Effect of Different Decontamination Methods on Fracture Resistance, Microstructure, and Surface Roughness of Zirconia Restorations—In Vitro Study
Abstract
1. Introduction
Aim of the Study
2. Materials and Methods
2.1. Sample Size Calculation
2.2. Sample Preparation
2.3. Fracture Resistance
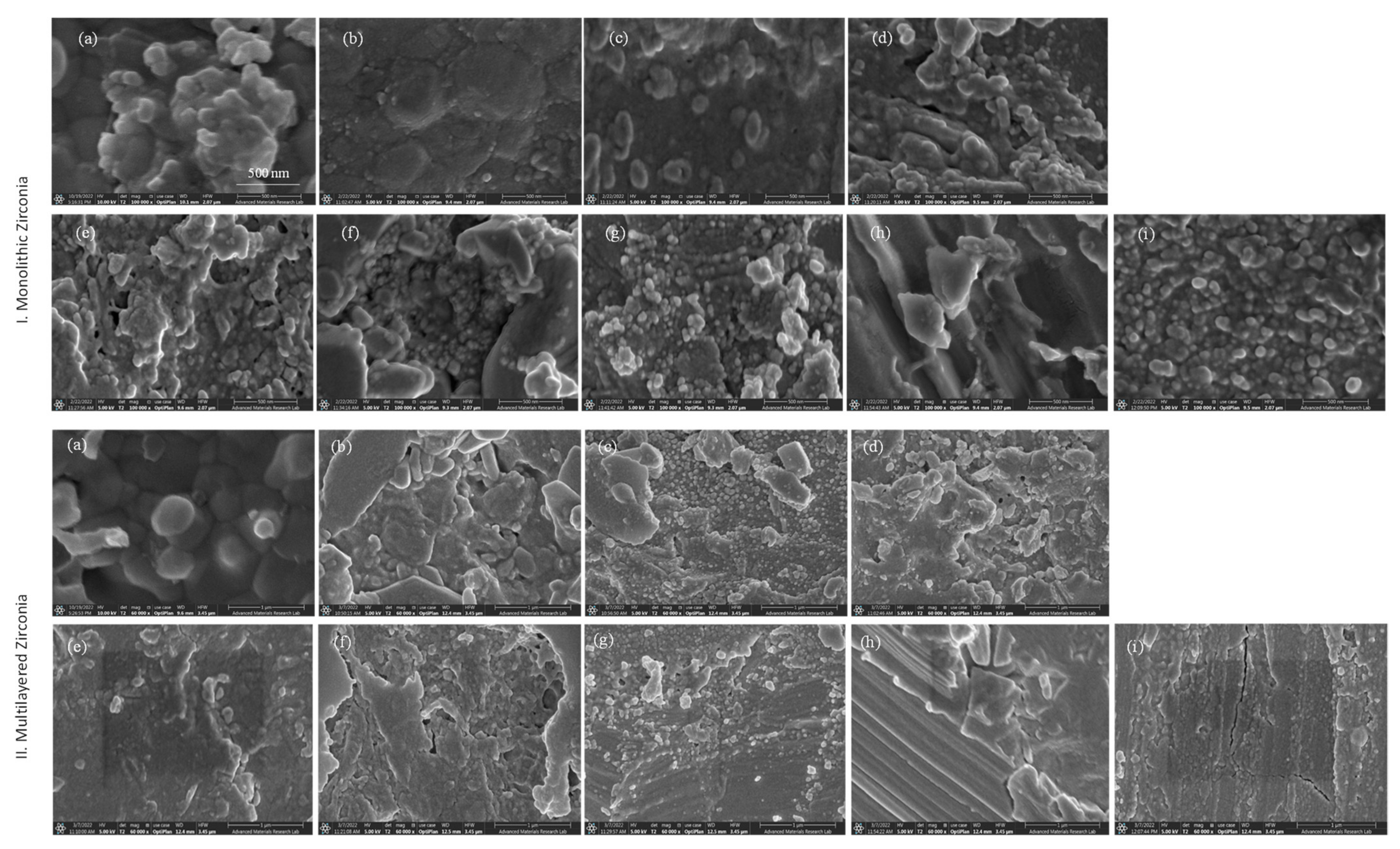
2.4. Microstructure
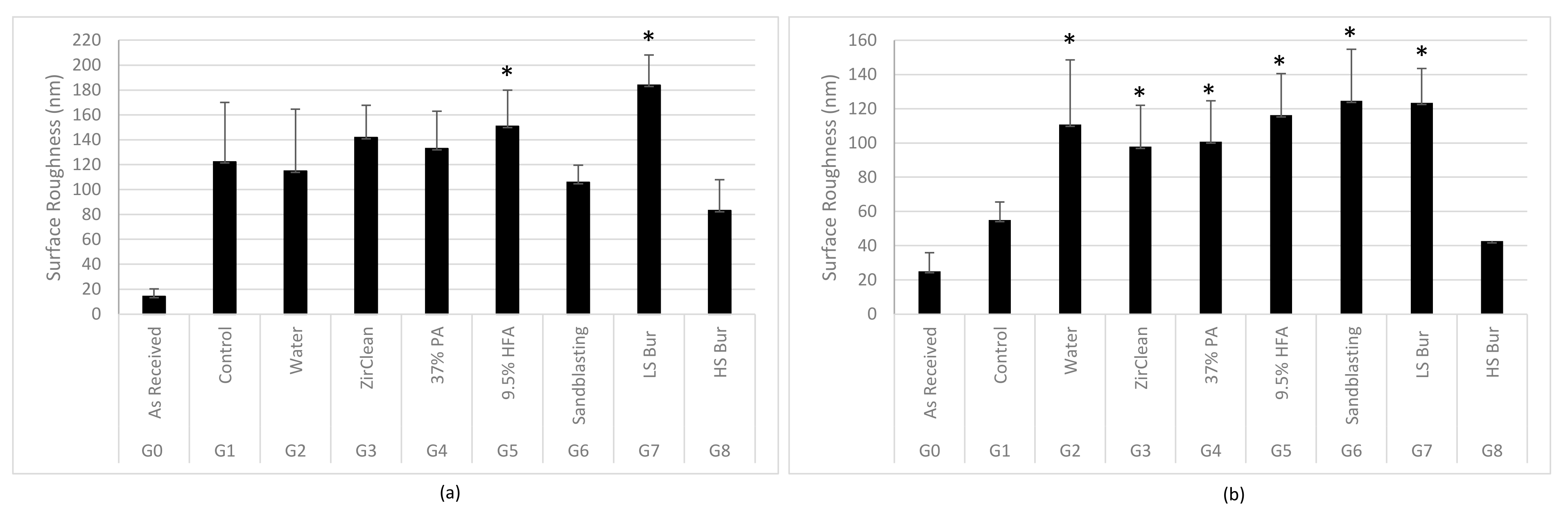
2.5. Surface Roughness (Ra)
2.6. Statistical Analysis
3. Results
3.1. Fracture Resistance
3.2. Microstructure
3.3. Surface Roughness (Ra)
4. Discussion
5. Conclusions
Author Contributions
Funding
Institutional Review Board Statement
Informed Consent Statement
Data Availability Statement
Acknowledgments
Conflicts of Interest
References
- Urapepon, S.; Taenguthai, P. The effect of zirconia framework design on the failure of all-ceramic crown under static loading. J. Adv. Prosthodont. 2015, 7, 146–150. [Google Scholar] [CrossRef]
- Preis, V.; Behr, M.; Hahnel, S.; Handel, G.; Rosentritt, M. In vitro failure and fracture resistance of veneered and full-contour zirconia restorations. J. Dent. 2012, 40, 921–928. [Google Scholar] [CrossRef] [PubMed]
- Zhang, Y.; Lawn, B. Novel Zirconia Materials in Dentistry. J. Dent. Res. 2017, 97, 140–147. [Google Scholar] [CrossRef] [PubMed]
- Zhang, Y. Making yttria-stabilized tetragonal zirconia translucent. Dent. Mater. 2014, 30, 1195–1203. [Google Scholar] [CrossRef]
- Kolakarnprasert, N.; Kaizer, M.R.; Kim, D.K.; Zhang, Y. New multi-layered zirconias: Composition, microstructure and translucency. Dent. Mater. 2019, 35, 797–806. [Google Scholar] [CrossRef] [PubMed]
- Rinke, S.; Fischer, C. Range of indications for translucent zirconia modifications: Clinical and technical aspects. Quintessence Int. 2013, 44, 557–566. [Google Scholar] [CrossRef]
- Stawarczyk, B.; Keul, C.; Eichberger, M.; Figge, D.; Edelhoff, D.; Lümkemann, N. Three generations of zirconia: From veneered to monolithic. Part I. Quintessence Int. 2017, 48, 369–380. [Google Scholar]
- Vagkopoulou, T.; Koutayas, S.O.; Koidis, P.; Strub, J.R. Zirconia in dentistry: Part 1. Discovering the nature of an upcoming bioceramic. Eur. J. Esthet. Dent. 2009, 4, 130–151. [Google Scholar]
- Smielak, B.; Klimek, L. Effect of hydrofluoric acid concentration and etching duration on select surface roughness parameters for zirconia. J. Prosthet. Dent. 2015, 113, 596–602. [Google Scholar] [CrossRef]
- Vilas Boas Fernandes Júnior, V.; Barbosa Dantas, D.C.; Bresciani, E.; Rocha Lima Huhtala, M.F. Evaluation of the bond strength and characteristics of zirconia after different surface treatments. J. Prosthet. Dent. 2018, 120, 955–959. [Google Scholar] [CrossRef]
- Rafie, M. Assessment of different surface treatments effect on surface roughness of zirconia and its shear bond strength to human dentin. Life Sci. J. 2012, 9, 1792–1803. [Google Scholar]
- Scaminaci Russo, D.; Cinelli, F.; Sarti, C.; Giachetti, L. Adhesion to zirconia: A systematic review of current conditioning methods and bonding materials. Dent. J. 2019, 7, 74. [Google Scholar] [CrossRef]
- Qeblawi, D.M.; Muñoz, C.A.; Brewer, J.D.; Monaco, E.A., Jr. The effect of zirconia surface treatment on flexural strength and shear bond strength to a resin cement. J. Prosthet. Dent. 2010, 103, 210–220. [Google Scholar] [CrossRef] [PubMed]
- Gonzaga, L.H.; Arora, H.; Martin, W.C. The effect of cleaning procedures on the bond strength of ceramic surfaces contaminated with saliva and try-in paste. Stomatol. EDU J. 2019, 6, 18–23. [Google Scholar] [CrossRef] [PubMed]
- Chougule, K.J.; Wadkar, A.P. An in vitro comparative evaluation of flexural strength of monolithic zirconia after surface alteration utilising two different techniques. J. Clin. Diagn. Res. 2017, 11, ZC20–ZC23. [Google Scholar] [CrossRef] [PubMed]
- Neshandar Asli, H.; Rahimabadi, S.; Falahchai, M. Flexural strength of monolithic zirconia after different surface treatments. World J. Dent. 2019, 10, 264–269. [Google Scholar] [CrossRef]
- Yang, B.; Lange-Jansen, H.; Scharnberg, M.; Wolfart, S.; Ludwig, K.; Adelung, R.; Kern, M. Influence of saliva contamination on zirconia ceramic bonding. Dent. Mater. 2008, 24, 508–513. [Google Scholar] [CrossRef]
- Sulaiman, T.A.; Altak, A.; Abdulmajeed, A.; Rodgers, B.; Lawson, N. Cleaning Zirconia Surface Prior To Bonding: A Comparative Study of Different Methods and Solutions. J. Prosthodont. 2021, 31, 239–244. [Google Scholar] [CrossRef]
- Angkasith, P.; Burgess, J.O.; Bottino, M.C.; Lawson, N.C. Cleaning Methods for Zirconia Following Salivary Contamination. J. Prosthodont. 2016, 25, 375–379. [Google Scholar] [CrossRef] [PubMed]
- Kim, D.-H.; Son, J.-S.; Jeong, S.-H.; Kim, Y.-K.; Kim, K.-H.; Kwon, T.-Y. Efficacy of various cleaning solutions on saliva-contaminated zirconia for improved resin bonding. J. Adv. Prosthodont. 2015, 7, 85–92. [Google Scholar] [CrossRef]
- Adil Fayaz, S.K.B.; Bhat, M.M.; Bashir, A. Effect of 37% phosphoric acid etchant on surface topography of zirconia crowns—An in vitro study. Ann. Int. Med. Dent. Res. 2020, 6, 1–4. [Google Scholar]
- Keshmiri, N.; Alaghehmand, H.; Mokhtarpour, F. Effect of Hydrofluoric Acid Surface Treatments on Surface Roughness and Three-Point Flexural Strength of Suprinity Ceramic. Front. Dent. 2020, 17, 1–7. [Google Scholar] [CrossRef] [PubMed]
- Xie, H.; Shen, S.; Qian, M.; Zhang, F.; Chen, C.; Tay, F. Effects of Acid Treatment on Dental Zirconia: An In Vitro Study. PLoS ONE 2015, 10, e0136263. [Google Scholar] [CrossRef]
- Flamant, Q.; Anglada, M. Hydrofluoric acid etching of dental zirconia. Part 2: Effect on flexural strength and ageing behavior. J. Eur. Ceram. Soc. 2016, 36, 135–145. [Google Scholar] [CrossRef]
- Kim, H.-K.; Ahn, B. Effect of Al2O3 Sandblasting Particle Size on the Surface Topography and Residual Compressive Stresses of Three Different Dental Zirconia Grades. Materials 2021, 14, 610. [Google Scholar] [CrossRef]
- Ozcan, M. Air abrasion of zirconia resin-bonded fixed dental prostheses prior to adhesive cementation: Why and how? J. Adhes. Dent. 2013, 15, 394. [Google Scholar]
- Pereira, G.; Silvestri, T.; Camargo, R.; Rippe, M.; Amaral, M.; Kleverlaan, C.; Valandro, L. Mechanical behavior of a Y-TZP ceramic for monolithic restorations: Effect of grinding and low-temperature aging. Mater. Sci. Eng. C Mater. Biol. Appl. 2016, 63, 70–77. [Google Scholar] [CrossRef]
- Guazzato, M.; Albakry, M.; Ringer, S.P.; Swain, M.V. Strength, fracture toughness and microstructure of a selection of all-ceramic materials. Part II. Zirconia-based dental ceramics. Dent. Mater. 2004, 20, 449–456. [Google Scholar] [CrossRef] [PubMed]
- Franz, A.; Winkler, O.; Lettner, S.; Öppinger, S.; Hauser, A.; Haidar, M.; Moritz, A.; Watts, D.C.; Schedle, A. Optimizing the fitting-surface preparation of zirconia restorations for bonding to dentin. Dent. Mater. 2021, 37, 464–476. [Google Scholar] [CrossRef]
- Candido, L.; Miotto, L.; Fais, L.; Cesar, P.; Pinelli, L. Mechanical and Surface Properties of Monolithic Zirconia. Oper. Dent. 2018, 43, E119–E128. [Google Scholar] [CrossRef]
- Zhao, P.; Yu, P.; Xiong, Y.; Yue, L.; Arola, D.; Gao, S. Does the bond strength of highly translucent zirconia show a different dependence on the airborne-particle abrasion parameters in comparison to conventional zirconia? J. Prosthodont. Res. 2020, 64, 60–70. [Google Scholar] [CrossRef] [PubMed]
- Giti, R.; Abbasi, B. The Effect of Translucency and Surface Treatment on the Flexural Strength of Aged Monolithic Zirconia. Int. J. Dent. 2021, 2021, 8022430. [Google Scholar] [CrossRef]
- Maruo, Y.; Yoshihara, K.; Irie, M.; Nishigawa, G.; Nagaoka, N.; Matsumoto, T.; Minagi, S. Flexural properties, bond ability, and crystallographic phase of highly translucent multi-layered zirconia. J. Appl. Biomater. Funct. Mater. 2020, 18, 1–9. [Google Scholar] [CrossRef] [PubMed]
- Janda, R.; Roulet, J.-F.; Latta, M.; Rüttermann, S. The effects of thermocycling on the flexural strength and flexural modulus of modern resin-based filling materials. Dent. Mater. 2006, 22, 1103–1108. [Google Scholar] [CrossRef]
- Kim, S.-H.; Choi, Y.-S. Changes in properties of monolithic and conventional zirconia during aging process. Mech. Mater. 2019, 138, 103159. [Google Scholar] [CrossRef]





| Groups (Code) | Decontamination Method |
|---|---|
| G0 (As received) | As received |
| G1 (Control) | Sandblasted, uncontaminated |
| G2 (Water) | As G1, contaminated, and rinsed with tap water for 15 s then blow-dried for 15 s |
| G3 (ZirCleanTM) | As G1, contaminated, and cleaned with ZirCleanTM for 20 s, rinsed with tap water for 15 s, then blow-dried for 15 s |
| G4 (37% PA) | As G1, contaminated, and etched with 37% phosphoric acid gel for 30 s, rinsed with tap water for 15 s, then blow-dried for 15 s |
| G5 (9.5% HFA) | As G1, contaminated, and etched with 9.5% hydrofluoric acid for 30 s, rinsed with tap water for 15 s then blow-dried for 15 s |
| G6 (Sandblasting) | As G1, contaminated, and air-blasted with 50 μm Al2O3 at 2.5 bars for 15 s at a distance of 10 cm perpendicular to the surface |
| G7 (LS bur) | As G1, contaminated, and decontaminated with low-speed dental stone for 5 s |
| G8 (HS bur) | As G1, contaminated, and decontaminated high-speed dental stone for 5 s |
Disclaimer/Publisher’s Note: The statements, opinions and data contained in all publications are solely those of the individual author(s) and contributor(s) and not of MDPI and/or the editor(s). MDPI and/or the editor(s) disclaim responsibility for any injury to people or property resulting from any ideas, methods, instructions or products referred to in the content. |
© 2023 by the authors. Licensee MDPI, Basel, Switzerland. This article is an open access article distributed under the terms and conditions of the Creative Commons Attribution (CC BY) license (https://creativecommons.org/licenses/by/4.0/).
Share and Cite
Darwich, R.A.; Awad, M.; Abou Neel, E.A. Effect of Different Decontamination Methods on Fracture Resistance, Microstructure, and Surface Roughness of Zirconia Restorations—In Vitro Study. Materials 2023, 16, 2356. https://doi.org/10.3390/ma16062356
Darwich RA, Awad M, Abou Neel EA. Effect of Different Decontamination Methods on Fracture Resistance, Microstructure, and Surface Roughness of Zirconia Restorations—In Vitro Study. Materials. 2023; 16(6):2356. https://doi.org/10.3390/ma16062356
Chicago/Turabian StyleDarwich, Rama A., Manal Awad, and Ensanya A. Abou Neel. 2023. "Effect of Different Decontamination Methods on Fracture Resistance, Microstructure, and Surface Roughness of Zirconia Restorations—In Vitro Study" Materials 16, no. 6: 2356. https://doi.org/10.3390/ma16062356
APA StyleDarwich, R. A., Awad, M., & Abou Neel, E. A. (2023). Effect of Different Decontamination Methods on Fracture Resistance, Microstructure, and Surface Roughness of Zirconia Restorations—In Vitro Study. Materials, 16(6), 2356. https://doi.org/10.3390/ma16062356
