Sign in to use this feature.

Years

Between: -

Subjects

remove_circle_outline
remove_circle_outline
remove_circle_outline
remove_circle_outline
remove_circle_outline

Journals

Article Types

Countries / Regions

Search Results (10)

Search Parameters:
Keywords = Lucas–Washburn equation

Order results
Result details
Results per page
Select all
Export citation of selected articles as:
18 pages, 2110 KB  
Article
Wettability Effect on Nanoconfined Water’s Spontaneous Imbibition: Interfacial Molecule–Surface Action Mechanism Based on the Integration of Profession and Innovation
by Yanglu Wan, Wei Lu, Yang Jiao, Fulong Li, Mingfang Zhan, Zichen Wang and Zheng Sun
Nanomaterials 2025, 15(18), 1447; https://doi.org/10.3390/nano15181447 - 19 Sep 2025
Viewed by 327
Abstract
The effect of molecule–surface interaction strength on water becomes pronounced when pore size shrinks to the nanoscale, leading to the spatially varying viscosity and water slip phenomena that break the theoretical basis of the classic Lucas–Washburn (L-W) equation for the spontaneous imbibition of [...] Read more.
The effect of molecule–surface interaction strength on water becomes pronounced when pore size shrinks to the nanoscale, leading to the spatially varying viscosity and water slip phenomena that break the theoretical basis of the classic Lucas–Washburn (L-W) equation for the spontaneous imbibition of water. With the purpose of fulfilling the knowledge gap, the viscosity of nanoconfined water is investigated in relation to surface contact angle, a critical parameter manifesting microscopic molecule–surface interaction strength. Then, the water slip length at the nanoscale is determined in accordance with the mechanical balance of the first-layer water molecules, which enlarges gradually with increasing contact angle, indicating a weaker surface–molecule interaction. After that, a novel model for the spontaneous imbibition of nanoconfined water incorporating spatially inhomogeneous water viscosity and water slip is developed for the first time, demonstrating that the conventional model yields overestimations of 16.7–103.2%. Hydrodynamics affected by pore geometry are considered as well. The results indicate the following: (a) Enhanced viscosity resulting from the nanopore surface action reduces the water imbibition distance, the absolute magnitude of which could be 3 times greater than the positive impact of water slip. (b) With increasing pore size, the impact of water slip declines much faster than the enhanced viscosity, leading to the ratio of the nanoconfined water imbibition distance to the result of the L-W equation dropping rapidly at first and then approaching unity. (c) Water imbibition performance in slit nanopores is superior to that in nanoscale capillaries, stemming from the fact that the effective water viscosity in nano-capillaries is greater than that in slit nanopores by 5.1–22.1%, suggesting stronger hydrodynamic resistance. This research is able to provide an accurate prediction of spontaneous imbibition of nanoconfined water with microscopic mechanisms well captured, sharing broad application potential in hydraulic fracturing water analysis and water-flooding-enhanced oil/gas recovery. Full article
Show Figures

Figure 1

20 pages, 9841 KB  
Article
Experimental Investigations of Capillary Flow in Three-Dimensional-Printed Microchannels
by Behrouz Pirouz, Seyed Navid Naghib, Diamante Chirillo, Hana Javadi Nejad and Patrizia Piro
Fluids 2025, 10(4), 91; https://doi.org/10.3390/fluids10040091 - 2 Apr 2025
Viewed by 949
Abstract
In recent years, the application of microfluidic devices has increased, and three-dimensional (3D) printers for fabricating microdevices could be considered a suitable technique but, in some cases, may confront some issues. The main issues include channel roughness values, print orientation due to the [...] Read more.
In recent years, the application of microfluidic devices has increased, and three-dimensional (3D) printers for fabricating microdevices could be considered a suitable technique but, in some cases, may confront some issues. The main issues include channel roughness values, print orientation due to the 3D printer’s setup, filament materials, nozzle specifications, and condition. This study aims to analyze the capillary-driven flow in microdevices produced by 3D printers. Therefore, four 3D printer-based microchannels were investigated, and the capillary-driven flow of five liquids with different viscosities and contact angles was evaluated experimentally. The experimental results were compared with theoretical calculations using the Lucas−Washburn equation, and the impact of the width, length, and closed and open microchannel on flow behaviors was explored. The experimental results showed that the peak velocity for open and closed microchannels decreases with the length. Moreover, there were differences in flow behavior between open and closed microchannels. For the former, the maximum average velocity appeared in the microchannel with a width of 400 μm, while for the latter, it was for a width of 1000 μm. In addition, the flow velocity decreased when the viscosity increased, regardless of microchannel width. The decrease was more pronounced for the lower-viscosity liquids (ethanol and water) and smaller for the higher-viscosity ones (coffee and olive oil). Finally, the advantages and challenges of 3D printer-based microdevices are presented. Full article
Show Figures

Figure 1

26 pages, 10732 KB  
Article
Modeling of Paper-Based Bi-Material Cantilever Actuator for Microfluidic Biosensors
by Ashutosh Kumar, Hojat Heidari-Bafroui, Nassim Rahmani, Constantine Anagnostopoulos and Mohammad Faghri
Biosensors 2023, 13(6), 580; https://doi.org/10.3390/bios13060580 - 26 May 2023
Cited by 8 | Viewed by 2588
Abstract
This research explores the dynamics of a fluidically loaded Bi-Material cantilever (B-MaC), a critical component of μPADs (microfluidic paper-based analytical devices) used in point-of-care diagnostics. Constructed from Scotch Tape and Whatman Grade 41 filter paper strips, the B-MaC’s behavior under fluid imbibition is [...] Read more.
This research explores the dynamics of a fluidically loaded Bi-Material cantilever (B-MaC), a critical component of μPADs (microfluidic paper-based analytical devices) used in point-of-care diagnostics. Constructed from Scotch Tape and Whatman Grade 41 filter paper strips, the B-MaC’s behavior under fluid imbibition is examined. A capillary fluid flow model is formulated for the B-MaC, adhering to the Lucas–Washburn (LW) equation, and supported by empirical data. This paper further investigates the stress–strain relationship to estimate the modulus of the B-MaC at various saturation levels and to predict the behavior of the fluidically loaded cantilever. The study shows that the Young’s modulus of Whatman Grade 41 filter paper drastically decreases to approximately 20 MPa (about 7% of its dry-state value) upon full saturation. This significant decrease in flexural rigidity, in conjunction with the hygroexpansive strain and coefficient of hygroexpansion (empirically deduced to be 0.008), is essential in determining the B-MaC’s deflection. The proposed moderate deflection formulation effectively predicts the B-MaC’s behavior under fluidic loading, emphasizing the measurement of maximum (tip) deflection using interfacial boundary conditions for the B-MaC’s wet and dry regions. This knowledge of tip deflection will prove instrumental in optimizing the design parameters of B-MaCs. Full article
(This article belongs to the Special Issue Microfluidics for Biomedical Applications (2nd Edition))
Show Figures

Figure 1

24 pages, 3882 KB  
Article
Penetration Coefficients of Commercial Nanolimes and a Liquid Mineral Precursor for Pore-Imitating Test Systems—Predictability of Infiltration Behavior
by Andra-Lisa Maria Hoyt, Marc Staiger, Marcel Schweinbeck and Helmut Cölfen
Materials 2023, 16(6), 2506; https://doi.org/10.3390/ma16062506 - 21 Mar 2023
Cited by 1 | Viewed by 2409
Abstract
Nanolimes have been commercially available for over a decade as a remineralization agent for natural stone to combat deterioration. While they have been applied successfully and studied extensively, their penetration abilities in different materials have not yet been readily quantifiable in situ and [...] Read more.
Nanolimes have been commercially available for over a decade as a remineralization agent for natural stone to combat deterioration. While they have been applied successfully and studied extensively, their penetration abilities in different materials have not yet been readily quantifiable in situ and in real time. Using two transparent pore-imitating test systems (acrylic glass (PMMA) and polydimethylsiloxane (PDMS)) and light microscopy, the penetration coefficients (PCs) of two nanolimes (CaLoSiL (CLS) and Nanorestore Plus (NRP)), as well as their solvents, were determined experimentally in square channels of about 100 µm diameter. Their PCs and those for a previously published glass–resin-based test system were also predicted based on measurable material parameters or literature values using the Lucas–Washburn equation. Additionally, a liquid mineral precursor (LMP) of calcium carbonate based on complex coacervation (CC) was investigated as an alternative to the solid particle dispersions of nanolime. In general, the dispersions behaved like their pure solvents. Overall, trends could be reasonably well predicted with both literature and experimentally determined properties using the Lucas–Washburn equation. In absolute terms, the prediction of observed infiltration behavior was satisfactory for alcohols and nanolimes but deviated substantially for water and the aqueous LMP. The commercially available PMMA chips and newly designed PDMS devices were mostly superior to the previously published glass–resin-based test system, except for the long-term monitoring of material deposition. Lastly, the transfer of results from these investigated systems to a different, nontransparent mineral, calcite, yielded similar PC values independently of the original data when used as the basis for the conversion (all PC types and all material/liquid combinations except aqueous solutions in PDMS devices). This knowledge can be used to improve the targeted design of tailor-made remineralization treatments for different application cases by guiding solvent choice, and to reduce destructive sampling by providing a micromodel for pretesting, if transferability to real stone samples proves demonstrable in the future. Full article
Show Figures

Graphical abstract

20 pages, 5482 KB  
Article
Laser Melt Infiltration of UHMWPE into the Binary Coatings of Strontium Apatite and Colloidal Silica
by Akira Furukawa and Yasuhito Tanaka
Coatings 2023, 13(3), 580; https://doi.org/10.3390/coatings13030580 - 7 Mar 2023
Viewed by 2170
Abstract
Medical-grade ultrahigh molecular weight polyethylene (UHMWPE) is the material of choice for sliding surfaces in various articular joint implants owing to its excellent biocompatibility and superior physical properties, such as an exceptionally low coefficient of friction and excellent durability. However, the bioinert nature [...] Read more.
Medical-grade ultrahigh molecular weight polyethylene (UHMWPE) is the material of choice for sliding surfaces in various articular joint implants owing to its excellent biocompatibility and superior physical properties, such as an exceptionally low coefficient of friction and excellent durability. However, the bioinert nature of UHMWPE limits its extended use in rapidly advancing medical fronts. In this study, bioactive surface modifications of UHMWPE were addressed using a newly developed laser-melt infiltration technique. UHMWPE was coated with binary mixtures of strontium apatite and colloidal silica particles and irradiated using a 30 W CO2 laser to reach the maximum temperature of 150 ± 5 °C. UHMWPE melts infiltrated the porous matrices of the coatings by capillary force and formed surface-selective composite materials between them. Capillary rise heights were evaluated by observing the uplift of the substrate after the selective dissolution of the coating substances and were found to be much higher than the estimated values based on the Lucas–Washburn equation. This finding suggests that the melt viscosity of UHMWPE confined within the nanopores might be significantly lower than that measured at macroscopic scales. Both strontium and silicate ions are known osteo-inductive factors, and their concentrations eluted from the binary coatings were substantially higher than those found in the single coatings. Full article
Show Figures

Figure 1

21 pages, 5456 KB  
Article
Capillary Imbibition in Layered Sandstone
by Hailiang Jia, Biwen Dong, Di Wu, Qingmin Shi and Yao Wei
Water 2023, 15(4), 737; https://doi.org/10.3390/w15040737 - 13 Feb 2023
Cited by 4 | Viewed by 2951
Abstract
Spontaneous capillary imbibition in rocks is fundamental to numerous geomorphological processes and has caused numerous engineering problems. Sedimentary rocks are widely distributed across the Earth’s surface and usually bear layer structures that make the pore structure anisotropic. Understanding the effects of the anisotropic [...] Read more.
Spontaneous capillary imbibition in rocks is fundamental to numerous geomorphological processes and has caused numerous engineering problems. Sedimentary rocks are widely distributed across the Earth’s surface and usually bear layer structures that make the pore structure anisotropic. Understanding the effects of the anisotropic pore structure on capillary imbibition in sedimentary rocks is crucially important but remains inadequate, especially on larger scales than a single tube. In this study, the capillary imbibition process in sandstone was monitored by measuring the water absorption mass, height of the water absorption front, NMR (nuclear magnetic resonance) T2 spectra, and stratified moisture distribution. The results demonstrate that (1) the layer structure had a significant effect on the capillary imbibition process by altering water absorption rate and water redistribution mode, as the time of the water front reaching the top of Sample A1 lagged behind Sample A2 by 500 min; (2) vapor diffusion and condensation occurred ahead of the water-absorption front, which was more obvious in samples with well-developed beddings; (3) in sandstone samples with bedding planes perpendicular to the height (Per samples), internal water migration lagged behind superficial water migration and was longer in sandstones with well-developed beddings, such as the case of Sample A2, for which the time lag was as large as 280min. Based on a combination of observations of the sandstone structure at pore scale and layer scale with results calculated from the Lucas–Washburn equation, we propose the concept of the representative pore-structure element (RPE). Based on analysis on water migration in RPEs, we suggest that the effects of the layer structure on capillary imbibition in sandstone are embedded in the different water migration modes in Par (samples with bedding planes parallel to the height) and Per samples. The water migration mode in Par samples can be simplified as primary upward intra-layer migration followed by intra-layer horizontal migration, while that in Per samples is primary intra-layer horizontal migration followed by intra-layer upward migration. Full article
(This article belongs to the Special Issue Landslides and Sediment Disasters Prevention)
Show Figures

Figure 1

10 pages, 3785 KB  
Communication
Micro-Volume Blood Separation Membrane for In-Situ Biosensing
by Qin Zhu, Huimin Wu, Zhen Ma, Yuqiao Liu, Junmin Li, Ling Zhu, Xinran Zhang, Chengcheng Wang, Dajing Chen and Danhua Zhu
Biosensors 2022, 12(9), 712; https://doi.org/10.3390/bios12090712 - 2 Sep 2022
Cited by 3 | Viewed by 3493
Abstract
In this paper, we report a point-of-care (POCT) testing strip based on a porous membrane structure for whole blood separation and colorimetric analysis without external supporting equipment. Conventional blood tests rely on large instruments for blood pretreatment and separation to improve measurement accuracy. [...] Read more.
In this paper, we report a point-of-care (POCT) testing strip based on a porous membrane structure for whole blood separation and colorimetric analysis without external supporting equipment. Conventional blood tests rely on large instruments for blood pretreatment and separation to improve measurement accuracy. Cellulose acetate (CA) membranes with different pore diameters and structures were prepared via a non-solvent method for the separation of whole blood. Among them, CA@PEG-2000 membranes with nano-pores on the surface and micro-pores in the interior facilitated the capture of blood cells on the surface, as well as the free diffusion of plasma through the porous interior structure. The fluid flow of blood in the asymmetric porous structure can be theoretically estimated using the Lucas-Washburn equation. Compared with the conventional paper strips and other porous membranes, the CA@PEG-2000 membrane with an immobilized sensing layer exhibited efficient blood separation, a short response time (less than 2 min), an ultralow dosage volume (5 μL), and high sensitivity. The fabricated blood separation membranes can be further used for the detection of various biomarkers in whole blood, providing additional options for rapid quantitative POCT tests. Full article
(This article belongs to the Special Issue Advances in Nanoporous Materials for Biosensing Applications)
Show Figures

Figure 1

17 pages, 3964 KB  
Article
Moisture Transport of Axial-Compression-Damaged Mortar and Concrete in Atmospheric Environment
by Yong Zhou, Weiping Zhang, Fei Tong and Xianglin Gu
Materials 2022, 15(16), 5498; https://doi.org/10.3390/ma15165498 - 10 Aug 2022
Cited by 1 | Viewed by 1763
Abstract
The moisture transport of axial-compression-damaged mortar and concrete was experimentally and analytically studied in this paper. Five stress levels, i.e., 25%, 40%, 55%, 70%, and 85%, of the corresponding ultimate compressive strengths were selected for mortar and concrete specimens with the water cement [...] Read more.
The moisture transport of axial-compression-damaged mortar and concrete was experimentally and analytically studied in this paper. Five stress levels, i.e., 25%, 40%, 55%, 70%, and 85%, of the corresponding ultimate compressive strengths were selected for mortar and concrete specimens with the water cement ratio (w/c) of 0.5. Porosities and sorptivities of mortar or concrete before and after axial compression were measured and compared. Based on the Lucas–Washburn equation on absorption, the relationship between sorptivity and pore size distribution as well as porosity was established. A damage-representative radius was proposed to simply quantify the variation of pore characteristics of damaged mortar and concrete, and the moisture transport of axial-compression-damaged mortar and concrete could be predicted by summing the contributions to water absorption from the original pore system and the pore-equivalent microcrack system. It is shown that the porosities of mortar and concrete only slightly increase with the damage level, but the sorptivities are sensitive to axial compression damage, i.e., increasing nearly monotonically with the stress level from 0.3326 to 0.3533 mm/min0.5 for damaged mortar specimens (w/c = 0.5) and from 0.1970 to 0.2226 mm/min0.5 for damaged concrete specimens (w/c = 0.5). The increase trend became more apparent for both materials after a threshold of 40–55% of the corresponding ultimate compressive strengths, which is within the service load of structures, indicating that damage should be considered for chloride ions and water transport in concrete in the tidal zone. The predicted moisture diffusivities of damaged mortar and concrete show marginal difference from those of sound materials because the damage-representative radius could be underestimated due to elastic recovery of materials after unloading. Full article
(This article belongs to the Section Construction and Building Materials)
Show Figures

Figure 1

11 pages, 3849 KB  
Article
Imbibition of Newtonian Fluids in Paper-like Materials with the Infinitesimal Control Volume Method
by Kui Song, Ruijie Huang and Xiaoling Hu
Micromachines 2021, 12(11), 1391; https://doi.org/10.3390/mi12111391 - 12 Nov 2021
Cited by 6 | Viewed by 2651
Abstract
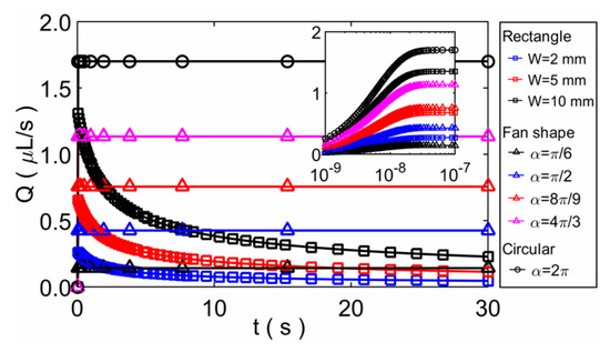
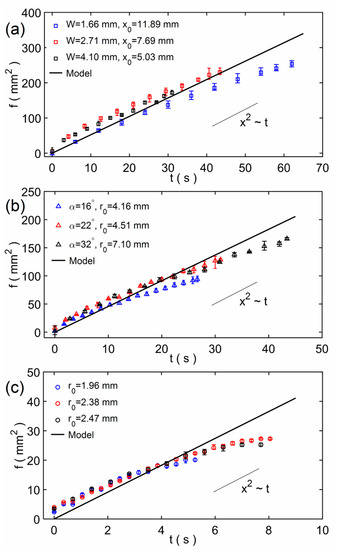
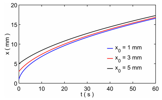
Paper-based microfluidic devices are widely used in point-of-care testing applications. Imbibition study of paper porous media is important for fluid controlling, and then significant to the applications of paper-based microfluidic devices. Here we propose an analytical approach based on the infinitesimal control volume [...] Read more.
Paper-based microfluidic devices are widely used in point-of-care testing applications. Imbibition study of paper porous media is important for fluid controlling, and then significant to the applications of paper-based microfluidic devices. Here we propose an analytical approach based on the infinitesimal control volume method to study the imbibition of Newtonian fluids in commonly used paper-like materials. Three common paper shapes (rectangular paper strips, fan-shaped and circular paper sheets) are investigated with three modeling methods (corresponding to equivalent tiny pores with circle, square and regular triangle cross section respectively). A model is derived for liquid imbibition in rectangular paper strips, and the control equations for liquid imbibition in fan-shaped and circular paper sheets are also derived. The model is verified by imbibition experiments done using the mixed cellulose ester filter paper and pure water. The relation of imbibition distance and time is similar to that of the Lucas−Washburn (L−W) model. In addition, a new porosity measurement method based on the imbibition in circular paper sheets is proposed and verified. Finally, the flow rates are investigated. This study can provide guidance for the design of different shapes of paper, and for better applications of paper-based microfluidic devices. Full article
Show Figures

Figure 1

18 pages, 4136 KB  
Article
Spontaneous Imbibition in a Fractal Network Model with Different Wettabilities
by Shaobin Cai, Li Zhang, Lixin Kang, Yongfei Yang, Wenlong Jing, Lei Zhang, Chao Xu, Hai Sun and Mozhdeh Sajjadi
Water 2021, 13(17), 2370; https://doi.org/10.3390/w13172370 - 29 Aug 2021
Cited by 5 | Viewed by 3075
Abstract
In this work, we derived a mathematical model for spontaneous imbibition in a Y-shaped branching network model. The classic Lucas–Washburn equation was used for modeling the imbibition process occurring in the Y-shape model. Then, a mathematical model for the Newtonian fluid’s imbibition was [...] Read more.
In this work, we derived a mathematical model for spontaneous imbibition in a Y-shaped branching network model. The classic Lucas–Washburn equation was used for modeling the imbibition process occurring in the Y-shape model. Then, a mathematical model for the Newtonian fluid’s imbibition was derived to reveal the relationship between dimensionless imbibition time and length ratio, radius ratio, and wetting strength. The dimensionless imbibition time in the model was adopted to compare with that of the capillary bundle model. Different length and radius ratios were considered in the adjacent two-stage channels, and different wettabilities were considered in the different branches. The optimal radius ratio, length ratio, and wetting strength were calculated under the condition of the shortest imbibition time. In addition, the shortest dimensionless imbibition time of the three-stage Y-shaped branching network model was calculated when the wettability changes randomly. The results indicate that the imbibition time changed mostly when the wettability of the second branch changed, and the second branch was the most sensitive to wettability in the model. Full article
Show Figures

Figure 1

Back to TopTop