Composite Beams Made of Waste Wood-Particle Boards, Fastened to Solid Timber Frame by Dowel-Type Fasteners
Abstract
1. Introduction
1.1. Research Background with Short Literature Overview on Composite Timber Beams
1.2. Motivation for Development of the Presented Designed Composite Timber Beams
1.3. Research Study
2. Materials and Methods
2.1. The Developed Design Concept of the Composite Timber Beams with Material Characterization and Structural Details
2.1.1. The Developed Design Concepts of the Composite Timber Beams
2.1.2. Materials Characterization
2.1.3. Structural Details
2.2. Experimental Tests
3. Results and Discussion
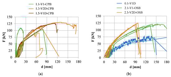
3.1. Damage Mechanisms
3.2. Bending Load-Bearing Capacity, Stiffness, Creep, and Relaxation
3.3. Comparison of the Results and Discussion
4. Conclusions
4.1. Summary of Research and Development Study with Main Results
- -
- For beams with the “basic” timber frame (with flanges, stiffeners, and no diagonals), beams with OSB webs prove a higher load-bearing capacity than beams with cement-particle board webs. The reasons for this are better mechanical characteristics of OSBs compared to cement-particle boards, which enable the beneficial failure mechanism of beams with OSBs with no cracking of the webs, allowing the beams to realize their full bending resistance potential with failure of the bottom flange.
- -
- The use of 16 mm cement-particle boards is in comparison to the use of 22 mm OSBs (and both corresponding connections) beneficial in terms of achieving higher bending stiffness. A higher stiffness can be attributed to the greater slip modulus of the used cement-particle board–timber connections by staples than OSB–timber connections by nails.
- -
- Adding compressive diagonals to the timber frame enables the beams with cement-particle boards to achieve a similar bending load-bearing capacity as obtained for beams with OSBs. For the latter, the diagonals increase the bending stiffness.
- -
- For the tested height of the beams and the production technology of the manufacturer available, the load-bearing capacity increase for beams with cement-particle boards or the bending stiffness increase for beams with OSBs in the case of added timber diagonals does not justify the additional costs for their production.
4.2. Possible Applications and Future Development
Author Contributions
Funding
Institutional Review Board Statement
Informed Consent Statement
Data Availability Statement
Acknowledgments
Conflicts of Interest
References
- Robins, J.G. The Wooden Wonder: A Short History of the Wooden Aeroplane; J. Bartholomew & Sons Ltd.: Edinburgh, UK, 1987. [Google Scholar]
- McNatt, J.D. Hardboard-Webbed Beams: Research and Application. For. Prod. J. 1980, 30, 57–64. [Google Scholar]
- Franke, S.; Franke, B.; Harte, A.M. Failure Modes and Reinforcement Techniques for Timber Beams—State of the Art. Constr. Build. Mater. 2015, 97, 2–13. [Google Scholar] [CrossRef]
- United States International Trade Commission. Conditions of Competition in the U.S. Market for Wood Structural Building Components, Volume 3596, Investigation No. 332-445; USITC: Washington, DC, USA, 2003.
- Jahromi, A.; Zhang, B.; Harte, A.; Walford, B.; Bayne, K.; Turner, J. Investigating the Structural Performance of Multi-Webs I-Beams. J. Inst. Wood Sci. 2006, 17, 148–158. [Google Scholar] [CrossRef]
- Leichti, R.J.; Falk, R.H.; Laufenberg, T.L. Others Prefabricated Wood I-Joists: An Industry Overview. For. Prod. J. 1990, 40, 15–20. [Google Scholar]
- Mascia, N.T.; de Oliveira Santana, C.L. Remarks on the Slip Modulus of Nailed Connections for Linear Analysis of Plywood Timber Beams. Constr. Build. Mater. 2009, 23, 2731–2737. [Google Scholar] [CrossRef]
- Girhammar, U.A.; Pan, D.H. Exact Static Analysis of Partially Composite Beams and Beam-Columns. Int. J. Mech. Sci. 2007, 49, 239–255. [Google Scholar] [CrossRef]
- Hoyle, R.J. Design of Composite Beams. In Wood: Engineering Design Concepts; Freas, A.D., Moody, R.C., Soltis, L.A., Eds.; Pennsylvania State University: University Park, PA, USA, 1986; pp. 227–289. [Google Scholar]
- Leichti, R.J.; Falk, R.H.; Laufenberg, T.L. Prefabricated Wood Composite I-Beams: A Literature Review. Wood Fiber Sci. 1990, 22, 62–79. [Google Scholar]
- Chen, G.; Tan, C.; Yang, W.; Wu, J.; Zhou, T.; Jiang, H.; Zhang, Y. Wood I-Joists with Web Holes and Flange Notches: A Literature Review. J. Build. Eng. 2021, 38, 102224. [Google Scholar] [CrossRef]
- Yeoh, D.; Fragiacomo, M.; Franceschi, M.D.; Boon, K.H. State of the Art on Timber-Concrete Composite Structures: Literature Review. J. Struct. Eng. 2011, 137, 1085–1095. [Google Scholar] [CrossRef]
- Dias, A.; Skinner, J.; Crews, K.; Tannert, T. Timber-Concrete-Composites Increasing the Use of Timber in Construction. European J. Wood Wood Prod. 2016, 74, 443–451. [Google Scholar] [CrossRef]
- Cui, K.; Liang, K.; Chang, J.; Lau, D. Investigation of the Macro Performance, Mechanism, and Durability of Multiscale Steel Fiber Reinforced Low-Carbon Ecological UHPC. Constr. Build. Mater. 2022, 327, 126921. [Google Scholar] [CrossRef]
- Churkina, G.; Organschi, A.; Reyer, C.P.O.; Ruff, A.; Vinke, K.; Liu, Z.; Reck, B.K.; Graedel, T.E.; Schellnhuber, H.J. Buildings as a Global Carbon Sink. Nat. Sustain. 2020, 3, 269–276. [Google Scholar] [CrossRef]
- Skullestad, J.L.; Bohne, R.A.; Lohne, J. High-Rise Timber Buildings as a Climate Change Mitigation Measure—A Comparative LCA of Structural System Alternatives. Energy Procedia 2016, 96, 112–123. [Google Scholar] [CrossRef]
- Graham, P. Design for Adaptability—An Introduction to the Principles and Basic Strategies; Environment Design Guide; Royal Australian Institute of Architects: Sydney, Australia, 2005; pp. 1–9. [Google Scholar]
- Crowther, P. Design for Disassembly–Themes and Principles; Environment Design Guide; Royal Australian Institute of Architects: Sydney, Australia, 2005; pp. 1–7. [Google Scholar]
- Kržan, M.; Pazlar, T.; Ber, B. Improved Seismic Response of Light-Frame-Timber Panels with Cement-Particle-Board Sheathing of Various Thicknesses and Different Configurations of Fasteners. Eng. Struct. 2022, 253, 113757. [Google Scholar] [CrossRef]
- BetonWood Description of Application Technology Cement Bonded Chipboards BetonWood 2012. Available online: http://www.betonradiant.com/pdf/Catalogue-cement-bonded-particle-board-BetonWood.pdf (accessed on 17 December 2019).
- CEN EN 300:2006; Oriented Strand Boards (OSB)—Definitions, Classification and Specifications. European Committee for Standardization: Brussels, Belgium, 2006.
- CEN EN 13986:2005+A1:2015; Wood-Based Panels for Use in Construction—Characteristics, Evaluation of Conformity and Marking. European Committee for Standardization: Brussels, Belgium, 2015.
- Egger: Declaration of Performance, DOP-730-01 2015. Available online: https://www.google.com/url?sa=t&rct=j&q=&esrc=s&source=web&cd=&ved=2ahUKEwj87smS_uP9AhWkCBAIHZ_WBBUQFnoECAYQAQ&url=https%3A%2F%2Fwww.egger.com%2Fget_download%2F7334d06c-c0e9-4af3-82f8-ece222f1885f%2FEGGER-OSB3-DOP-730-en.pdf&usg=AOvVaw03kHICiv_D_h-qGiOO6hLY (accessed on 17 March 2023).
- FALCO Declaration of Performance. 2019. Available online: http://www.betonyp.cz/dokumenty/420.pdf (accessed on 17 March 2023).
- ETA-16/0535; Haubold Staples d = 1,53–1,80–2,00 mm Fasteners for Timber Constructions for Long Term or Permanent Load Duration Withdrawal Capacity. ITW Befestigungssysteme GmbH: Hemmingen, Germany, 2019; 1.
- ETA-04/0013; CNA Connector Nails and CSA Connector Screws; Nails and Screws for Use in Nailing Plates in Timber Structures. Simpson Strong-Tie Int. Ltd.: Staffordshire, UK, 2019.
- Kržan, M.; Pazlar, T.; Grašič, I.; Ber, B. Experimental Tests of Cement-Particle-Sheathing-to-Timber Connections with Staples. In Proceedings of the Proceedings WCTE, Santiago, Chile, 24–27 August 2020. [Google Scholar]
- CEN EN 1995-1-1:2004; Eurocode 5: Design of Timber Structures—Part 1-1: General—Common Rules and Rules for Buildings. European Committee for Standardization: Brussels, Belgium, 2004.
- ETA-12/0373; 03.11.2017: Schmid Screws RAPID®, STARDRIVE and SP. Österreichisches Institut für Bautechnik: Vienna, Austria, 2017.
- CEN EN 13377:2002; Prefabricated Timber Formwork Beams—Requirements, Classification and Assessment. European Committee for Standardization: Brussels, Belgium, 2002.
- CEN EN 408:2010; Timber Structures—Structural Timber and Glued Laminated Timber—Determination of Some Physical and Mechanical Properties. European Committee for Standardization: Brussels, Belgium, 2010.
- CEN EN 595:1995; Timber Structures—Test Methods—Test of Trusses for the Determination of Strength and Deformation Behaviour. European Committee for Standardization: Brussels, Belgium, 1995.
- Seim, W.; Kramar, M.; Pazlar, T.; Vogt, T. OSB and GFB As Sheathing Materials for Timber-Framed Shear Walls: Comparative Study of Seismic Resistance. J. Struct. Eng. 2016, 142, E4015004. [Google Scholar] [CrossRef]
- CEN EN 1990:2002; Eurocode—Basis of Structural Design. European Committee for Standardization: Brussels, Belgium, 2002.










| Beam Variation | Type of Boards | Board–Timber Connection | Stiffener–Flange Joint | Timber Frame Diagonals | No. of Specimens | Loading Protocol * |
|---|---|---|---|---|---|---|
| 0.1-V1D | / | / | Joint 2 | Yes | 3 | a, a, b |
| 1.1-V1-CPB | CPB | Staples | Joint 1 | No | 3 | a, a, b |
| 1.3-V2D-CPB | CPB | Staples | Joint 2 | Yes | 3 | a, a, b |
| 1.5-V1D-CPB | CPB | Staples | Joint 1 | Yes | 3 | a, a, b |
| 2.1-V1-OSB | OSB | Nails | Joint 1 | No | 3 | a, a, b |
| 2.3-V2D-OSB | OSB | Nails | Joint 2 | Yes | 3 | a, a, b |
| Beam Variation | Specimen No. | Fmax (kN) | dFmax (mm) | d0.1 (mm) | k0.1–0.4 (kN/mm) | k0.4–0.9 (kN/mm) |
|---|---|---|---|---|---|---|
| 0.1-V1D | 1 | 71.7 | 145.9 | 4.1 | 1.52 | 0.43 |
| 2 * | 74.0 | 185.8 | 7.7 | 1.30 | 0.33 | |
| 3 | 78.7 | 116.1 | 10.3 | 1.49 | 0.45 | |
| 1.1-V1-CPB | 1 | 83.4 | 49.5 | 1.6 | 4.29 | 1.66 |
| 2 * | 109.1 | 15.0 | 0.5 | 29.5 | 9.11 | |
| 3 | 103.7 | 79.7 | 2.7 | 3.40 | 1.30 | |
| 1.3-V2D-CPB | 1 | 130.4 | 128.3 | 3.4 | 5.00 | 1.09 |
| 2 * | 99.7 | 53.1 | 2.3 | 4.96 | 2.23 | |
| 3 | 108.7 | 69.9 | 2.5 | 4.47 | 1.58 | |
| 1.5-V1D-CPB | 1 | 113.8 | 73.3 | 2.9 | 3.32 | 1.47 |
| 2 * | 126.5 | 113.5 | 2.9 | 3.72 | 1.37 | |
| 3 | 121.2 | 90.0 | 2.7 | 3.63 | 1.38 | |
| 2.1-V1-OSB | 1 | 121.8 | 154.4 | 3.4 | 5.57 | 0.77 |
| 2 * | 120.2 | 167.1 | 14.2 | 4.47 | 0.69 | |
| 3 | 116.1 | 132.8 | 3.2 | 4.84 | 1.67 | |
| 2.3-V2D-OSB | 1 | 125.1 | 97.0 | 3.2 | 3.36 | 1.08 |
| 2 * | 118.1 | 88.9 | 3.1 | 3.72 | 1.20 | |
| 3 | 121.7 | 92.5 | 3.4 | 4.02 | 1.15 |
| Beam Variation | Fmax (kN) | dFmax (mm) | d0.1 (mm) | k0.1–0.4 (kN/mm) | k0.4–0.9 (kN/mm) |
|---|---|---|---|---|---|
| 0.1-V1D | 74.8 | 149.3 | 7.3 | 1.44 | 0.40 |
| (3.9%) | (19.1%) | (34.6%) | (6.9%) | (13.5%) | |
| 1.1-V1-CPB * | 98.7 | 64.6 | 1.6 * | 3.85* | 1.48 * |
| (11.2%) | (23.3%) | (53.6%) | (11.6%) | (12.3%) | |
| 1.3-V2D-CPB | 112.9 | 83.7 | 2.7 | 3.56 | 1.33 |
| (11.4%) | (38.5%) | (18.0%) | (4.8%) | (35.0%) | |
| 1.5-V1D-CPB | 120.5 | 92.3 | 2.8 | 3.70 | 1.41 |
| (14.3%) | (17.9%) | (4.6%) | (7.3%) | (3.4%) | |
| 2.1-V1-OSB | 119.4 | 151.4 | 6.9 | 2.03 | 1.05 |
| (2.0%) | (9.3%) | (73.9%) | (28.7%) | (42.6%) | |
| 2.3-V2D-OSB | 121.6 | 92.8 | 3.2 | 2.98 | 1.14 |
| (2.4%) | (3.6%) | (4.5%) | (4.0%) | (4.0%) |
| Beam Variation | My,m (kNm) | My,k (kNm) | EI (kNm2) |
|---|---|---|---|
| 0.1-V1D | 46.8 | 41.0 | 2341 |
| 1.1-V1-CPB | 61.7 | 39.9 | 6260 |
| 1.3-V2D-CPB | 70.6 | 45.3 | 5656 |
| 1.5-V1D-CPB | 75.3 | 65.1 | 6020 |
| 2.1-V1-OSB | 74.6 | 69.8 | 3298 |
| 2.3-V2D-OSB | 76.0 | 70.4 | 4851 |
Disclaimer/Publisher’s Note: The statements, opinions and data contained in all publications are solely those of the individual author(s) and contributor(s) and not of MDPI and/or the editor(s). MDPI and/or the editor(s) disclaim responsibility for any injury to people or property resulting from any ideas, methods, instructions or products referred to in the content. |
© 2023 by the authors. Licensee MDPI, Basel, Switzerland. This article is an open access article distributed under the terms and conditions of the Creative Commons Attribution (CC BY) license (https://creativecommons.org/licenses/by/4.0/).
Share and Cite
Kržan, M.; Pazlar, T.; Ber, B. Composite Beams Made of Waste Wood-Particle Boards, Fastened to Solid Timber Frame by Dowel-Type Fasteners. Materials 2023, 16, 2426. https://doi.org/10.3390/ma16062426
Kržan M, Pazlar T, Ber B. Composite Beams Made of Waste Wood-Particle Boards, Fastened to Solid Timber Frame by Dowel-Type Fasteners. Materials. 2023; 16(6):2426. https://doi.org/10.3390/ma16062426
Chicago/Turabian StyleKržan, Meta, Tomaž Pazlar, and Boštjan Ber. 2023. "Composite Beams Made of Waste Wood-Particle Boards, Fastened to Solid Timber Frame by Dowel-Type Fasteners" Materials 16, no. 6: 2426. https://doi.org/10.3390/ma16062426
APA StyleKržan, M., Pazlar, T., & Ber, B. (2023). Composite Beams Made of Waste Wood-Particle Boards, Fastened to Solid Timber Frame by Dowel-Type Fasteners. Materials, 16(6), 2426. https://doi.org/10.3390/ma16062426

