Experimental Study of Stress and Deformation of Reclaimed Asphalt Concrete at Different Temperatures
Abstract
:1. Introduction
2. Materials and Methods
2.1. Test Facility
2.2. Test Sample Preparation
3. Results
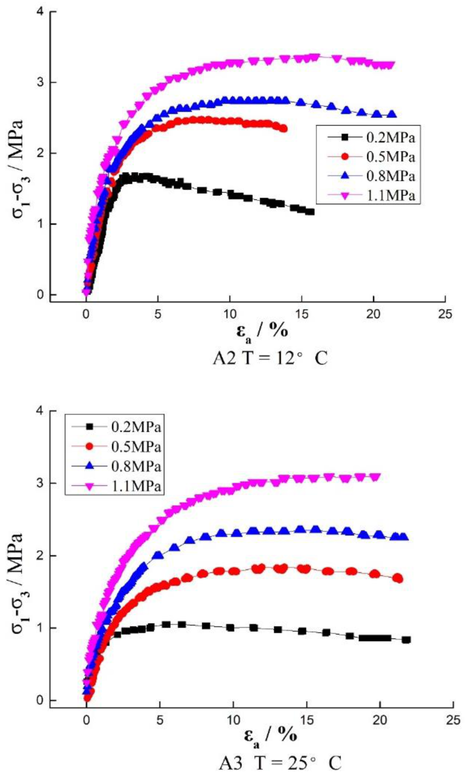
3.1. Stress–strain Relation Curve
3.2. Volume Change Relation Curve
4. Discussion
4.1. Introduction of Duncan Zhang’s E-v Hyperbolic Model
4.2. The Results of Stress–Strain Fit of Duncan Zhang’s E-v Model Are Compared with Experimental Results
4.3. Comparison of Duncan Zhang’s E-v Model with Experimental Results of Volume Variation
4.4. Comparison of Poisson’s Ratio between Experimental and Duncan Zhang’s E-v Model
5. Conclusions
- The shear strength parameters of recycled asphalt concrete at different temperatures have a great difference. The value of decreases with the increase of temperature, while the value of increases. Therefore, the influence of temperature on the shear strength parameters of recycled asphalt concrete is particularly worth paying attention to. In the future constitutive model parameters, temperature as an influencing factor cannot be ignored. It is necessary to establish a temperature-related constitutive model, which will make the calculation of dam deformation and stability more realistic.
- The stress–strain relationship of reclaimed asphalt concrete shows softening characteristics at low temperatures and confining pressure. It gradually evolves into a hardening type with the increase in temperature and confining pressure. The bulk transformation of reclaimed asphalt concrete is mainly shear contraction but followed by dilatancy. The dilatancy characteristics become more obvious at low temperatures and low confining pressure. With the increase in temperature and confining pressure, the dilatancy characteristics will weaken.
- At low confining pressure, the fitting effect of Duncan Zhang’s E-v model on the stress–strain relation of recycled concrete is poor but better at high confining pressure. However, the fitting effect on the volume variation of asphalt concrete is not ideal and generally larger. The test curve consists of two parts: shear contraction and dilatancy, while the fitting curve is only dilatancy.
- Under the same stress level, Poisson’s ratio of Duncan Zhang’s E-v model increases with the increase of confining pressure, while the measured Poisson’s ratio decreases. Poisson’s ratio calculated by Duncan Zhang’s E-v model is greater than 0.5, while the measured Poisson’s ratio is less than 0.5 at a low-stress level, and Poisson’s ratio is greater than 0.5 after reaching a certain stress level.
Author Contributions
Funding
Institutional Review Board Statement
Informed Consent Statement
Data Availability Statement
Conflicts of Interest
References
- Yue, Y.Z.; Hao, J.; Sun, Z.; Liu, Z. Anti-Seepage Technology of Hydraulic Asphalt Concrete; Chemical Industry Press: Beijing, China, 2007. [Google Scholar]
- Chen, S.; Chen, H.; Zheng, M. Design and Construction of Asphalt Mixture; Chemical Industry Press: Beijing, China, 2006. [Google Scholar]
- Wang, Z.Z.; Goh, S.H. A maximum entropy method using fractional moments and deep learning for geotechnical reliability analysis. Acta Geotech 2022, 17, 1147–1166. [Google Scholar] [CrossRef]
- Sha, Q.-l. Design and Construction of Multi-Macadam Asphalt Concrete SAC Series; People’s Traffic Press: Beijing, China, 2005. [Google Scholar]
- Yong, Y. Experimental Study on Viscoelastic-Plastic Constitutive Model of Asphalt Mixture. Ph.D. Thesis, Huazhong University of Science and Technology, Wuhan, China, 2013. [Google Scholar]
- Duncan, J.M.; Chang, C.Y. Nonlinear analysis of stress and strain in soil. J. Soil Mech. Found. Div. 1970, 96, 1629–1652. [Google Scholar] [CrossRef]
- Fwa, T.F.; Low, B.H.; Tan, S.A. Behavior analysis of asphalt mixtures using triaxial test-determined properties. In Proceedings of the Symposium on Engineering Properties of Asphalt Mixtures and the Relationship to Their Performance, Phoenix, AZ, USA, 6 December 1994; pp. 97–110. [Google Scholar]
- Lee, H.J.; Kim, Y.R. Viscoelastic constitutive model for asphalt concrete under cyclic loading. J. Eng. Mech. 1998, 124, 32–40. [Google Scholar] [CrossRef]
- Shijing, Q. Construction Technology of Roller Compacted Asphalt Concrete Core Wall in Earth-rock Fill Dam; China Water Power Press: Beijing, China, 2000. [Google Scholar]
- Li, K.Q.; Li, D.Q.; Liu, Y. Meso-scale investigations on the effective thermal conductivity of multi-phase materials using the finite element method. Int. J. Heat Mass Tran. 2020, 151, 119383. [Google Scholar] [CrossRef]
- Donald, H.; Shields, M.Z.; Robert, K. No nliner viscoelastic behavior of asphalt concrete in stress relaxation. Asph. Paving Technol. 1998, 24, 358–400. [Google Scholar]
- Wei, Y. Experimental Study on the Influence of Temperature on the Static Properties of Asphalt Concrete. Ph.D. Thesis, Xi’an University of Technology, Xi’an, China, 2021. [Google Scholar]
- Wang, J. Mechanical stability of the temperature field of hydraulic asphalt concrete study. Water Sci. Cold Eng. 2022, 5, 21–24. [Google Scholar]
- Liang, W.; Liu, Y.-H.; Yifan, Y.; Zhiyuan, N.; Xiao, M. Different temperature and strain rate of hydraulic asphalt concrete mesoscopic energy evolution study. J. Hydropower Energy Sci. 2021, 33, 152–155+176. [Google Scholar]
- Yu, C.; Tong, J.; Quanhuang, Z.; Wenbin, F. Temperature on the mechanical properties of asphalt concrete. Rock Soil Mech. 2010, 31, 2192–2196. [Google Scholar]
- Songan, L.; Yafei, L. Design Method and Performance of Reclaimed Mixture of Polymer Modified natural Asphalt. Highway 2018, 2, 217–227. [Google Scholar]
- Zhi, Z.; Sun, G.; Yang, W.-T.; Lin, W.Y. Plant mixed hot regeneration method for the optimization design of the SBS modified asphalt study. Highw. Traffic Sci. Technol. 2017, 11, 5–22. [Google Scholar]
- Yachun, H. Study on the performance of Cold Regeneration Technology of Waste asphalt Concrete. Ph.D. Thesis, Xi’an University of Science and Technology, Xi’an, China, 2009. [Google Scholar]
- Haifeng, W.; Zixiong, G.; Baoguo, M. Influence of cement-fly ash on Properties of reclaimed asphalt concrete. J. Build. Mater. 2014, 17, 182–186. [Google Scholar]
- Haining, B. Design and Experimental Study of Recycled Asphalt Concrete Mix Ratio. Ph.D. Thesis, Jilin University, Changchun, China, 2013. [Google Scholar]
- Juhui, L. Effect of Light Oil Regenerator on the Performance of Cold Reclaimed Asphalt Mixture. Ph.D. Thesis, Northeast Forestry University, Harbin, China, 2019. [Google Scholar] [CrossRef]
- Paranavithana, S.; Mohajerani, A. Effects of recycled concrete aggregates on properties of asphalt concrete. Resour. Conserv. Recycl. 2006, 48, 1–12. [Google Scholar] [CrossRef]
- Ding, X.; Chen, L.; Ma, T.; Ma, H.; Gu, L.; Chen, T.; Ma, Y. Laboratory investigation of the recycled asphalt concrete with stable crumb rubber asphalt binder. Constr. Build. Mater. 2019, 203, 552–557. [Google Scholar] [CrossRef]
- Ji, J.; Li, P.; Chen, M.; Zhang, R.; Zhou, W.; You, Z. Review on the fatigue properties of recycled asphalt concrete containing construction and demolition wastes. J. Clean. Prod. 2021, 327, 129478. [Google Scholar] [CrossRef]
- Chen, J.; Huang, C.C.; Chu, P.; Lin, K.Y. Engineering characterization of recycled asphalt concrete and aged bitumen mixed recycling agent. J. Mater. Sci. 2007, 42, 9867–9876. [Google Scholar] [CrossRef]
- Rezaei, M.R.; Kordani, A.A.; Zarei, M. Experimental investigation of the effect of Micro Silica on roller compacted concrete pavement made of recycled asphalt pavement materials. Int. J. Pavement Eng. 2020, 23, 1353–1367. [Google Scholar] [CrossRef]
- Fakhri, M.; Amoosoltani, E.; Aliha, M. Crack behavior analysis of roller compacted concrete mixtures containing reclaimed asphalt pavement and crumb rubber. Eng. Fract. Mech. 2017, 180, 43–59. [Google Scholar] [CrossRef]
- Fakhri, M.; Amoosoltani, E. The effect of Reclaimed Asphalt Pavement and crumb rubber on mechanical properties of Roller Compacted Concrete Pavement. Constr. Build. Mater. 2017, 137, 470–484. [Google Scholar] [CrossRef]
- Saberi, K.F.; Fakhri, M.; Azami, A. Evaluation of warm mix asphalt mixtures containing reclaimed asphalt pavement and crumb rubber. J. Clean. Prod. 2017, 165, 1125–1132. [Google Scholar] [CrossRef]










| Sample Name | Sample Density (g/cm3) | Test Temperature (°C) | Confine Pressure (MPa) | Rate of Loading Rate (mm/min) |
|---|---|---|---|---|
| A1 | 2.45 | 4 | 0.2, 0.5, 0.8, 1.1 | 0.5 |
| A2 | 2.46 | 12 | 0.2, 0.5, 0.8, 1.1 | 0.5 |
| A3 | 2.44 | 25 | 0.2, 0.5, 0.8, 1.1 | 0.5 |
| Sample Name | ||||||||
|---|---|---|---|---|---|---|---|---|
| A1 | 1.05 | 24.3 | 1672 | 0.54 | 0.93 | 0.57 | 1.03 | −0.06 |
| A2 | 0.51 | 27.3 | 500 | 0.44 | 0.79 | 0.45 | 3.57 | −0.10 |
| A3 | 0.24 | 32.5 | 653 | 0.36 | 0.78 | 0.61 | 0.67 | −0.16 |
Disclaimer/Publisher’s Note: The statements, opinions and data contained in all publications are solely those of the individual author(s) and contributor(s) and not of MDPI and/or the editor(s). MDPI and/or the editor(s) disclaim responsibility for any injury to people or property resulting from any ideas, methods, instructions or products referred to in the content. |
© 2023 by the authors. Licensee MDPI, Basel, Switzerland. This article is an open access article distributed under the terms and conditions of the Creative Commons Attribution (CC BY) license (https://creativecommons.org/licenses/by/4.0/).
Share and Cite
Zhang, J.; Zhou, M.; Liu, J.; Huang, X. Experimental Study of Stress and Deformation of Reclaimed Asphalt Concrete at Different Temperatures. Materials 2023, 16, 1323. https://doi.org/10.3390/ma16031323
Zhang J, Zhou M, Liu J, Huang X. Experimental Study of Stress and Deformation of Reclaimed Asphalt Concrete at Different Temperatures. Materials. 2023; 16(3):1323. https://doi.org/10.3390/ma16031323
Chicago/Turabian StyleZhang, Jing, Mingyuan Zhou, Juan Liu, and Xianwen Huang. 2023. "Experimental Study of Stress and Deformation of Reclaimed Asphalt Concrete at Different Temperatures" Materials 16, no. 3: 1323. https://doi.org/10.3390/ma16031323
APA StyleZhang, J., Zhou, M., Liu, J., & Huang, X. (2023). Experimental Study of Stress and Deformation of Reclaimed Asphalt Concrete at Different Temperatures. Materials, 16(3), 1323. https://doi.org/10.3390/ma16031323

