, H.; Kielbassa, A.M. Resin infiltration of artificial enamel caries lesions with experimental light curing resins. Dent. Mater. J. 2007, 26, 582–588. [Google Scholar] [CrossRef] [PubMed]
- Golmohammadi, S.; Ding, Y.; Kuechler, M.; Reuter, D.; Schlueter, S.; Amro, M.; Geistlinger, H. Impact of Wettability and Gravity on Fluid Displacement and Trapping in Representative 2D Micromodels of Porous Media (2D Sand Analogs). Water Resour. Res. 2021, 57, e2021WR029908. [Google Scholar] [CrossRef]
- Patmonoaji, A.; Mahardika, M.A.; Nasir, M.; She, Y.; Wang, W.; Muflikhun, M.A.; Suekane, T. Stereolithography 3D Printer for Micromodel Fabrications with Comprehensive Accuracy Evaluation by Using Microtomography. Geosciences 2022, 12, 183. [Google Scholar] [CrossRef]
- Lee, J.N.; Park, C.; Whitesides, G.M. Solvent compatibility of poly(dimethylsiloxane)-based microfluidic devices. Anal. Chem. 2003, 75, 6544–6554. [Google Scholar] [CrossRef] [PubMed]
- Meyer-Lueckel, H.; Paris, S.; Mueller, J.; Cölfen, H.; Kielbassa, A.M. Influence of the application time on the penetration of different dental adhesives and a fissure sealant into artificial subsurface lesions in bovine enamel. Dent. Mater. 2006, 22, 22–28. [Google Scholar] [CrossRef]
- Data Package. Infiltration into PDMS-Light Microscopy Data. KonDATA 2023. [Google Scholar] [CrossRef]
- Data Package. Infiltration into PMMA-Light Microscopy Data. KonDATA 2023. [Google Scholar] [CrossRef]
- Data Publication. Datasets for “Penetration Coefficients of Commercial Nanoliomes and a Liquid Mineral Precursor into Pore-Imitating Test Systems”. KonDATA 2023. [Google Scholar] [CrossRef]
- Pang, F.-M.; Seng, C.-E.; Teng, T.-T.; Ibrahim, M.H. Densities and viscosities of aqueous solutions of 1-propanol and 2-propanol at temperatures from 293.15 K to 333.15 K. J. Ofmolecular Liq. 2007, 136, 71–78. [Google Scholar] [CrossRef]
- Gonzalez, B.; Dominguez, A.; Tojo, J. Dynamic viscosities, densities, and speed of sound and derived properties of the binary systems acetic acid with water, methanol, ethanol, ethyl acetate and methyl acetate at T = (293.15, 298.15, and 303.15) K at atmospheric pressure. J. Chem. Eng. Data 2004, 49, 1590–1596. [Google Scholar] [CrossRef]
- Vazquez, G.; Alvarez, E.; Navaza, J.M. Surface-Tension of Alcohol Plus Water from 20-Degrees-C to 50-Degrees-C. J. Chem. Eng. Data 1995, 40, 611–614. [Google Scholar] [CrossRef]
- Khattab, I.S.; Bandarkar, F.; Fakhree, M.A.A.; Jouyban, A. Density, viscosity, and surface tension of water+ ethanol mixtures from 293 to 323K. Korean J. Chem. Eng. 2012, 29, 812–817. [Google Scholar] [CrossRef]
- Schindelin, J.; Arganda-Carreras, I.; Frise, E.; Kaynig, V.; Longair, M.; Pietzsch, T.; Preibisch, S.; Rueden, C.; Saalfeld, S.; Schmid, B.; et al. Fiji: An open-source platform for biological-imageanalysis. Nat. Methods 2012, 9, 676–682. [Google Scholar] [CrossRef]
- Safety Data Sheet Nanorestore Plus(R) 5 g/L in Ethanol; SDS: Florence, Italy, 2016.
- Safety Data Sheet CaLoSiL(R) E-Products up until E25; SDS: Halsbrücke, Germany, 2017.
- Safety Data Sheet Nanorestore Plus(R) 5 g/L in iso-Propanol; SDS: Florence, Italy, 2016.
- Safety Data Sheet CaLoSiL(R) IP-Products, iso-Propanol-Based; SDS: Halsbrücke, Germany, 2017.





| Based on: PCobs | *PDMS* with | PMMA with | ||||||
|---|---|---|---|---|---|---|---|---|
| Water | CC | EtOH | iPrOH | Water | CC | EtOH | iPrOH | |
| cPCCalcite with: | ||||||||
| Water | 3328 | 3624 | 2244 | 2244 | 2244 | 2244 | 2244 | 2244 |
| CC | 2912 | 3171 | 1964 | 1964 | 1964 | 1964 | 1964 | 1964 |
| EtOH | 1300 | 1415 | 876 | 876 | 876 | 876 | 876 | 876 |
| iPrOH | 646 | 703 | 436 | 436 | 436 | 436 | 436 | 436 |
| Based on: PCpred | *PDMS* with | PMMA with | ||||||
|---|---|---|---|---|---|---|---|---|
| Water | CC | EtOH | iPrOH | Water | CC | EtOH | iPrOH | |
| cPCCalcite with: | ||||||||
| Water | 2244 | 2244 | 2244 | 2244 | 2244 | 2244 | 2244 | 2051 |
| CC | 1964 | 1964 | 1964 | 1964 | 1964 | 1964 | 1964 | 1795 |
| EtOH | 876 | 876 | 876 | 876 | 876 | 876 | 876 | 801 |
| iPrOH | 436 | 436 | 436 | 439 | 436 | 436 | 436 | 398 |
Disclaimer/Publisher’s Note: The statements, opinions and data contained in all publications are solely those of the individual author(s) and contributor(s) and not of MDPI and/or the editor(s). MDPI and/or the editor(s) disclaim responsibility for any injury to people or property resulting from any ideas, methods, instructions or products referred to in the content. |
© 2023 by the authors. Licensee MDPI, Basel, Switzerland. This article is an open access article distributed under the terms and conditions of the Creative Commons Attribution (CC BY) license (https://creativecommons.org/licenses/by/4.0/).
Share and Cite
Hoyt, A.-L.M.; Staiger, M.; Schweinbeck, M.; Cölfen, H. Penetration Coefficients of Commercial Nanolimes and a Liquid Mineral Precursor for Pore-Imitating Test Systems—Predictability of Infiltration Behavior. Materials 2023, 16, 2506. https://doi.org/10.3390/ma16062506
Hoyt A-LM, Staiger M, Schweinbeck M, Cölfen H. Penetration Coefficients of Commercial Nanolimes and a Liquid Mineral Precursor for Pore-Imitating Test Systems—Predictability of Infiltration Behavior. Materials. 2023; 16(6):2506. https://doi.org/10.3390/ma16062506
Chicago/Turabian StyleHoyt, Andra-Lisa Maria, Marc Staiger, Marcel Schweinbeck, and Helmut Cölfen. 2023. "Penetration Coefficients of Commercial Nanolimes and a Liquid Mineral Precursor for Pore-Imitating Test Systems—Predictability of Infiltration Behavior" Materials 16, no. 6: 2506. https://doi.org/10.3390/ma16062506
APA StyleHoyt, A.-L. M., Staiger, M., Schweinbeck, M., & Cölfen, H. (2023). Penetration Coefficients of Commercial Nanolimes and a Liquid Mineral Precursor for Pore-Imitating Test Systems—Predictability of Infiltration Behavior. Materials, 16(6), 2506. https://doi.org/10.3390/ma16062506

