Experimental Study and Modelling of Fresh Behaviours of Basalt Fibre-Reinforced Mortar Based on Average Water Film Thickness and Fibre Factor
Abstract
1. Introduction
2. Testing Program
2.1. Materials
2.2. Mix Design
2.3. Experimental Methods for Fresh Behaviours
2.4. Experimental Method for Packing Density
2.5. Determination of AWFT
2.6. Determination of Fibre Factor
3. Research Results
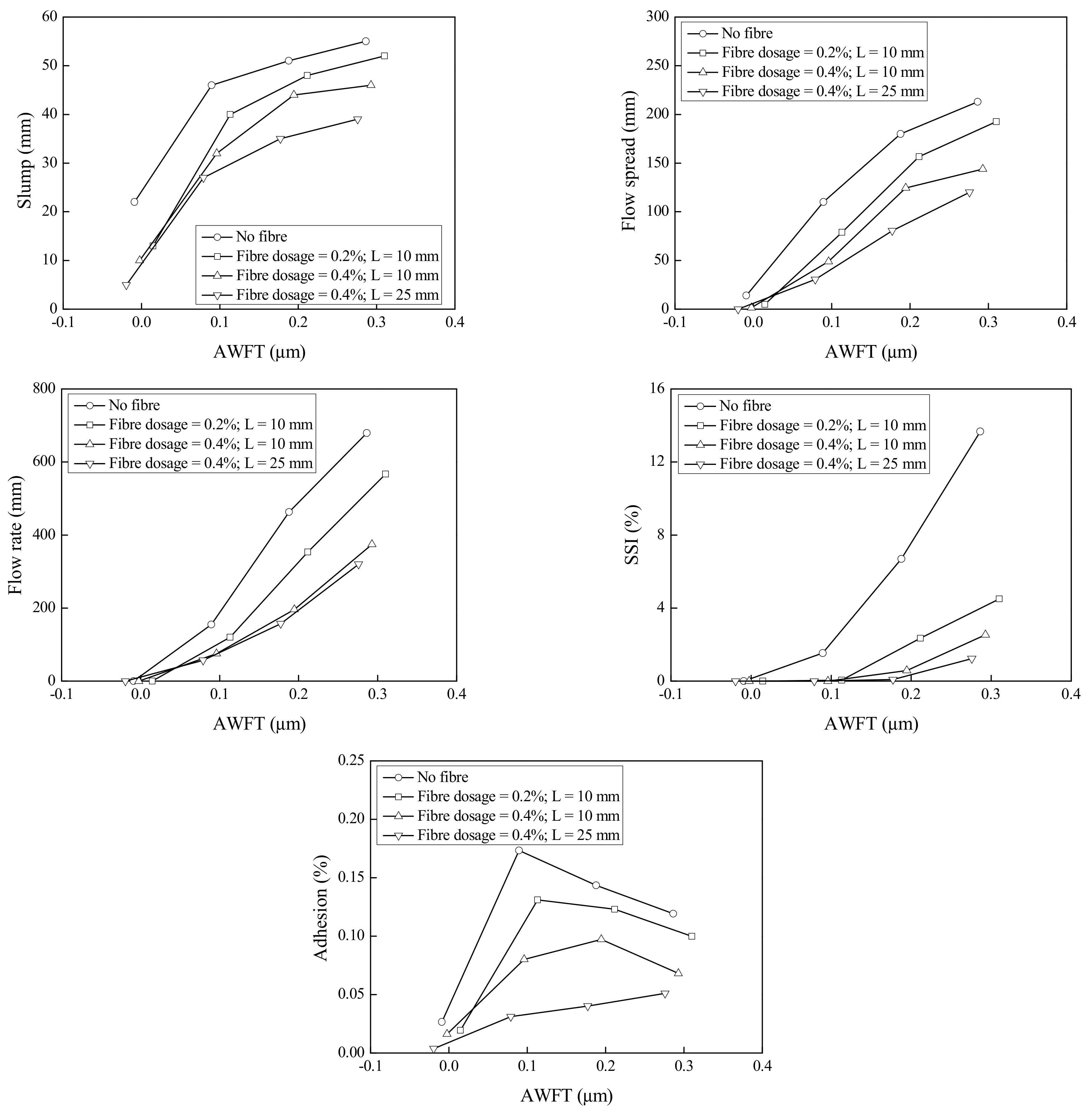
3.1. Results of Fresh Behaviours
3.2. Results of Packing Density
3.3. Results of AWFT
3.4. Results of Fibre Factor
4. Integral Influences of AWFT and FF
4.1. Effects on Workability
4.2. Effects on Fluidity
4.3. Effects on Cohesiveness
4.4. Effects on Adhesiveness
5. Discussions
6. Conclusions
- 1.
- The concept of AWFT, which has been proven to be applicable to plain mortars without fibres added, is also applicable to BFRM in the sense that the AWFT is a key parameter governing the fresh behaviours of BFRM;
- 2.
- Basically, the AWFT possesses positive influences on the workability and fluidity, negative impacts on the cohesiveness, and positive or negative effects on the adhesiveness depending on the AWFT;
- 3.
- Aside from the AWFT, both the fibre dosage and length have negative influences on the workability, fluidity, and adhesiveness but positive effects on the cohesiveness of BFRM;
- 4.
- Apart from the above direct effects, the fibre dosage has a positive or negative impact on the packing density depending on the fibre dosage, whereas the fibre length always has a negative impact on the packing density. In consideration of the slight alteration of the specific surface area in the solid component of BFRM, the fibres added exerted certain indirect effects on the AWFT;
- 5.
- The combined effects of the fibre dosage and the aspect ratio could be accounted for by a single FF defined as V (L/D). This FF is dimensionless and is relatively simple to comprehend;
- 6.
- Correlations of the slump, flow spread, flow rate, SSI, and adhesion with both the AWFT and FF by means of a multi-variable regression analysis yielded a rather high coefficient of determination or the R2 values, suggesting that the AWFT and FF are together the key parameters governing the fresh behaviours of BFRM;
- 7.
- Hence, the two parameters AWFT and FF may be used to develop a model for the fresh properties of BFRM, which could have a high theoretical value for improving our understanding of the fresh behaviours of BFRM, as well as a high practical value for enabling a preliminary mix design optimization before conducting cumbersome laboratory and plant trials.
Author Contributions
Funding
Institutional Review Board Statement
Informed Consent Statement
Data Availability Statement
Conflicts of Interest
References
- Neville, A.M.; Brooks, J.J. Concrete Technology; Longman Scientific & Technical: Harlow, Essex, England, 1987. [Google Scholar]
- Park, R.; Paulay, T. Reinforced Concrete Structures; John Wiley & Sons: Hoboken, NJ, USA, 1991. [Google Scholar]
- Babu Narayan, K.S.; Venkataramana, K. Shape optimization of steel reinforced concrete beams. Comput. Concr. 2007, 4, 317–330. [Google Scholar] [CrossRef]
- Meneghetti, L.C.; Wesley, N.; Pauletti, R.M.; Adriaenssens, S. Pneumatic formwork systems to build thin concrete shells. In Proceedings of the IASS Annual Symposia, International Association for Shell and Spatial Structures (IASS), 1 July 2018; Volume 13, pp. 1–8. [Google Scholar]
- Powers, T.C. The Properties of Fresh Concrete; Wiley: New York, NY, USA, 1968. [Google Scholar]
- Helmuth, R.A. Structure and rheology of fresh cement paste. In Proceedings of the 7th International Congress of Chemistry of Cement, Sub-Theme VI-0, Paris, France, 1980; pp. 16–30. [Google Scholar]
- Wong, H.H.C.; Kwan, A.K.H. Rheology of cement paste: Role of excess water to solid surface area ratio. J. Mater. Civ. Eng. 2008, 20, 189–197. [Google Scholar] [CrossRef]
- Wu, Q.; An, X.; Liu, C. Effect of polycarboxylate-type superplasticizer on the paste fluidity based on the water film thickness of flocs. Sci. China Technol. Sci. 2014, 57, 1522–1531. [Google Scholar] [CrossRef]
- Zhang, R.; Panesar, D.K. New approach to calculate water film thickness and the correlation to the rheology of mortar and concrete containing reactive MgO. Constr. Build. Mater. 2017, 150, 892–902. [Google Scholar] [CrossRef]
- Zuo, W.; Liu, J.; Tian, Q.; Xu, W.; She, W.; Feng, P.; Miao, C. Optimum design of low-binder self-compacting concrete based on particle packing theories. Constr. Build. Mater. 2018, 163, 938–948. [Google Scholar] [CrossRef]
- Ghasemi, Y.; Emborg, M.; Cwirzen, A. Effect of water film thickness on the flow in conventional mortars and concrete. Mater. Struct. 2019, 52, 62. [Google Scholar] [CrossRef]
- Liu, H.; Sun, X.; Du, H.; Lu, H.; Ma, Y.; Shen, W.; Tian, Z. Effects and threshold of water film thickness on multi-mineral cement paste. Cem. Concr. Compos. 2020, 112, 103677. [Google Scholar] [CrossRef]
- Ren, Q.; Tao, Y.; Jiao, D.; Jiang, Z.; Ye, G.; De Schutter, G. Plastic viscosity of cement mortar with manufactured sand as influenced by geometric features and particle size. Cem. Concr. Compos. 2021, 122, 104163. [Google Scholar] [CrossRef]
- Di Prisco, M.; Plizzari, G.; Vandewalle, L. Fibre reinforced concrete: New design perspectives. Mater. Struct. 2009, 42, 1261–1281. [Google Scholar] [CrossRef]
- Jian, S.; Tian, Z.; Hu, J.; Zhang, K.; Zhang, L.; Duan, G.; Yang, W.; Jiang, S. Enhanced visible light photocatalytic efficiency of La-doped ZnO nanofibers via electrospinning-calcination technology. Adv. Powder Mater. 2022, 1, 100004. [Google Scholar] [CrossRef]
- Elshazli, M.T.; Saras, N.; Ibrahim, A. Structural response of high strength concrete beams using fiber reinforced polymers under reversed cyclic loading. Sustain. Struct. 2022, 2, 000018. [Google Scholar] [CrossRef]
- Hughes, B.P.; Fattuhi, N.I. The workability of steel-fibre-reinforced concrete. Mag. Concr. Res. 1976, 28, 157–161. [Google Scholar] [CrossRef]
- Kim, S.H.; Lee, J.H.; Kim, J.W.; Lee, S.Y.; Park, S.J. Interfacial behaviors of basalt fiber-reinforced polymeric composites: A short review. Adv. Fiber Mater. 2022, 4, 1414–1433. [Google Scholar] [CrossRef]
- Wang, J.; Dai, Q.; Si, R. Experimental and numerical investigation of fracture behaviors of steel fiber-reinforced rubber self-compacting concrete. J. Mater. Civ. Eng. 2022, 34, 04021379. [Google Scholar] [CrossRef]
- Soroushian, P.; Bayasi, Z. Fiber type effects on the performance of steel fiber reinforced concrete. ACI Mater. J. 1991, 88, 129–134. [Google Scholar]
- Jiao, D.; Shi, C.; Yuan, Q.; Zhu, D.; De Schutter, G. Effects of rotational shearing on rheological behavior of fresh mortar with short glass fiber. Constr. Build. Mater. 2019, 203, 314–321. [Google Scholar] [CrossRef]
- Gültekin, A.; Beycioğlu, A.; Arslan, M.E.; Serdar, A.H.; Dobiszewska, M.; Ramyar, K. Fresh properties and fracture energy of basalt and glass fiber-reinforced self-compacting concrete. J. Mater. Civ. Eng. 2022, 34, 04021406. [Google Scholar] [CrossRef]
- Hossain, K.M.A.; Lachemi, M.; Sammour, M.; Sonebi, M. Influence of polyvinyl alcohol, steel, and hybrid fibers on fresh and rheological properties of self-consolidating concrete. J. Mater. Civ. Eng. 2012, 24, 1211–1220. [Google Scholar] [CrossRef]
- Hannant, D.J. Fibre Cements and Fibre Concretes; Wiley: Chichester, Sussex, UK, 1978. [Google Scholar]
- Groth, P. Steel Fibre Reinforced SCC; Final Report of Task 6II, Brite Euram Project (BE 96-3801)–Rational Production and Improved Working Environment through Using SCC; European Commission: Brussels, Belgium, 2000. [Google Scholar]
- Grünewald, S. Performance-Based Design of Self-Compacting Fibre Reinforced Concrete; Delft University Press: Delft, The Netherlands, 2004. [Google Scholar]
- Li, L.G.; Zeng, K.L.; Ouyang, Y.; Kwan, A.K.H. Basalt fibre-reinforced mortar: Rheology modelling based on water film thickness and fibre content. Constr. Build. Mater. 2019, 229, 116857. [Google Scholar] [CrossRef]
- Li, L.G.; Ouyang, Y.; Ng, P.L.; Zeng, K.L.; Kwan, A.K.H. Influences of fiber length and water film thickness on fresh properties of basalt fiber-reinforced mortar. J. Zhejiang Univ.-Sci. A 2021, 22, 344–356. [Google Scholar] [CrossRef]
- GB 175-2007; Common Portland Cement. General Administration of Quality Supervision, Inspection and Quarantine: Beijing, China, 2007. (In Chinese)
- Kwan, A.K.H.; Li, L.G. Combined effects of water film thickness and paste film thickness on rheology of mortar. Mater. Struct. 2012, 45, 1359–1374. [Google Scholar] [CrossRef]
- Wong, H.H.C.; Kwan, A.K.H. Packing density of cementitious materials: Part 1—Measurement using a wet packing method. Mater. Struct. 2008, 41, 689–701. [Google Scholar] [CrossRef]
- Li, L.G.; Kwan, A.K.H. Packing density of concrete mix under dry and wet conditions. Powder Technol. 2014, 253, 514–521. [Google Scholar] [CrossRef]
- Li, L.G.; Feng, J.J.; Xiao, B.F.; Chu, S.H.; Kwan, A.K.H. Roles of mortar volume in porosity, permeability and strength of pervious concrete. J. Infrastruct. Preserv. Resil. 2021, 2, 19. [Google Scholar] [CrossRef]
- Li, L.G.; Feng, J.J.; Lu, Z.C.; Xie, H.Z.; Xiao, B.F.; Kwan, A.K.H. Effects of aggregate bulking and film thicknesses on water permeability and strength of pervious concrete. Powder Technol. 2022, 396, 743–753. [Google Scholar] [CrossRef]
- Li, L.G.; Zhuo, H.X.; Zhu, J.; Kwan, A.K.H. Packing density of mortar containing polypropylene, carbon or basalt fibres under dry and wet conditions. Powder Technol. 2019, 342, 433–440. [Google Scholar] [CrossRef]
- Li, L.G.; Kwan, A.K.H. Concrete mix design based on water film thickness and paste film thickness. Cem. Concr. Compos. 2013, 39, 33–42. [Google Scholar] [CrossRef]
- Kwan, A.K.H.; Li, L.G. Combined effects of water film, paste film and mortar film thicknesses on fresh properties of concrete. Constr. Build. Mater. 2014, 50, 598–608. [Google Scholar] [CrossRef]
- Li, L.G.; Chu, S.H.; Zeng, K.L.; Zhu, J.; Kwan, A.K.H. Roles of water film thickness and fibre factor in workability of polypropylene fibre reinforced mortar. Cem. Concr. Compos. 2018, 93, 196–204. [Google Scholar] [CrossRef]
- Yu, A.B.; Bridgwater, J.; Burbidge, A. On the modelling of the packing of fine particles. Powder Technol. 1997, 92, 185–194. [Google Scholar] [CrossRef]
- Jacobsen, S.; Arntsen, B. Aggregate packing and-void saturation in mortar and concrete proportioning. Mater. Struct. 2008, 41, 703–716. [Google Scholar] [CrossRef]
- Kwan, A.K.H.; Chan, K.W.; Wong, V. A 3-parameter particle packing model incorporating the wedging effect. Powder Technol. 2013, 237, 172–179. [Google Scholar] [CrossRef]
- Wong, V.; Kwan, A.K.H. A 3-parameter model for packing density prediction of ternary mixes of spherical particles. Powder Technol. 2014, 268, 357–367. [Google Scholar] [CrossRef]









| Properties | Raw Materials | |||
|---|---|---|---|---|
| Water | Cement | Fine Aggregate | Super- Plasticizer | |
| Specific gravity | 1.00 | 3.11 | 2.66 | 1.08 |
| Moisture content | - | - | 0.04% | - |
| Water absorption | - | - | 1.10% | - |
| Max. particle size (mm) | - | - | 1.18 | - |
| Solid content | - | - | - | 20% |
| Specific surface area (m2/m3) | - | 1.95 × 106 | 3.16 × 104 | - |
| Fibre Type | Specific Gravity | Diameter (μm) | Elastic Modulus (GPa) | Tensile Strength (MPa) | Elongation at Break (%) | Specific Surface Area (m2/m3) |
|---|---|---|---|---|---|---|
| Basalt fibre | 2.53 | 16 ± 2 | 84 | 1450 | 2.8 | 2.50 × 105 |
| Sample Code | Slump (mm) | Flow Spread (mm) | Flow Rate (mL/s) | SSI (%) | Adhesion (g/cm2) |
|---|---|---|---|---|---|
| 0.0%-0-0.25 | 22 | 14 | 0 | 0.0 | 0.027 |
| 0.0%-0-0.30 | 46 | 110 | 155 | 1.5 | 0.173 |
| 0.0%-0-0.35 | 51 | 180 | 463 | 6.7 | 0.144 |
| 0.0%-0-0.40 | 55 | 213 | 679 | 13.7 | 0.119 |
| 0.1%-10-0.25 | 16 | 7 | 0 | 0.0 | 0.017 |
| 0.1%-10-0.30 | 42 | 105 | 139 | 0.2 | 0.149 |
| 0.1%-10-0.35 | 50 | 173 | 382 | 3.0 | 0.137 |
| 0.1%-10-0.40 | 54 | 201 | 620 | 4.9 | 0.108 |
| 0.2%-10-0.25 | 13 | 5 | 0 | 0.0 | 0.019 |
| 0.2%-10-0.30 | 40 | 79 | 120 | 0.1 | 0.131 |
| 0.2%-10-0.35 | 48 | 157 | 353 | 2.3 | 0.123 |
| 0.2%-10-0.40 | 52 | 193 | 567 | 4.5 | 0.100 |
| 0.3%-10-0.25 | 12 | 3 | 0 | 0.0 | 0.018 |
| 0.3%-10-0.30 | 35 | 67 | 104 | 0.0 | 0.117 |
| 0.3%-10-0.35 | 47 | 146 | 307 | 0.8 | 0.110 |
| 0.3%-10-0.40 | 51 | 191 | 504 | 4.3 | 0.077 |
| 0.4%-10-0.25 | 10 | 2 | 0 | 0.0 | 0.016 |
| 0.4%-10-0.30 | 32 | 49 | 75 | 0.0 | 0.080 |
| 0.4%-10-0.35 | 44 | 125 | 196 | 0.6 | 0.097 |
| 0.4%-10-0.40 | 46 | 144 | 374 | 2.5 | 0.068 |
| 0.5%-10-0.25 | 5 | 0 | 0 | 0.0 | 0.014 |
| 0.5%-10-0.30 | 27 | 34 | 61 | 0.0 | 0.054 |
| 0.5%-10-0.35 | 40 | 94 | 182 | 0.3 | 0.063 |
| 0.5%-10-0.40 | 41 | 107 | 295 | 1.5 | 0.054 |
| Sample Code | Slump (mm) | Flow Spread (mm) | Flow Rate (mL/s) | SSI (%) | Adhesion (g/cm2) |
|---|---|---|---|---|---|
| 0.3%-5-0.25 | 15 | 4 | 0 | 0.0 | 0.019 |
| 0.3%-5-0.30 | 38 | 79 | 122 | 0.0 | 0.171 |
| 0.3%-5-0.35 | 49 | 154 | 321 | 1.2 | 0.139 |
| 0.3%-5-0.40 | 55 | 199 | 518 | 7.7 | 0.114 |
| 0.3%-10-0.25 | 12 | 3 | 0 | 0.0 | 0.018 |
| 0.3%-10-0.30 | 35 | 67 | 104 | 0.0 | 0.117 |
| 0.3%-10-0.35 | 47 | 146 | 307 | 0.8 | 0.110 |
| 0.3%-10-0.40 | 51 | 191 | 504 | 4.3 | 0.077 |
| 0.3%-15-0.25 | 10 | 2 | 0 | 0.0 | 0.014 |
| 0.3%-15-0.30 | 34 | 62 | 98 | 0.0 | 0.079 |
| 0.3%-15-0.35 | 46 | 129 | 284 | 0.6 | 0.098 |
| 0.3%-15-0.40 | 48 | 176 | 478 | 4.1 | 0.074 |
| 0.3%-20-0.25 | 6 | 0 | 0 | 0.0 | 0.012 |
| 0.3%-20-0.30 | 31 | 55 | 92 | 0.0 | 0.076 |
| 0.3%-20-0.35 | 44 | 123 | 271 | 0.2 | 0.079 |
| 0.3%-20-0.40 | 45 | 159 | 459 | 3.1 | 0.064 |
| 0.3%-25-0.25 | 6 | 0 | 0 | 0.0 | 0.009 |
| 0.3%-25-0.30 | 29 | 44 | 87 | 0.0 | 0.036 |
| 0.3%-25-0.35 | 40 | 103 | 255 | 0.2 | 0.064 |
| 0.3%-25-0.40 | 42 | 154 | 436 | 2.1 | 0.053 |
| Sample Code | Slump (mm) | Flow Spread (mm) | Flow Rate (mL/s) | SSI (%) | Adhesion (g/cm2) |
|---|---|---|---|---|---|
| 0.2%-5-0.25 | 18 | 8 | 0 | 0.0 | 0.024 |
| 0.2%-5-0.30 | 43 | 98 | 130 | 0.6 | 0.175 |
| 0.2%-5-0.35 | 51 | 173 | 372 | 2.7 | 0.147 |
| 0.2%-5-0.40 | 55 | 203 | 594 | 9.7 | 0.110 |
| 0.2%-15-0.25 | 12 | 5 | 0 | 0.0 | 0.017 |
| 0.2%-15-0.30 | 37 | 69 | 113 | 0.0 | 0.142 |
| 0.2%-15-0.35 | 48 | 150 | 293 | 1.5 | 0.119 |
| 0.2%-15-0.40 | 49 | 190 | 491 | 3.8 | 0.098 |
| 0.2%-25-0.25 | 8 | 5 | 0 | 0.0 | 0.010 |
| 0.2%-25-0.30 | 35 | 57 | 103 | 0.0 | 0.101 |
| 0.2%-25-0.35 | 44 | 138 | 275 | 0.8 | 0.095 |
| 0.2%-25-0.40 | 47 | 184 | 426 | 2.9 | 0.090 |
| 0.4%-5-0.25 | 10 | 2 | 0 | 0.0 | 0.017 |
| 0.4%-5-0.30 | 35 | 66 | 117 | 0.0 | 0.088 |
| 0.4%-5-0.35 | 44 | 140 | 284 | 0.8 | 0.099 |
| 0.4%-5-0.40 | 50 | 194 | 455 | 4.6 | 0.078 |
| 0.4%-15-0.25 | 7 | 0 | 0 | 0.0 | 0.011 |
| 0.4%-15-0.30 | 33 | 41 | 64 | 0.0 | 0.038 |
| 0.4%-15-0.35 | 41 | 112 | 186 | 0.5 | 0.044 |
| 0.4%-15-0.40 | 46 | 133 | 353 | 2.2 | 0.063 |
| 0.4%-25-0.25 | 5 | 0 | 0 | 0.0 | 0.004 |
| 0.4%-25-0.30 | 27 | 31 | 57 | 0.0 | 0.031 |
| 0.4%-25-0.35 | 35 | 81 | 157 | 0.1 | 0.040 |
| 0.4%-25-0.40 | 39 | 120 | 320 | 1.2 | 0.051 |
| Sample Code | Packing Density | Water Ratio | Excess Water Ratio | Specific Surface Area (m2/m3) | AWFT (μm) | Fibre Volume (%) | Fibre Factor |
|---|---|---|---|---|---|---|---|
| 0.0%-0-0.25 | 0.7358 | 0.3526 | −0.0065 | 716,307 | −0.0091 | 0.0000 | 0.0000 |
| 0.0%-0-0.30 | 0.4232 | 0.0641 | 0.0895 | 0.0000 | 0.0000 | ||
| 0.0%-0-0.35 | 0.4937 | 0.1346 | 0.1879 | 0.0000 | 0.0000 | ||
| 0.0%-0-0.40 | 0.5642 | 0.2051 | 0.2863 | 0.0000 | 0.0000 | ||
| 0.1%-10-0.25 | 0.7401 | 0.3524 | 0.0012 | 716,047 | 0.0017 | 0.0412 | 0.2575 |
| 0.1%-10-0.30 | 0.4229 | 0.0717 | 0.1001 | 0.0392 | 0.2448 | ||
| 0.1%-10-0.35 | 0.4934 | 0.1422 | 0.1986 | 0.0373 | 0.2332 | ||
| 0.1%-10-0.40 | 0.5639 | 0.2127 | 0.2970 | 0.0356 | 0.2227 | ||
| 0.2%-10-0.25 | 0.7453 | 0.3522 | 0.0105 | 715,787 | 0.0147 | 0.0824 | 0.5148 |
| 0.2%-10-0.30 | 0.4227 | 0.0810 | 0.1132 | 0.0783 | 0.4893 | ||
| 0.2%-10-0.35 | 0.4931 | 0.1514 | 0.2115 | 0.0746 | 0.4662 | ||
| 0.2%-10-0.40 | 0.5636 | 0.2219 | 0.3100 | 0.0712 | 0.4452 | ||
| 0.3%-10-0.25 | 0.7410 | 0.3521 | 0.0026 | 715,528 | 0.0036 | 0.1235 | 0.7719 |
| 0.3%-10-0.30 | 0.4225 | 0.0730 | 0.1020 | 0.1174 | 0.7337 | ||
| 0.3%-10-0.35 | 0.4929 | 0.1434 | 0.2004 | 0.1119 | 0.6991 | ||
| 0.3%-10-0.40 | 0.5633 | 0.2138 | 0.2988 | 0.1068 | 0.6676 | ||
| 0.4%-10-0.25 | 0.7388 | 0.3519 | −0.0016 | 715,269 | −0.0022 | 0.1646 | 1.0288 |
| 0.4%-10-0.30 | 0.4222 | 0.0687 | 0.0960 | 0.1565 | 0.9779 | ||
| 0.4%-10-0.35 | 0.4926 | 0.1391 | 0.1945 | 0.1491 | 0.9318 | ||
| 0.4%-10-0.40 | 0.5630 | 0.2095 | 0.2929 | 0.1424 | 0.8898 | ||
| 0.5%-10-0.25 | 0.7372 | 0.3517 | −0.0048 | 715,010 | −0.0067 | 0.2057 | 1.2854 |
| 0.5%-10-0.30 | 0.4220 | 0.0655 | 0.0916 | 0.1955 | 1.2218 | ||
| 0.5%-10-0.35 | 0.4923 | 0.1358 | 0.1899 | 0.1863 | 1.1643 | ||
| 0.5%-10-0.40 | 0.5627 | 0.2062 | 0.2884 | 0.1779 | 1.1119 |
| Sample Code | Packing Density | Water Ratio | Excess Water Ratio | Specific Surface Area (m2/m3) | AWFT (μm) | Fibre Volume (%) | Fibre Factor |
|---|---|---|---|---|---|---|---|
| 0.3%-5-0.25 | 0.7443 | 0.3521 | 0.0086 | 715,528 | 0.0120 | 0.1235 | 0.3859 |
| 0.3%-5-0.30 | 0.4225 | 0.0790 | 0.1104 | 0.1174 | 0.3668 | ||
| 0.3%-5-0.35 | 0.4929 | 0.1494 | 0.2088 | 0.1119 | 0.3495 | ||
| 0.3%-5-0.40 | 0.5633 | 0.2198 | 0.3072 | 0.1068 | 0.3338 | ||
| 0.3%-10-0.25 | 0.7405 | 0.3521 | 0.0017 | 715,528 | 0.0024 | 0.1235 | 0.7719 |
| 0.3%-10-0.30 | 0.4225 | 0.0721 | 0.1008 | 0.1174 | 0.7337 | ||
| 0.3%-10-0.35 | 0.4929 | 0.1425 | 0.1992 | 0.1119 | 0.6991 | ||
| 0.3%-10-0.40 | 0.5633 | 0.2129 | 0.2975 | 0.1068 | 0.6676 | ||
| 0.3%-15-0.25 | 0.7392 | 0.3521 | −0.0007 | 715,528 | −0.0010 | 0.1235 | 1.1578 |
| 0.3%-15-0.30 | 0.4225 | 0.0697 | 0.0974 | 0.1174 | 1.1005 | ||
| 0.3%-15-0.35 | 0.4929 | 0.1401 | 0.1958 | 0.1119 | 1.0486 | ||
| 0.3%-15-0.40 | 0.5633 | 0.2105 | 0.2942 | 0.1068 | 1.0014 | ||
| 0.3%-20-0.25 | 0.7367 | 0.3521 | −0.0053 | 715,528 | −0.0074 | 0.1235 | 1.5438 |
| 0.3%-20-0.30 | 0.4225 | 0.0651 | 0.0910 | 0.1174 | 1.4674 | ||
| 0.3%-20-0.35 | 0.4929 | 0.1355 | 0.1894 | 0.1119 | 1.3982 | ||
| 0.3%-20-0.40 | 0.5633 | 0.2059 | 0.2878 | 0.1068 | 1.3352 | ||
| 0.3%-25-0.25 | 0.7343 | 0.3521 | −0.0097 | 715,528 | −0.0136 | 0.1235 | 1.9297 |
| 0.3%-25-0.30 | 0.4225 | 0.0607 | 0.0848 | 0.1174 | 1.8342 | ||
| 0.3%-25-0.35 | 0.4929 | 0.1311 | 0.1832 | 0.1119 | 1.7477 | ||
| 0.3%-25-0.40 | 0.5633 | 0.2015 | 0.2816 | 0.1068 | 1.6690 |
| Sample Code | Packing Density | Water Ratio | Excess Water Ratio | Specific Surface Area (m2/m3) | AWFT (μm) | Fibre Volume (%) | Fibre Factor |
|---|---|---|---|---|---|---|---|
| 0.2%-5-0.25 | 0.7458 | 0.3522 | 0.0114 | 715,787 | 0.0159 | 0.0824 | 0.2574 |
| 0.2%-5-0.30 | 0.4227 | 0.0819 | 0.1144 | 0.0783 | 0.2447 | ||
| 0.2%-5-0.35 | 0.4931 | 0.1523 | 0.2128 | 0.0746 | 0.2331 | ||
| 0.2%-5-0.40 | 0.5636 | 0.2228 | 0.3113 | 0.0712 | 0.2226 | ||
| 0.2%-15-0.25 | 0.7424 | 0.3522 | 0.0052 | 715,787 | 0.0073 | 0.0824 | 0.7722 |
| 0.2%-15-0.30 | 0.4227 | 0.0757 | 0.1058 | 0.0783 | 0.7340 | ||
| 0.2%-15-0.35 | 0.4931 | 0.1461 | 0.2041 | 0.0746 | 0.6993 | ||
| 0.2%-15-0.40 | 0.5636 | 0.2166 | 0.3026 | 0.0712 | 0.6678 | ||
| 0.2%-25-0.25 | 0.7351 | 0.3522 | −0.0082 | 715,787 | −0.0115 | 0.0824 | 1.2870 |
| 0.2%-25-0.30 | 0.4227 | 0.0623 | 0.0870 | 0.0783 | 1.2233 | ||
| 0.2%-25-0.35 | 0.4931 | 0.1327 | 0.1854 | 0.0746 | 1.1656 | ||
| 0.2%-25-0.40 | 0.5636 | 0.2032 | 0.2839 | 0.0712 | 1.1130 | ||
| 0.4%-5-0.25 | 0.7407 | 0.3519 | 0.0018 | 715,269 | 0.0025 | 0.1646 | 0.5144 |
| 0.4%-5-0.30 | 0.4222 | 0.0721 | 0.1008 | 0.1565 | 0.4889 | ||
| 0.4%-5-0.35 | 0.4926 | 0.1425 | 0.1992 | 0.1491 | 0.4659 | ||
| 0.4%-5-0.40 | 0.5630 | 0.2129 | 0.2977 | 0.1424 | 0.4449 | ||
| 0.4%-15-0.25 | 0.7370 | 0.3519 | −0.0055 | 715,269 | −0.0077 | 0.1646 | 1.5431 |
| 0.4%-15-0.30 | 0.4222 | 0.0648 | 0.0906 | 0.1565 | 1.4668 | ||
| 0.4%-15-0.35 | 0.4926 | 0.1352 | 0.1890 | 0.1491 | 1.3976 | ||
| 0.4%-15-0.40 | 0.5630 | 0.2056 | 0.2874 | 0.1424 | 1.3347 | ||
| 0.4%-25-0.25 | 0.7322 | 0.3519 | −0.0138 | 715,269 | −0.0193 | 0.1646 | 2.5719 |
| 0.4%-25-0.30 | 0.4222 | 0.0565 | 0.0790 | 0.1565 | 2.4447 | ||
| 0.4%-25-0.35 | 0.4926 | 0.1269 | 0.1774 | 0.1491 | 2.3294 | ||
| 0.4%-25-0.40 | 0.5630 | 0.1973 | 0.2758 | 0.1424 | 2.2245 |
Disclaimer/Publisher’s Note: The statements, opinions and data contained in all publications are solely those of the individual author(s) and contributor(s) and not of MDPI and/or the editor(s). MDPI and/or the editor(s) disclaim responsibility for any injury to people or property resulting from any ideas, methods, instructions or products referred to in the content. |
© 2023 by the authors. Licensee MDPI, Basel, Switzerland. This article is an open access article distributed under the terms and conditions of the Creative Commons Attribution (CC BY) license (https://creativecommons.org/licenses/by/4.0/).
Share and Cite
Li, L.G.; Ng, P.-L.; Zeng, K.-L.; Xie, H.-Z.; Cheng, C.-M.; Kwan, A.K.-H. Experimental Study and Modelling of Fresh Behaviours of Basalt Fibre-Reinforced Mortar Based on Average Water Film Thickness and Fibre Factor. Materials 2023, 16, 2137. https://doi.org/10.3390/ma16062137
Li LG, Ng P-L, Zeng K-L, Xie H-Z, Cheng C-M, Kwan AK-H. Experimental Study and Modelling of Fresh Behaviours of Basalt Fibre-Reinforced Mortar Based on Average Water Film Thickness and Fibre Factor. Materials. 2023; 16(6):2137. https://doi.org/10.3390/ma16062137
Chicago/Turabian StyleLi, Leo Gu, Pui-Lam Ng, Kai-Long Zeng, Hui-Zhu Xie, Cong-Mi Cheng, and Albert Kwok-Hung Kwan. 2023. "Experimental Study and Modelling of Fresh Behaviours of Basalt Fibre-Reinforced Mortar Based on Average Water Film Thickness and Fibre Factor" Materials 16, no. 6: 2137. https://doi.org/10.3390/ma16062137
APA StyleLi, L. G., Ng, P.-L., Zeng, K.-L., Xie, H.-Z., Cheng, C.-M., & Kwan, A. K.-H. (2023). Experimental Study and Modelling of Fresh Behaviours of Basalt Fibre-Reinforced Mortar Based on Average Water Film Thickness and Fibre Factor. Materials, 16(6), 2137. https://doi.org/10.3390/ma16062137

