Prediction of Plastic Shrinkage Cracking of Supplementary Cementitious Material-Modified Shotcrete Using Rheological and Mechanical Indicators
Abstract
:1. Introduction
2. Materials and Experimental Methods
2.1. Materials
2.2. Concrete Mixture Compositions
2.3. Experimental Test Methods
2.3.1. Air Content and Slump Measurements
2.3.2. Compressive and Flexural Strength Tests
2.3.3. Plastic Shrinkage Cracking Detection
2.3.4. Rheological Measurements
2.3.5. Statistical Analysis
3. Experimental Test Results
3.1. Slump and Air Content Tests
3.2. Plastic Shrinkage Cracking Evaluation
3.2.1. Plastic Shrinkage Cracking Behavior of CS Mixtures
3.2.2. Plastic Shrinkage Cracking Behavior of CS Mixtures with Different Particle Sizes
3.2.3. Plastic Shrinkage Cracking Properties of SF Mixtures
3.2.4. Characteristics of Mixtures Crack Resistance with a Combination of SCMs
3.3. Strength of Shotcrete Material
3.4. Rheological Properties
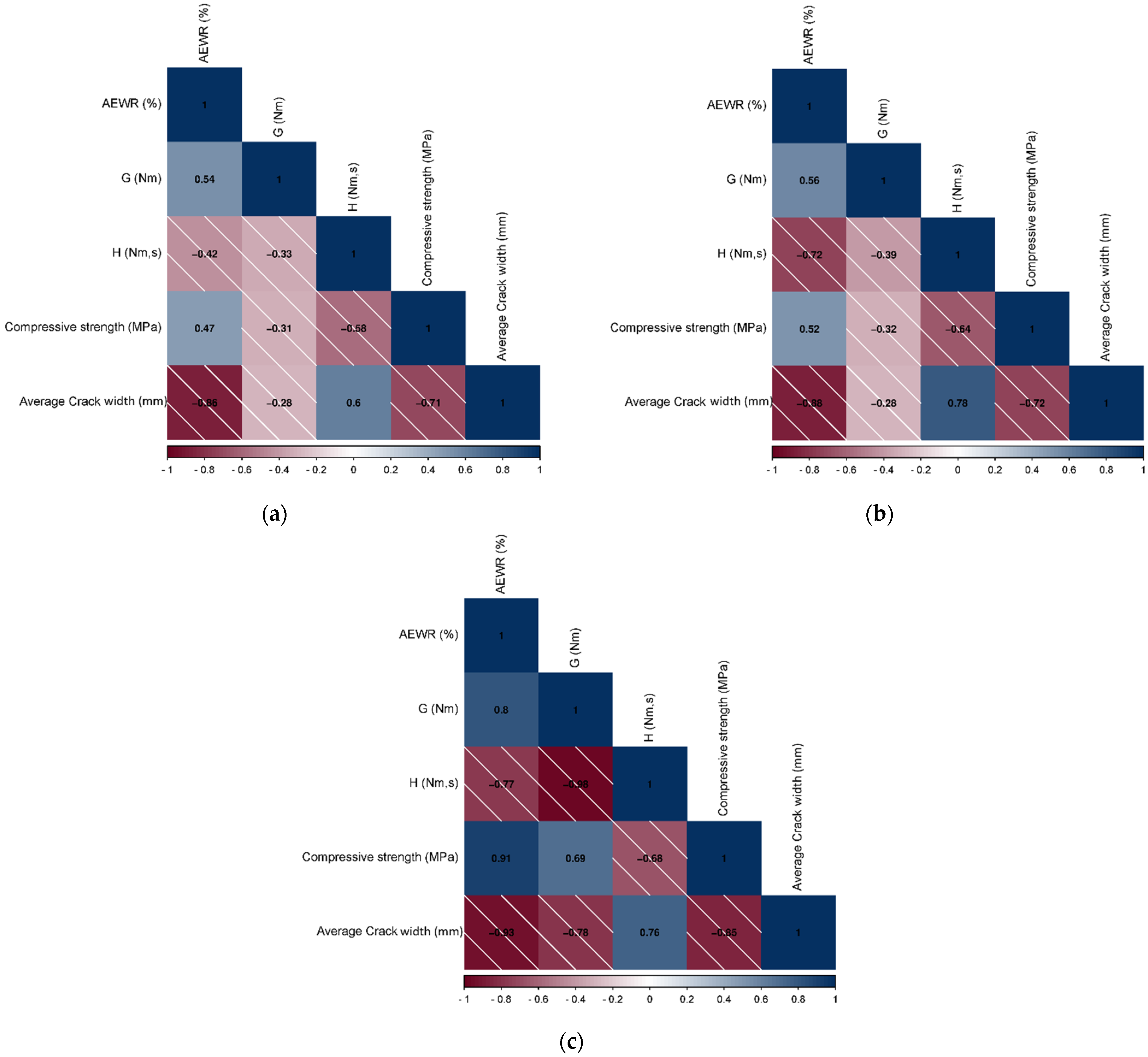
3.5. Statistical Analysis
3.5.1. Analysis and Study of Factors Influencing Plastic Shrinkage Cracking
- Model I includes all observations, compressive strength, and AEWR content variables.
- Model II eliminates silica fume mixtures (compressive strength, AEWR content, and plastic viscosity predictors).
- Model III was based only on mixtures with colloidal silica application (Model II variables and flow resistance).
3.5.2. Simple Regression of Plastic Shrinkage Cracking Predictors
- The AEWR model was analyzed using all mixtures, with the results indicating that all models are statistically suitable. However, the model best suited for this purpose was determined to be the quadratic model, as it showed the highest R2adj (0.739) and the lowest value of the information criteria. It was found that, according to the regression equation in Figure 15, an increase in the content of a water-reducing admixture by one unit (from 1 to 2%) results in a decrease in the average crack width by 0.341 mm (24%). Therefore, the water reducer can minimize the effects of plastic cracking for all types of mixtures.
- A linear model (Figure 16) was determined to be the best suited to describe the regression involving the flow resistance with only the mixtures containing colloidal silica (optimal regression statistics). The model shows that with an increase in G by 1 nm, the average crack width decreases by 0.09 mm (30%). Therefore, in the case of mixtures containing colloidal silica, a high value of the yield stress is associated with a reduction in plastic cracking.
- A simple model (Figure 17), including plastic viscosity, was interpreted by using logarithmic regression because second- and third-order polynomials are not significant, while a linear one has a smaller R2adj. This model was identified based on mixtures containing ultrafine fly ash and colloidal silica. Based on the analysis, the torque viscosity can be used to predict crack formation, and when it increases by 10%, the crack width increases by 0.044 mm.
- The model using compressive strength can characterize all mixtures (Figure 18). For this simple model, quadratic regression is best suited. Considering the curve, with an increase in strength from 12 to 15 MPa, the crack width decreases by 0.202 mm (70%). Consequently, it can be concluded that the compressive strength can perfectly explain the development of plastic cracking in the semi-plastic phase of all mixtures.
4. Discussion of the Results
5. Conclusions
- The ultimate compressive strength development at an early age, determined by the hydration process acceleration, and the water-reducer content, determined by the capillary pressure reduction, affect all the mixtures considered in this study. In the case of 4 and 7% silica fume, these processes were observed to be the most prevalent; therefore, cracking was formed to a lesser extent compared to OPC. The high-yield stress of these mixtures demonstrates an increased capillary pressure owing to their high capacity to absorb free water and reduce capillary pore size.
- The crack width of the colloidal silica series (10 nm) was influenced by rheological parameters and early strength characteristics, whereas high flow resistance and low torque viscosity were found to be factors of reduced plastic shrinkage cracking. Moreover, this was also found to be true for solutions containing larger colloidal silica particle dimensions (40 and 80 nm), so their contribution to cracking reduction was less pronounced.
- For a mixture containing ultrafine fly ash, a high value of yield stress and plastic viscosity are attributed to capillary pressure development, coupled with the deceleration of hydration, resulting in lower cracking resistance. However, colloidal silica (2%) can stabilize FA (20%), and their combined application can counteract this degradation process.
- As a mixture containing colloidal silica and silica fume is similar in its properties to a simple colloidal silicate series, the smallest crack observed is because of high flow resistance and low torque viscosity, as well as the presence of AEWR and strength development. In addition, the combination of 2% CS and 4% SF showed a greater effect on the average crack width of the specimen.
- The statistical analysis showed that all influencing factors are interconnected in a complex manner, jointly affecting plastic cracking, that is, G and H are factors that influence the plastic phase, and shear strength development in a semi-plastic can control crack development. In addition, an increase in yield stress after spraying and the consequent reduction in bleeding can lead to an increase in capillary pressure, which can cause risks associated with shotcrete technology.
Author Contributions
Funding
Data Availability Statement
Conflicts of Interest
Abbreviations
References
- Ravina, D.; Shalon, R. Plastic shrinkage cracking. ACI J. Proc. 1968, 65, 282–292. [Google Scholar]
- Lerch, W. Plastic shrinkage. J. Proc. 1957, 53, 797–802. [Google Scholar]
- Morgan, D.R.; Chan, C. Understanding and controlling shrinkage and cracking in shotcrete. Shotcrete Mag. 2001, 3, 26–30. [Google Scholar]
- Lura, P.; Pease, B.; Mazzotta, G.B.; Rajabipour, F.; Weiss, J. Influence of shrinkage-reducing admixtures on development of plastic shrinkage cracks. ACI Mater. J. 2007, 104, 187. [Google Scholar]
- Raoufi, K.; Weiss, J. The role of fiber reinforcement in mitigating shrinkage cracks in concrete. In Fibrous and Composite Materials for Civil Engineering Applications; Woodhead Publishing: Cambridge, UK, 2011; pp. 168–188. [Google Scholar]
- Combrinck, R.; Steyl, L.; Boshoff, W.P. Interaction between settlement and shrinkage cracking in plastic concrete. Constr. Build. Mater. 2018, 185, 1–11. [Google Scholar] [CrossRef]
- Sayahi, F. Plastic Shrinkage Cracking in Concrete. Ph.D. Thesis, Luleå University of Technology, Luleå, Sweden, 2016. [Google Scholar]
- Combrinck, R.; Boshoff, W.P. Report Number: ISI2009-31—Plastic Shrinkage Cracking of Fresh Concrete; University of Stellenbosch: Stellenbosch, South Africa, 2009. [Google Scholar]
- Kim, J.H.; Yim, H.J.; Kwon, S.H. Quantitative measurement of the external and internal bleeding of conventional concrete and SCC. Cem. Concr. Compos. 2014, 54, 34–39. [Google Scholar] [CrossRef]
- Sonebi, M.; Bartos, P.J.M. Filling ability and plastic settlement of self-compacting concrete. Mater. Struct. 2002, 35, 462–469. [Google Scholar] [CrossRef]
- Uno, P.J. Plastic shrinkage cracking and evaporation formulas. ACI Mater. J. 1998, 95, 365–375. [Google Scholar]
- Wittmann, F.H. On the action of capillary pressure in fresh concrete. Cem. Concr. Res. 1976, 6, 49–56. [Google Scholar] [CrossRef]
- Cohen, M.D.; Olek, J.; Dolch, W.L. Mechanism of plastic shrinkage cracking in portland cement and portland cement-silica fume paste and mortar. Cem. Concr. Res. 1990, 20, 103–119. [Google Scholar] [CrossRef]
- Radocea, A. A model of plastic shrinkage. Mag. Concr. Res. 1994, 46, 125–132. [Google Scholar] [CrossRef]
- Slowik, V.; Schmidt, M.; Fritzsch, R. Capillary pressure in fresh cement-based materials and identification of the air entry value. Cem. Concr. Compos. 2008, 30, 557–565. [Google Scholar] [CrossRef]
- Löfgren, I.; Esping, O.; Jensen, O.; Lura, P.; Kovler, K. Early age cracking of self-compacting concrete. In Proceedings of the International RILEM Conference on Volume Changes of Hardening Concrete: Testing and Mitigation, Lyngby, Sweden, 20–23 August 2006; RILEM Publications SARL: Paris, France, 2006; pp. 251–260. [Google Scholar]
- Kockal, N.U.; Turker, F. Effect of environmental conditions on the properties of concretes with different cement types. Constr. Build. Mater. 2007, 21, 634–645. [Google Scholar] [CrossRef]
- Al-Amoudi, O.S.B.; Maslehuddin, M.; Abiola, T.O. Effect of type and dosage of silica fume on plastic shrinkage in concrete exposed to hot weather. Constr. Build. Mater. 2004, 18, 737–743. [Google Scholar] [CrossRef]
- Abiola, T.O. Plastic Shrinkage Cracking of Blended Cement Concretes under Hot Weather Conditions. Ph.D. Thesis, King Fahd University of Petroleum and Minerals, Dhahran, Saudi Arabia, 2002. [Google Scholar]
- Shen, D.; Kang, J.; Jiao, Y.; Li, M.; Li, C. Effects of different silica fume dosages on early-age behavior and cracking resistance of high strength concrete under restrained condition. Constr. Build. Mater. 2020, 263, 120218. [Google Scholar] [CrossRef]
- Al-Amoudi, O.S.B.; Maslehuddin, M.; Shameem, M.; Ibrahim, M. Shrinkage of plain and silica fume cement concrete under hot weather. Cem. Concr. Compos. 2007, 29, 690–699. [Google Scholar] [CrossRef]
- Samman, T.A.; Mirza, W.H.; Wafa, F.F. Plastic shrinkage cracking of normal and high-strength concrete: A comparative study. Mater. J. 1996, 93, 36–40. [Google Scholar]
- Amziane, S.; Crockett, N.J.; Khayat, K.H.; Sobolev, K.; Brower, L.E.; Domone, P.L.; Nehdi, M.L.; Sonebi, M.; Bui, V.K.; Erdogan, S.T.; et al. Report on Measurements of Workability and Rheology of Fresh Concrete; American Concrete Institute: Farmington Hills, MI, USA, 2008. [Google Scholar]
- Faroug, F.; Szwabowski, J.; Wild, S. Influence of superplasticizers on workability of concrete. J. Mater. Civ. Eng. 1999, 11, 151–157. [Google Scholar] [CrossRef]
- ACI Committee. Role of Rheology in Achieving Successful Concrete Performance; American Concrete Institute: Farmington Hills, MI, USA, 2017. [Google Scholar]
- Yun, K.-K.; Choi, S.Y.; Yeon, J.H. Effects of admixtures on the rheological properties of high-performance wet-mix shotcrete mixtures. Constr. Build. Mater. 2015, 78, 194–202. [Google Scholar] [CrossRef]
- Correa-Yepes, J.A.; Rojas-Reyes, N.; Tobón, J.I. Effect of fly ash and silica fume on rheology, compressive strength and self-compacting in cement mixtures. Dyna 2018, 85, 59–68. [Google Scholar] [CrossRef]
- Dias, W.P.S. Influence of mix and environment on plastic shrinkage cracking. Mag. Concr. Res. 2003, 55, 385–394. [Google Scholar] [CrossRef]
- Thomas, M.D. Optimizing the Use of Fly Ash in Concrete; Portland Cement Association: Skokie, IL, USA, 2007. [Google Scholar]
- Sirajuddin, M.; Gettu, R. Plastic shrinkage cracking of concrete incorporating mineral admixtures and its mitigation. Mater. Struct. 2018, 51, 48. [Google Scholar] [CrossRef]
- Banthia, N.; Gupta, R. Plastic shrinkage cracking in cementitious repairs and overlays. Mater. Struct. 2009, 42, 567–579. [Google Scholar] [CrossRef]
- Wang, K.; Shah, S.P.; Phuaksuk, P. Plastic shrinkage cracking in concrete materials—Influence of fly ash and fibres. ACI Mater. J. 2002, 98, 458–464. [Google Scholar]
- Szecsy, R.S. Concrete Rheology. Ph.D. Thesis, University of Illinois at Urbana-Champaign, Champaign, IL, USA, 1997. [Google Scholar]
- Li, D.; Wang, D.; Ren, C.; Rui, Y. Investigation of rheological properties of fresh cement paste containing ultrafine circulating fluidized bed fly ash. Constr. Build. Mater. 2018, 188, 1007–1013. [Google Scholar] [CrossRef]
- Kwan, A.K.H.; Li, Y. Effects of fly ash microsphere on rheology, adhesiveness and strength of mortar. Constr. Build. Mater. 2013, 42, 137–145. [Google Scholar] [CrossRef]
- Yun, K.K.; Panov, V.; Kim, S.; Han, S. Plastic shrinkage cracking properties of high-performance shotcrete with supplementary cementitious materials. Eur. J. Environ. Civ. Eng. 2023, 27, 159–173. [Google Scholar] [CrossRef]
- Kong, D.; Corr, D.J.; Hou, P.; Yang, Y.; Shah, S.P. Influence of colloidal silica sol on fresh properties of cement paste as compared to nano-silica powder with agglomerates in micron-scale. Cem. Concr. Compos. 2015, 63, 30–41. [Google Scholar] [CrossRef]
- Kong, D.; Pan, H.; Wang, L.; Corr, D.J.; Yang, Y.; Shah, S.P.; Sheng, J. Effect and mechanism of colloidal silica sol on properties and microstructure of the hardened cement-based materials as compared to nano-silica powder with agglomerates in micron-scale. Cem. Concr. Compos. 2019, 98, 137–149. [Google Scholar] [CrossRef]
- Kolawole, J.T. The Influence of Rheology on the Cracking of Plastic Concrete. Ph.D. Thesis, University of Stellenbosch, Stellenbosch, South Africa, 2020. [Google Scholar]
- Combrinck, R. Cracking of Plastic Concrete in Slab-Like Elements. Ph.D. Thesis, Stellenbosch University, Stellenbosch, South Africa, 2016. [Google Scholar]
- Roziere, E.; Cortas, R.; Loukili, A. Tensile behaviour of early age concrete: New methods of investigation. Cem. Concr. Compos. 2015, 55, 153–161. [Google Scholar] [CrossRef]
- Bendimerad, A.Z.; Rozière, E.; Loukili, A. Plastic shrinkage and cracking risk of recycled aggregates concrete. Constr. Build. Mater. 2016, 121, 733–745. [Google Scholar] [CrossRef]
- C 1579; ASTM Standard Test Method for Evaluating Plastic Shrinkage Cracking of Restrained Fiber Reinforced Concrete. ASTM International: West Conshohocken, PA, USA, 2021.
- Intelligent CRACK VIEWER FCV-30. Available online: https://www.fast-corp.co.jp/products/concrete/fcv-30.html (accessed on 1 February 2022).
- KS F2526; Korean Standard for Aggregates for Concrete. Korea Standards Association: Seoul, Republic of Korea, 2007.
- Korean Expressway Corporation. Shotcrete standard Korean Expressway Corporation; Korean Expressway Corporation: Gimcheonsi, Republic of Korea, 2018. [Google Scholar]
- KS L 5201; Korean Standard for Portland Cement. Korea Standards Association: Seoul, Republic of Korea, 2016.
- KS F 2402; Korean Standard Method of Test for Slump of Concrete. Korea Standards Association: Seoul, Republic of Korea, 2012.
- KS F 2421; Korean Standard Method of Test for Air Content of Fresh Concrete by Pressure Method. Korea Standards Association: Seoul, Republic of Korea, 2016.
- KS F2405; Korean Standard Method of Test for Compressive Strength of Concrete. Korea Standards Association: Seoul, Republic of Korea, 2001.
- KS F2408; Korean Standard Method of Test for Flexural Strength of Concrete. Korea Standards Association: Seoul, Republic of Korea, 2000.
- Roussel, N. (Ed.) Understanding the Rheology of Concrete; Elsevier: Amsterdam, The Netherlands, 2011. [Google Scholar]
- Koehler, E.P.; Fowler, D.W. Development of a Portable Rheometer for Fresh Portland Cement Concrete; The University of Texas: Austin, TX, USA, 2004. [Google Scholar]
- ICAR Plus Concrete Rheometer Manual. Available online: https://www.germanninstruments.com/concrete-rheometer-icar-plus/ (accessed on 10 September 2022).
- Kottegoda, N.T.; Rosso, R. Statistics, Probability and Reliability for Civil and Environmental Engineers; Mc-Graw-Hill Publishing Company: New York, NY, USA, 1997; pp. 1–735. [Google Scholar]
- Qin, H.G.; Fei, Z.H.; Guo, W.; Tian, Q. The effects of water-reducer on early-age plastic shrinkage of concrete. Appl. Mech. Mater. 2012, 174, 1113–1118. [Google Scholar] [CrossRef]
- Yun, K.K.; Choi, P.; Yeon, J.H. Correlating rheological properties to the pumpability and shootability of wet-mix shotcrete mixtures. Constr. Build. Mater. 2015, 98, 884–891. [Google Scholar] [CrossRef]
- Choi, P.; Yeon, J.H.; Yun, K.K. Air-void structure, strength, and permeability of wet-mix shotcrete before and after shotcreting operation: The influences of silica fume and air-entraining agent. Cem. Concr. Compos. 2016, 70, 69–77. [Google Scholar] [CrossRef]
- Ghoddousi, P.; Shirzadi Javid, A.A.; Zareechian, M.; Etebari, M.A. Investigating the Effect of the Capillary Pore Pressure on Plastic Shrinkage of Concrete Mixtures Containing Silica Fume and Metakaolin and Its Relation with Early-Age Tensile Strength. New Approaches Civ. Eng. 2019, 3, 76–92. [Google Scholar]
- Ghourchian, S.; Wyrzykowski, M.; Baquerizo, L.; Lura, P. Susceptibility of Portland cement and blended cement concretes to plastic shrinkage cracking. Cem. Concr. Compos. 2018, 85, 44–55. [Google Scholar] [CrossRef]
- Hou, P.; Shi, J.; Prabakar, S.; Cheng, X.; Wang, K.; Zhou, X.; Shah, S.P. Effects of mixing sequences of nanosilica on the hydration and hardening properties of cement-based materials. Constr. Build. Mater. 2020, 263, 120226. [Google Scholar] [CrossRef]
- Zheng, D.; Monasterio, M.; Feng, W.; Tang, W.; Cui, H.; Dong, Z. Hydration Characteristics of Tricalcium Aluminate in the Presence of Nano-Silica. Nanomaterials 2021, 11, 199. [Google Scholar] [CrossRef]
- Xu, X.; Lin, X.; Pan, X.; Ji, T.; Liang, Y.; Zhang, H. Influence of silica fume on the setting time and mechanical properties of a new magnesium phosphate cement. Constr. Build. Mater. 2020, 235, 117544. [Google Scholar] [CrossRef]
- Malhotra, V.M. Condensed Silica Fume in Concrete; CRC Press: Boca Raton, FL, USA, 2018. [Google Scholar]
- Snelson, D.G.; Wild, S.; O’Farrell, M. Heat of hydration of Portland Cement–Metakaolin–Fly ash (PC–MK–PFA) blends. Cem. Concr. Res. 2008, 38, 832–840. [Google Scholar] [CrossRef]
- Yun, K.K.; Panov, V.; Kim, S.; Han, S. Influence of colloidal silica and silica fume on the rheology and mechanical properties of high-performance shotcrete. KSCE J. Civ. Eng. 2022, 26, 2737–2746. [Google Scholar] [CrossRef]
- Hammer, T.A.; Fosså, K.T. Influence of entrained air voids on pore water pressure and volume change of concrete before and during setting. Mater. Struct. 2006, 39, 801–808. [Google Scholar] [CrossRef]
- Swar, A. Long Term Shrinkage Properties of High Performance Cellular Sprayed Concrete for 2LCP with Addition of Admixture; Kangwon National University: Chuncheon, Republic of Korea, 2017. [Google Scholar]
- Beaupré, D. Rheology of High Performance Shotcrete. Ph.D. Thesis, University of British Columbia, Vancouver, BC, Canada, 1994. [Google Scholar]
- Hover, K.C. Concrete mixture proportioning with water-reducing admixtures to enhance durability: A quantitative model. Cem. Concr. Compos. 1998, 20, 113–119. [Google Scholar] [CrossRef]
- Collepardi, M. Admixtures used to enhance placing characteristics of concrete. Cem. Concr. Compos. 1998, 20, 103–112. [Google Scholar] [CrossRef]
- Tattersall, G.H. Workability and Quality Control of Concrete; CRC Press: Boca Raton, FL, USA, 1991. [Google Scholar]
- Mork, J.H. A Presentation of the BML Viscometer. In RILEM Proceedings; RILEM Publications SARL: Paris, France, 1996; pp. 369–376. [Google Scholar]
- Ghourchian, S.; Wyrzykowski, M.; Plamondon, M.; Lura, P. On the mechanism of plastic shrinkage cracking in fresh cementitious materials. Cem. Concr. Res. 2019, 115, 251–263. [Google Scholar] [CrossRef]
- Le Roux, B.D. Influence of admixtures on the plastic shrinkage cracking of concrete. Ph.D. Thesis, Stellenbosch University, Stellenbosch, South Africa, 2016. [Google Scholar]
- Lagerblad, B.; Fjällberg, L.; Vogt, C. Shrinkage and durability of shotcrete. In Proceedings of the Third International Conference on Engineering Developments in Shotcrete, Queenstown, New Zealand, 15–17 March 2010; Taylor & Francis Group: Abingdon, UK, 2010; pp. 173–180. [Google Scholar]
- Ning, F.W.; Cai, Y.B.; Bai, Y.; Chen, B.; Zhang, F. Effect of expansive agent and internal curing agent on crack resistance of C50 silica fume wet-mix shotcrete. Adv. Mech. Eng. 2019, 11, 1687814018819167. [Google Scholar] [CrossRef]
- Malmgren, L.; Nordlund, E.; Rolund, S. Adhesion strength and shrinkage of shotcrete. Tunn. Undergr. Space Technol. 2005, 20, 33–48. [Google Scholar] [CrossRef]
- Kayondo, M.; Combrinck, R.; Boshoff, W.P. State-of-the-art review on plastic cracking of concrete. Constr. Build. Mater. 2019, 225, 886–899. [Google Scholar] [CrossRef]
- Topçu, İ.B.; Elgün, V.B. Influence of concrete properties on bleeding and evaporation. Cem. Concr. Res. 2004, 34, 275–281. [Google Scholar] [CrossRef]
- Papo, A.; Piani, L.; Ricceri, R. Rheological properties of very high-strength Portland cement pastes: Influence of very effective superplasticizers. Int. J. Chem. Eng. 2010, 2010, 682914. [Google Scholar] [CrossRef]
- Bentz, D.P.; Ferraris, C.F.; Galler, M.A.; Hansen, A.S.; Guynn, J.M. Influence of particle size distributions on yield stress and viscosity of cement–fly ash pastes. Cem. Concr. Res. 2012, 42, 404–409. [Google Scholar] [CrossRef]
- Ghourchian, S.; Wyrzykowski, M.; Baquerizo, L.; Lura, P. Performance of passive methods in plastic shrinkage cracking mitigation. Cem. Concr. Compos. 2018, 91, 148–155. [Google Scholar] [CrossRef]
- Kim, J.H.; Kwon, S.H.; Kawashima, S.; Yim, H.J. Rheology of cement paste under high pressure. Cem. Concr. Compos. 2017, 77, 60–67. [Google Scholar] [CrossRef]
- Yun, K.K.; Panov, V.; Han, S.; Kim, S.U.; Kim, S. Rheological based interpretation of shotcrete pumpability and shootability. Constr. Build. Mater. 2022, 328, 127073. [Google Scholar] [CrossRef]
- Choi, S.; Panov, V.; Han, S.; Yun, K.K. Natural fiber-reinforced shotcrete mixture: Quantitative assessment of the impact of fiber on fresh and plastic shrinkage cracking properties. Constr. Build. Mater. 2023, 366, 130032. [Google Scholar] [CrossRef]




















| Physicochemical Properties of Cement Materials | ||||||||
|---|---|---|---|---|---|---|---|---|
| Type | Chemical Composition (%) | Fineness (cm2/g) | Specific Gravity | |||||
| SiO2 | Al2O3 | Fe2O3 | CaO | MgO | SO3 | |||
| Cement | 20.8 | 6.3 | 3.2 | 61.2 | 3.3 | 2.3 | 3300 | 3.15 |
| SF | 97.66 | 0.13 | 0.20 | 0.11 | 0.11 | - | 220,000 | 2.22 |
| UFFA | 49.4 | 27.5 | 8.43 | - | 1.62 | 1.12 | 6934 | 2.58 |
| Physicochemical properties of colloidal silica | ||||||||
| Average particle diameter (nm) | pH | Density (g/cm3) | Viscosity (cps) | Na2O (%) | SiO2 (%) | |||
| 10–20 | 10.0 | 1.28 | 50 | 0.6 | 40 | |||
| 40–50 | 10.0 | 1.28 | 30 | 0.5 | 40 | |||
| 80–90 | 10.0 | 1.28 | 30 | 0.5 | 40 | |||
| Physical properties of AEWR agent | ||||||||
| Density (g/cm3) | Alkali Amount (kg/m3) | Water Reduction rate (%) | Bleeding Ratio (%) | Application | ||||
| 1.05 | 0.01 | 22 | 48 | Binder weight × 0.5∼2.5% | ||||
| Type | Gmax (mm) | W/B | S/a (%) | Unit Weight (kg/m3) | |||||||
|---|---|---|---|---|---|---|---|---|---|---|---|
| Water | Cement | Sand | Gravel | Silica Fume | Fly Ash | Colloidal Silica | AEWR | ||||
| OPC | 10 | 0.4 | 75 | 184 | 460 | 1218 | 417 | 4.14 (0.9%) | |||
| CS2.10 | 10 | 0.4 | 75 | 179 | 460 | 1222 | 418 | 9.2 | 6.90 (1.5%) | ||
| CS3.10 | 10 | 0.4 | 75 | 176 | 460 | 1224 | 419 | 13.8 | 7.80 (1.7%) | ||
| CS4.10 | 10 | 0.4 | 75 | 173 | 460 | 1227 | 420 | 18.4 | 8.28 (1.8%) | ||
| CS3.40 | 10 | 0.4 | 75 | 176 | 460 | 1224 | 419 | 13.8 | 5.52 (1.2%) | ||
| CS3.80 | 10 | 0.4 | 75 | 176 | 460 | 1224 | 419 | 13.8 | 5.06 (1.1%) | ||
| SF4 | 10 | 0.4 | 75 | 184 | 442 | 1213 | 415 | 18 | 5.52 (1.2%) | ||
| SF7 | 10 | 0.4 | 75 | 184 | 428 | 1210 | 414 | 32 | 5.52 (1.2%) | ||
| SF4. CS2.10 | 10 | 0.4 | 75 | 179 | 442 | 1217 | 416 | 18 | 13.8 | 6.90 (1.5%) | |
| FA20. CS2.10 | 10 | 0.4 | 75 | 179 | 368 | 1202 | 412 | 92 | 13.8 | 6.44 (1.4%) | |
| Run | Colloidal Silica (%) | Particle Size (nm) | Silica Fume (%) | Ultrafine Fly Ash (%) | AEWR (%) |
|---|---|---|---|---|---|
| 1 | - | - | - | - | 0.9 |
| 2 | 2 | 10 | - | - | 1.5 |
| 3 | 3 | 10 | - | - | 1.7 |
| 4 | 4 | 10 | - | - | 1.8 |
| 5 | 3 | 40 | - | - | 1.2 |
| 6 | 3 | 80 | - | - | 1.1 |
| 7 | - | - | 4 | - | 1.2 |
| 8 | - | - | 7 | - | 1.2 |
| 9 | 2 | 10 | 4 | - | 1.5 |
| 10 | 2 | 10 | - | 20 | 1.4 |
| Mixtures | Intercept | Slope | R2 | Standard Error | G (Nm) | H (Nm,s) |
|---|---|---|---|---|---|---|
| OPC | 0.163 | 0.114 | 0.994 | 0.015 | 1.45 | 8.7 |
| CS2.10 | 0.430 | 0.150 | 0.998 | 0.007 | 2.87 | 6.65 |
| CS3.10 | 0.496 | 0.162 | 0.997 | 0.010 | 3.06 | 6.15 |
| CS4.10 | 0.653 | 0.181 | 0.998 | 0.007 | 3.61 | 5.5 |
| CS3.40 | 0.422 | 0.154 | 0.998 | 0.007 | 2.74 | 6.49 |
| CS3.80 | 0.374 | 0.151 | 0.995 | 0.004 | 2.47 | 6.61 |
| SF4 | 0.492 | 0.179 | 0.995 | 0.013 | 2.75 | 5.54 |
| SF7 | 0.764 | 0.219 | 0.994 | 0.015 | 3.48 | 4.56 |
| SF4.CS2.10 | 0.810 | 0.198 | 0.998 | 0.007 | 4.09 | 5.04 |
| FA20. CS2.10 | 0.696 | 0.133 | 0.997 | 0.009 | 5.25 | 7.52 |
| Explanatory Variables | Dependent Variable | ||||||
|---|---|---|---|---|---|---|---|
| Mix Composition | Plastic Phase | Semi-Plastic Phase | |||||
| Air Content | Rheological Parameters | Strength Characteristics | |||||
| AEWR (%) | Before shooting (%) | After Shooting (%) | G (Nm) | H (Nm.s) | Compressive Strength (MPa) | Flexural Strength (MPa) | Average Crack Width (mm) |
| Model | Model I | Model II | Model III | |||||
|---|---|---|---|---|---|---|---|---|
| All Explanatory Variables | G and Compressive Strength | H and Compressive Strength | G and AEWR | H and AEWR | ||||
| Regression equation | Y = 0.78 −0.213x1 −0.022x2 | Y = 0.638 −0.203x1 +0.011x2 −0.018x3 | Y = 0.598 −0.254x1 −0.012x2 +0.001x3 −0.003x4 | Y = 1.068 −0.046x1 −0.054x2 | Y = 0.785 +0.029x1 −0.057x2 | Y = 0.585 −0.013x1 −0.263x2 | Y = 0.497 +0.009x1 −0.266x2 | |
| Regression Statistics | R Square | 0.863 | 0.877 | 0.870 | 0.800 | 0.785 | 0.870 | 0.870 |
| Adjusted R Square | 0.824 | 0.785 | 0.610 | 0.700 | 0.677 | 0.805 | 0.805 | |
| ANOVA test | Significance | 0.001 | 0.027 | 0.243 * | 0.040 | 0.046 | 0.017 | 0.017 |
| p-value | AEWR (%) | 0.004 | 0.072 * | 0.418 * | - | - | 0.049 | 0.040 |
| G (Nm) | - | - | 0.948 * | 0.283 * | - | 0.742 * | - | |
| H (Nm,s) | - | 0.669 * | 0.993 * | - | 0.344 * | - | 0.750 * | |
| Compressive strength (MPa) | 0.044 | 0.241 * | 0.970 * | 0.127 * | 0.119 * | - | - | |
| Information criteria | AIC | −6.554 | −6.093 | −5.898 | −5.753 | −5.680 | −6.183 | −6.181 |
| BIC | −6.493 | −6.064 | −5.922 | −5.769 | −5.695 | −6.199 | −6.197 | |
| Regression Equations | Regression Statistics | Crack Width Factors | Regression Equations | Regression Statistics | Crack Width factors | ||||||
|---|---|---|---|---|---|---|---|---|---|---|---|
| AWER | G | H | Compressive Strength | AWER | G | H | Compressive Strength | ||||
| Linear y = a + bx | R2 | 0.745 | 0.616 # | 0.613 | 0.506 | Quadratic y = a + b1x + b2x2 | R2 | 0.797 # | 0.623 | 0.626 | 0.746 # |
| R2adj | 0.713 | 0.539 # | 0.548 | 0.444 | R2adj | 0.739 # | 0.434 | 0.477 | 0.674 # | ||
| p | 0.001 | 0.037 # | 0.022 | 0.021 | p | 0.004 # | 0.142 * | 0.085 * | 0.008 # | ||
| AIC | −6.132 | −5.421 # | −5.446 | −5.470 | AIC | −6.359 # | −5.440 | −5.482 | −6.136 # | ||
| BIC | −6.101 | −5.428 # | −5.436 | −5.439 | BIC | −6.329 # | −5.447 | −5.472 | −6.106 # | ||
| Logarithmic y = b + alnx | R2 | 0.702 | 0.602 | 0.620 # | 0.452 | Cubic y = a + b1x2 + b2x3 | R2 | 0.809 | 0.956 | 0.629 | 0.745 |
| R2adj | 0.665 | 0.523 | 0.557 # | 0.383 | R2adj | 0.755 | 0.912 | 0.481 | 0.672 | ||
| p | 0.002 | 0.040 | 0.020 # | 0.033 | p | 0.003 | 0.016 | 0.084 * | 0.008 | ||
| AIC | −5.976 | −5.387 | −5.466 # | −5.365 | AIC | −6.422 | −7.584 | −5.489 | −6.131 | ||
| BIC | −5.946 | −5.394 | −5.456 # | −5.335 | BIC | −6.392 | −7.591 | −5.479 | −6.100 | ||
Disclaimer/Publisher’s Note: The statements, opinions and data contained in all publications are solely those of the individual author(s) and contributor(s) and not of MDPI and/or the editor(s). MDPI and/or the editor(s) disclaim responsibility for any injury to people or property resulting from any ideas, methods, instructions or products referred to in the content. |
© 2023 by the authors. Licensee MDPI, Basel, Switzerland. This article is an open access article distributed under the terms and conditions of the Creative Commons Attribution (CC BY) license (https://creativecommons.org/licenses/by/4.0/).
Share and Cite
Yun, K.-K.; Panov, V.; Han, S. Prediction of Plastic Shrinkage Cracking of Supplementary Cementitious Material-Modified Shotcrete Using Rheological and Mechanical Indicators. Materials 2023, 16, 7645. https://doi.org/10.3390/ma16247645
Yun K-K, Panov V, Han S. Prediction of Plastic Shrinkage Cracking of Supplementary Cementitious Material-Modified Shotcrete Using Rheological and Mechanical Indicators. Materials. 2023; 16(24):7645. https://doi.org/10.3390/ma16247645
Chicago/Turabian StyleYun, Kyong-Ku, Valerii Panov, and Seungyeon Han. 2023. "Prediction of Plastic Shrinkage Cracking of Supplementary Cementitious Material-Modified Shotcrete Using Rheological and Mechanical Indicators" Materials 16, no. 24: 7645. https://doi.org/10.3390/ma16247645
APA StyleYun, K.-K., Panov, V., & Han, S. (2023). Prediction of Plastic Shrinkage Cracking of Supplementary Cementitious Material-Modified Shotcrete Using Rheological and Mechanical Indicators. Materials, 16(24), 7645. https://doi.org/10.3390/ma16247645

