Mn- and Yb-Doped BaTiO3-(Na0.5Bi0.5)TiO3 Ferroelectric Relaxor with Low Dielectric Loss
Abstract
1. Introduction
2. Materials and Methods
3. Results and Discussions
3.1. Structural and Microstructural Study
3.2. Dielectric Relaxation
3.3. Impedance Analysis
3.4. Frequency Dependent εr′ and εr″
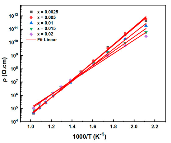
3.5. Resistivity
4. Conclusions
Author Contributions
Funding
Institutional Review Board Statement
Informed Consent Statement
Data Availability Statement
Conflicts of Interest
References
- Cross, L.E.; Jang, S.J.; Newnham, R.E.; Nomura, S.; Uchino, K. Large electrostrictive effects in relaxor ferroelectrics. Ferroelectrics 1980, 23, 187–191. [Google Scholar] [CrossRef]
- Leng, S.; Cheng, H.; Zhang, R.; Gao, C.; Li, Z. Electrical properties of La-Mn-codoped BaTiO3-(Bi0.5Na0.5)TiO3 lead-free PTCR ceramics. Ceram. Int. 2021, 47, 30963–30968. [Google Scholar] [CrossRef]
- Kumar, M.M.; Srinivas, K.; Suryanarayana, S.V. Relaxor behavior in BaTiO3. Appl. Phys. Lett. 2000, 76, 1330–1332. [Google Scholar] [CrossRef]
- Yang, H.; Bao, W.; Lu, Z.; Li, L.; Ji, H.; Huang, Y.; Xu, F.; Wang, G.; Wang, D. High-energy storage performance in BaTiO3-based lead-free multilayer ceramic capacitors. J. Mater. Res. 2021, 36, 1285–1294. [Google Scholar] [CrossRef]
- Semenov, A.; Dedyk, A.; Mylnikov, I.; Pakhomov, O.; Es’kov, A.; Anokhin, A.; Krylov, V.; Burovikhin, A.; Pavlova, Y.; Tselev, A.; et al. Mn-Doped BaTiO3 Ceramics: Thermal and Electrical Properties for Multicaloric Applications. Materials 2019, 12, 3592. [Google Scholar] [CrossRef]
- Wang, Y.; Chen, X.; Zhou, H.; Fang, L.; Liu, L.; Zhang, H. Evolution of phase transformation behavior and dielectric temperature stability of BaTiO3–Bi(Zn0.5Zr0.5)O3 ceramics system. J. Alloys Compd. 2013, 551, 365–369. [Google Scholar] [CrossRef]
- Jin, L.; Pang, J.; Jing, R.; Lan, Y.; Wang, L.; Li, F.; Hu, Q.; Du, H.; Guo, D.; Wei, X.; et al. Ultra-slim pinched polarization-electric field hysteresis loops and thermally stable electrostrains in lead-free sodium bismuth titanate-based solid solutions. J. Alloys Compd. 2019, 788, 1182–1192. [Google Scholar] [CrossRef]
- Lv, J.; Li, Q.; Li, Y.; Tang, M.; Jin, D.; Yan, Y.; Fan, B.; Jin, L.; Liu, G. Significantly improved energy storage performance of NBT-BT based ceramics through domain control and preparation optimization. Chem. Eng. J. 2021, 420, 129900. [Google Scholar] [CrossRef]
- Yang, Z.; Du, H.; Jin, L.; Hu, Q.; Qu, S.; Yang, Z.; Yu, Y.; Wei, X.; Xu, Z. A new family of sodium niobate-based dielectrics for electrical energy storage applications. J. Eur. Ceram. Soc. 2019, 39, 2899–2907. [Google Scholar] [CrossRef]
- Yu, Y.; Gao, F.; Weyland, F.; Du, H.; Jin, L.; Hou, L.; Yang, Z.; Novak, N.; Qu, S. Significantly enhanced room temperature electrocaloric response with superior thermal stability in sodium niobate-based bulk ceramics. J. Mater. Chem. A 2019, 7, 11665–11672. [Google Scholar] [CrossRef]
- Dittmer, R.; Jo, W.; Damjanovic, D.; Rödel, J. Lead-free high-temperature dielectrics with wide operational range. J. Appl. Phys. 2011, 109, 34107. [Google Scholar] [CrossRef]
- Ren, X.-H.; Gui, D.-Y. Structure and Dielectric Behavior of Yb2O3-MgO Co-Doped 0.92BaTiO3-0.08(Na0.5Bi0.5)TiO3 Ferroelectric Relaxor. Materials 2021, 14, 6802. [Google Scholar] [CrossRef] [PubMed]
- Gong, H.; Wang, X.; Zhang, S.; Tian, Z.; Li, L. Electrical and reliability characteristics of Mn-doped nano BaTiO3-based ceramics for ultrathin multilayer ceramic capacitor application. J. Appl. Phys. 2012, 112, 114119. [Google Scholar] [CrossRef]
- Li, Y.-X.; Yao, X.; Wang, X.-S.; Hao, Y.-B. Studies of dielectric properties of rare earth (Dy, Tb, Eu) doped barium titanate sintered in pure nitrogen. Ceram. Int. 2012, 38, S29–S32. [Google Scholar] [CrossRef]
- Völtzke, D.; Abicht, H.P.; Pippel, E.; Woltersdorf, J. Ca-containing additives in PTC-BaTiO3 ceramics: Effects on the microstructural evolution. J. Eur. Ceram. Soc. 2000, 20, 1663–1669. [Google Scholar] [CrossRef]
- Ding, S.W.; Jia, G.; Wang, J.; He, Z.Y. Electrical properties of Y- and Mn-doped BaTiO3-based PTC ceramics. Ceram. Int. 2008, 34, 2007–2010. [Google Scholar] [CrossRef]
- Brzozowski, E.; Castro, M.S. Influence of Nb5+ and Sb3+ dopants on the defect profile, PTCR effect and GBBL characteristics of BaTiO3 ceramics. J. Eur. Ceram. Soc. 2004, 24, 2499–2507. [Google Scholar] [CrossRef]
- Yin, J.-B.; Zhao, X.-P. Preparation and electrorheological characteristic of Y-doped BaTiO3 suspension under dc electric field. J. Solid State Chem. 2004, 177, 3650–3659. [Google Scholar] [CrossRef]
- Chen, Y.-C.; Lo, G.-M.; Shih, C.-R.; Wu, L.; Mao-Hsiung Chen, M.-H.C.; Kuang-Chih Huang, K.-C.H. Influence of Manganese on Lanthanum-Doped BaTiO3. Jpn. J. Appl. Phys. 1994, 33, 1412. [Google Scholar] [CrossRef]
- Madhan, K.; Thiyagarajan, R.; Jagadeeshwaran, C.; Paul Blessington Selvadurai, A.; Pazhanivelu, V.; Aravinth, K.; Yang, W.; Murugaraj, R. Investigations on the phase transition of Mn-doped BaTiO3 multifunctional ferroelectric ceramics through Raman, dielectric, and magnetic studies. J. Sol-Gel Sci. Technol. 2018, 88, 584–592. [Google Scholar] [CrossRef]
- Rani, A.; Kolte, J.; Gopalan, P. Phase formation, microstructure, electrical and magnetic properties of Mn substituted barium titanate. Ceram. Int. 2015, 41, 14057–14063. [Google Scholar] [CrossRef]
- Liu, Q.; Liu, J.; Lu, D.; Zheng, W.; Hu, C. Structural evolution and dielectric properties of Nd and Mn co-doped BaTiO3 ceramics. J. Alloys Compd. 2018, 760, 31–41. [Google Scholar] [CrossRef]
- Er, G.; Ishida, S.; Yamazaki, K.; Takeuchi, N. Changes of PTCR Properties during Annealing in Reducing Gases in Nb(W)-Mn-Codoped BaTiO3 Ceramics. J. Ceram. Soc. Jpn. 1997, 105, 675–680. [Google Scholar] [CrossRef]
- Matsuoka, T.; Fujimura, M.; Matsuo, Y.; Hayakawa, S. Behaviors of Mn Ion And Grain Boundary In BaTiO3 PTCR Semiconductor. Natl. Tech. Rep. Matsushita Electr. Ind. 1975, 21, 329–340. [Google Scholar]
- Li, Y.; Hao, Y.; Wang, X.; Yao, X. Studies of Dielectric Properties of Rare Earth (Y, Gd, Yb) Doped Barium Titanate Sintered in Pure Nitrogen. Ferroelectrics 2010, 407, 134–139. [Google Scholar] [CrossRef]
- Gui, D.-Y.; Wang, C.-H. The microstructure and dielectric properties of Yb2O3 doped 0.92BaTiO3—0.08(Na0.5Bi0.5)TiO3 relaxor ceramics. Mater. Sci. Eng. B 2023, 291, 116386. [Google Scholar] [CrossRef]
- Xu, D.; Li, W.L.; Wang, L.D.; Wang, W.; Cao, W.P.; Fei, W.D. Large piezoelectric properties induced by doping ionic pairs in BaTiO3 ceramics. Acta Mater. 2014, 79, 84–92. [Google Scholar] [CrossRef]
- Shannon, R.D. Revised effective ionic radii and systematic studies of interatomic distances in halides and chalcogenides. Acta Crystallogr. A 1976, 32, 751–767. [Google Scholar] [CrossRef]
- Auromun, K.; Acharya, T.; Choudhary, R.N.P. Octahedral distortion-driven phase transition, relaxation and conduction process of Zr/Sn modified barium titanate relaxors. Ceram. Int. 2022, 48, 20858–20871. [Google Scholar] [CrossRef]
- Alkathy, M.S.; Jamesraju, K.C. Study of diffuse PhaseTransition behavior in Bi and Li Co-substituted barium titanate ceramics. J. Electroceram. 2017, 38, 63–73. [Google Scholar] [CrossRef]
- Armstrong, T.R.; Buchanan, R.C. Influence of Core-Shell Grains on the Internal Stress State and Permittivity Response of Zirconia-Modified Barium Titanate. J. Am. Ceram. Soc. 1990, 73, 1268–1273. [Google Scholar] [CrossRef]
- Yung, P.; Yoonho, K.; Ho-Gi, K. The effect of stress on the dielectric—temperature characteristics of core—shell grain structure. J. Phys. D Appl. Phys. 1996, 29, 2483. [Google Scholar]
- Rani, S.; Ahlawat, N.; Punia, R.; Sangwan, K.M.; Rani, S. Dielectric relaxation and conduction mechanism of complex perovskite Ca0.90Sr0.10Cu3Ti3.95Zn0.05O12 ceramic. Ceram. Int. 2018, 44, 5996–6001. [Google Scholar] [CrossRef]
- Gayen, A.L.; Mondal, D.; Roy, D.; Bandyopadhyay, P.; Manna, S.; Basu, R.; Das, S.; Bhar, D.S.; Paul, B.K.; Nandy, P. Improvisation of electrical properties of PVDF-HFP: Use of novel metallic nanoparticles. J. Mater. Sci. Mater. Electron. 2017, 28, 14798–14808. [Google Scholar] [CrossRef]
- Ge, P.-Z.; Zhang, T.-F.; Tang, Z.-X.; Tang, X.-G. Oxygen vacancies-related high-temperature dielectric relaxation and pyroelectric energy harvesting in lead-free Ba(Zr0.2Ti0.8)O3 ceramics. J. Mater. Sci. Mater. Electron. 2022, 33, 3024–3033. [Google Scholar] [CrossRef]









| Sample | Ea (Grain, eV) | Ea (Grain Boundary, eV) |
|---|---|---|
| x = 0.0025 | 1.41 | 1.58 |
| x = 0.005 | 1.42 | 1.51 |
| x = 0.01 | 1.41 | 1.20 |
| x = 0.015 | 1.34 | |
| x = 0.02 | 1.27 |
Disclaimer/Publisher’s Note: The statements, opinions and data contained in all publications are solely those of the individual author(s) and contributor(s) and not of MDPI and/or the editor(s). MDPI and/or the editor(s) disclaim responsibility for any injury to people or property resulting from any ideas, methods, instructions or products referred to in the content. |
© 2023 by the authors. Licensee MDPI, Basel, Switzerland. This article is an open access article distributed under the terms and conditions of the Creative Commons Attribution (CC BY) license (https://creativecommons.org/licenses/by/4.0/).
Share and Cite
Gui, D.-Y.; Ma, X.-Y.; Yuan, H.-D.; Wang, C.-H. Mn- and Yb-Doped BaTiO3-(Na0.5Bi0.5)TiO3 Ferroelectric Relaxor with Low Dielectric Loss. Materials 2023, 16, 2229. https://doi.org/10.3390/ma16062229
Gui D-Y, Ma X-Y, Yuan H-D, Wang C-H. Mn- and Yb-Doped BaTiO3-(Na0.5Bi0.5)TiO3 Ferroelectric Relaxor with Low Dielectric Loss. Materials. 2023; 16(6):2229. https://doi.org/10.3390/ma16062229
Chicago/Turabian StyleGui, Dong-Yun, Xiao-Yong Ma, Hu-Die Yuan, and Chun-Hai Wang. 2023. "Mn- and Yb-Doped BaTiO3-(Na0.5Bi0.5)TiO3 Ferroelectric Relaxor with Low Dielectric Loss" Materials 16, no. 6: 2229. https://doi.org/10.3390/ma16062229
APA StyleGui, D.-Y., Ma, X.-Y., Yuan, H.-D., & Wang, C.-H. (2023). Mn- and Yb-Doped BaTiO3-(Na0.5Bi0.5)TiO3 Ferroelectric Relaxor with Low Dielectric Loss. Materials, 16(6), 2229. https://doi.org/10.3390/ma16062229
