Optical and Structural Properties of Aluminum Nitride Epi-Films at Room and High Temperature
Abstract
:1. Introduction
2. Materials and Methods
3. Results and Discussion
3.1. Structural Characterization by High-Resolution X-ray Diffraction
3.2. Optical Transmission Spectroscopy Analysis for AlN
3.3. Cross-Sectional Morphologies of AlN
3.4. Spectroscopic Ellipsometry Analysis of AlN
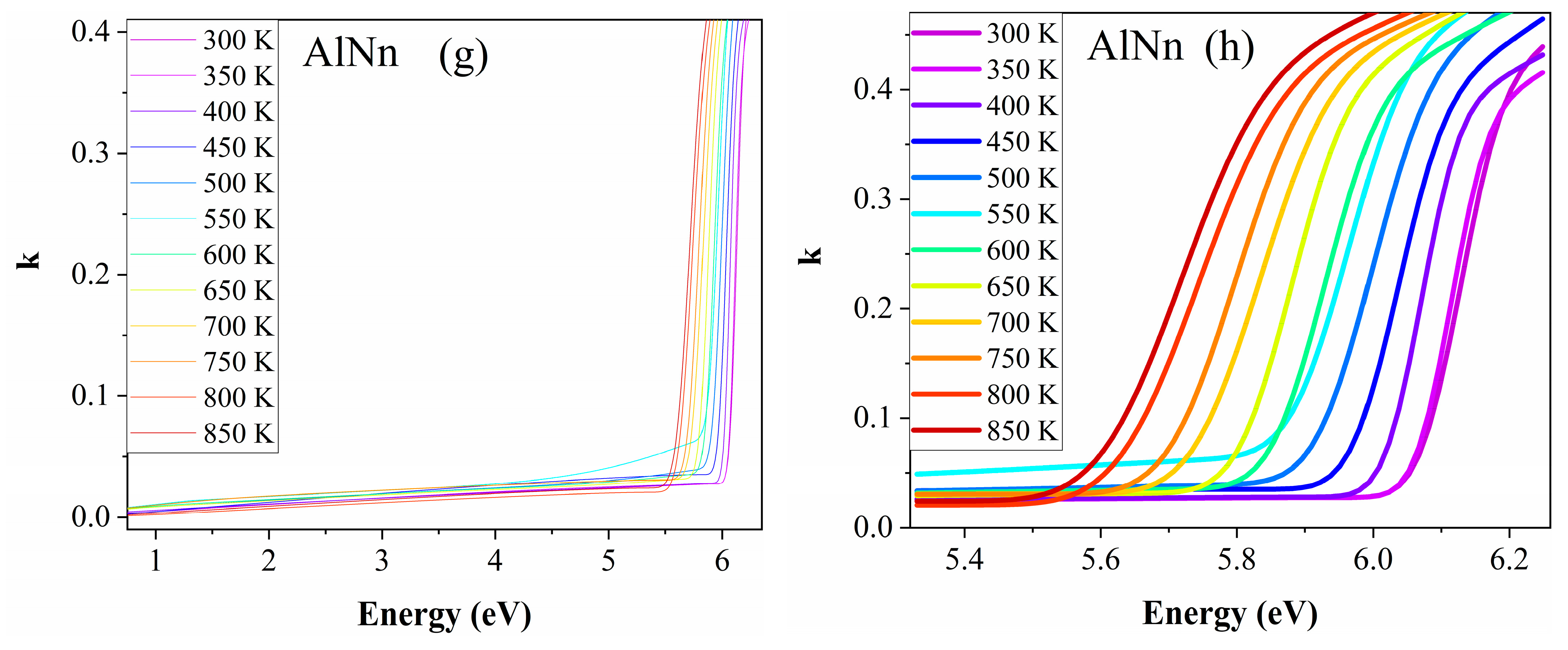
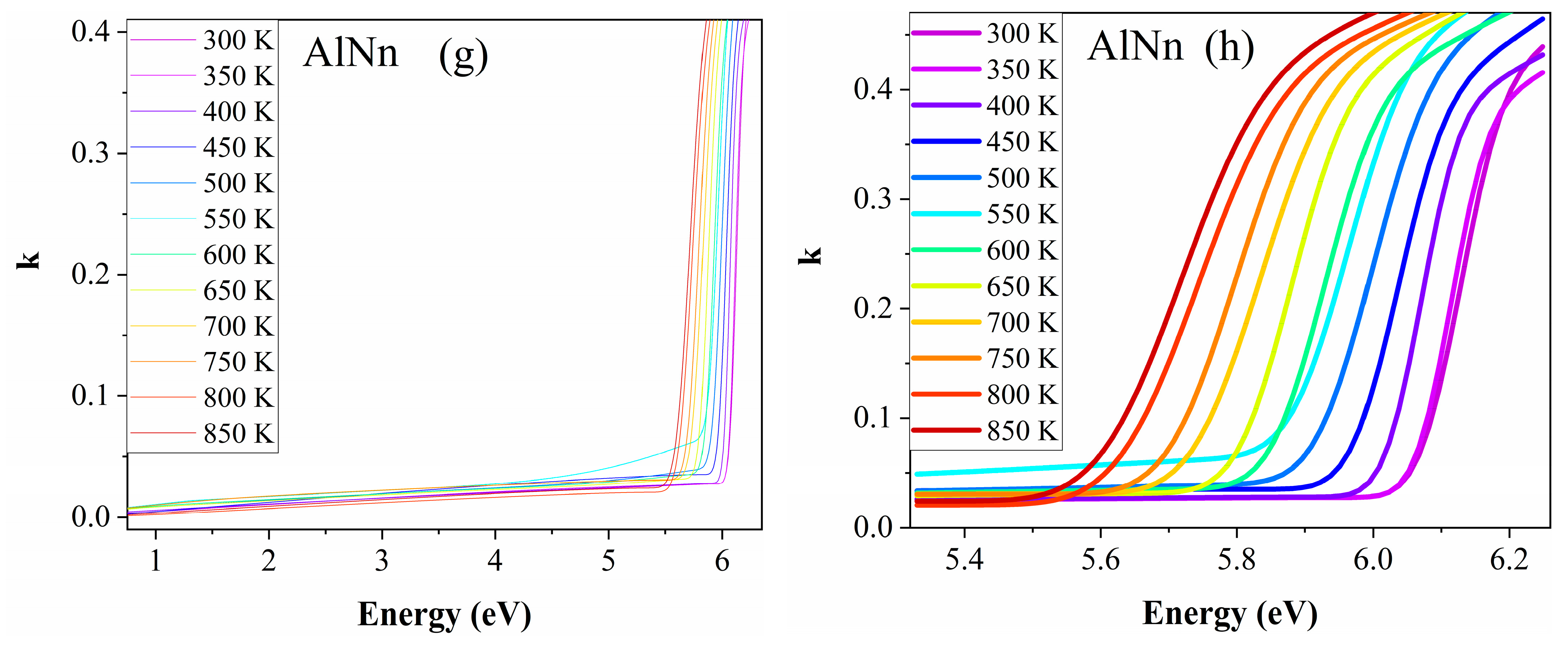
3.5. Temperature-Dependent SE Analysis of AlN
4. Conclusions
Author Contributions
Funding
Institutional Review Board Statement
Informed Consent Statement
Data Availability Statement
Conflicts of Interest
References
- Motamedi, P.; Cadien, K. Structural and optical characterization of low-temperature ALD crystalline AlN. J. Cryst. Growth 2015, 421, 45–52. [Google Scholar] [CrossRef]
- Taniyasu, Y.; Kasu, M.; Makimoto, T. An aluminum nitride light-emitting diode with a wavelength of 210 nanometers. Nature 2006, 441, 325–328. [Google Scholar] [CrossRef] [PubMed]
- Sun, X.; Li, D.; Chen, Y.; Song, H.; Jiang, H.; Jiang, Z.; Li, Z.; Miao, G.; Zhang, Z. In situ observation of two-step growth of AlN on sapphire using high-temperature metal-organic chemical vapor deposition. CrystEngComm 2013, 15, 6066–6073. [Google Scholar] [CrossRef]
- Liu, Z.Y.; Nong, M.T.; Lu, Y.; Cao, H.C.; Yuvaraja, S.; Xiao, N.; Alnakhli, Z.; Vázquez, R.R.A.; Li, X.H. Effect of the AlN strain compensation layer on InGaN quantum well red-light-emitting diodes beyond epitaxy. Opt. Lett. 2023, 47, 6229–6232. [Google Scholar] [CrossRef] [PubMed]
- Kim, N.; Yarali, M.; Moradnia, M.; Mehmood, M.A.; Liao, C.H.; AlQatari, F.; Nong, M.T.; Li, X.H.; Ryou, J.H. Piezoelectric Sensors Operating at Very High Temperatures and in Extreme Environments Made of Flexible Ultrawide-Bandgap Single-Crystalline AlN Thin Films. Adv. Funct. Mater. 2022, 33, 2212538. [Google Scholar] [CrossRef]
- Bersch, B.C.; Caminal Ros, T.; Tollefsen, V.; Johannessen, E.A.; Johannessen, A. Improved Crystallinity of Annealed 0002 AlN Films on Sapphire Substrate. Materials 2023, 16, 2319. [Google Scholar] [CrossRef] [PubMed]
- Kneissl, M.; Seong, T.; Han, J.; Amano, H. The emergence and prospects of deep-ultraviolet light-emitting diode technologies. Nat. Photonics 2019, 13, 233–244. [Google Scholar] [CrossRef]
- Jena, D.; Gossard, A.C.; Mishra, U.K. Dislocation scattering in a two-dimensional electron gas. Appl. Phys. Lett. 2000, 76, 1707–1709. [Google Scholar] [CrossRef]
- Mei, J.; Ponce, F.A.; Fareed, R.S.Q.; Yang, J.W.; Asif Khan, M. Dislocation generation at the coalescence of aluminum nitride lateral epitaxy on shallow-grooved sapphire substrates. Appl. Phys. Lett. 2007, 90, 221909. [Google Scholar] [CrossRef]
- Marino, F.A.; Faralli, N.; Palacios, T.; Ferry, D.K.; Goodnick, S.M.; Saraniti, M. Effects of threading dislocations on AlGaN/GaN high-electron mobility transistors. IEEE Trans. Electron Devices 2010, 57, 353–360. [Google Scholar] [CrossRef]
- Kaun, H.S.W.; Burke, P.G.; Hoi Wong, M.; Kyle, E.C.H.; Mishra, U.K.; Speck, J.S. Effect of dislocations on electron mobility in AlGaN/GaN and AlGaN/AlN/GaN heterostructures. Appl. Phys. Lett. 2012, 101, 262102. [Google Scholar] [CrossRef]
- Coltrin, M.E.; Creighton, J.R.; Mitchell, C.C. Modeling the parasitic chemical reactions of AlGaN organometallic vapor-phase epitaxy. J. Cryst. Growth 2006, 287, 566–571. [Google Scholar] [CrossRef]
- Imura, M.; Nakano, K.; Fujimoto, N.; Okada, N.; Balakrishnan, K.; Iwaya, M.; Kamiyama, S.; Amano, H.; Akasaki, I.; Noro, T. High-temperature metal-organic vapor phase epitaxial growth of AlN on sapphire by multi transition growth mode method varying V/III ratio. Jpn. J. Appl. Phys. 2006, 45, 8639–8643. [Google Scholar] [CrossRef]
- Imura, M.; Nakano, K.; Fujimoto, N.; Okada, N.; Balakrishnan, K.; Iwaya, M.; Kamiyama, S.; Amano, H.; Akasaki, I.; Noro, T. Dislocations in AlN epilayers grown on sapphire substrate by high-temperature metal-organic vapor phase epitaxy. Jpn. J. Appl. Phys. 2007, 46, 1458–1462. [Google Scholar] [CrossRef]
- Feng, Z.C.; Yang, H.; Yin, J.H.; Liu, Y.; Wu, F.; Dai, J.N.; Chen, C.Q.; He, K.Y.; Wan, L.Y.; Saravade, V.; et al. Crystalline and optical properties of AlN films with varying thicknesses (0.4-10 µm) grown on sapphire by metalorganic chemical vapor deposition. Thin Solid Films 2023, 780, 139939. [Google Scholar] [CrossRef]
- Yin, J.H.; Chen, D.H.; Yang, H.; Liu, Y.; Talwar, D.N.; He, T.L.; Ferguson, I.T.; He, K.Y.; Wan, L.Y.; Feng, Z.C. Comparative spectroscopic studies of MOCVD grown AlN films on Al2O3 and 6H-SiC. J. Alloy. Compd. 2021, 857, 157487. [Google Scholar] [CrossRef]
- Liu, Y.; Yang, Z.; Long, X.; Zhang, X.; Feng, Z.C. Effects of thickness and interlayer on optical properties of AlN films at room and high temperature. J. Vac. Sci. Technol. A 2021, 39, 043402. [Google Scholar] [CrossRef]
- Wei, W.W.; Peng, Y.; Wang, J.B.; Saleem, M.F.; Wang, W.; Li, L.; Wang, Y.K.; Sun, W.H. Temperature Dependence of Stress and Optical Properties in AlN Films Grown by MOCVD. Nanomaterials 2021, 11, 698. [Google Scholar] [CrossRef]
- Zhang, S.P.; Yang, H.; Wang, L.S.; Cheng, H.; Lu, H.X.; Yang, Y.L.; Wan, L.Y.; Xu, G.; Feng, Z.C.; Klein, B.; et al. Structural, Surface and Optical Studies of m- and c-Face AlN Crystals Grown by Physical Vapor Transport Method. Materials 2023, 16, 1925. [Google Scholar] [CrossRef]
- Nath, D.; Chakravarty, S.; Gupta, M.; Deshpande, U.P.; Abinash Bhuyan, C.; Chandra Shekar, N.V. Investigation of dilute ferromagnetism induced at room temperature in undoped crystalline AlN thin film after isothermal annealing in a controlled oxygen environment. J. Alloy. Compd. 2023, 967, 171727. [Google Scholar] [CrossRef]
- Chen, S.; Zhang, X.; Wang, S.C.; Fan, A.J.; He, J.Q.; Li, C.; Lu, L.; Rao, L.F.; Zhuang, Z.; Hu, G.H.; et al. High quality non-polar a-plane AlN template grown on semi-polar r-plane sapphire substrate by three-step pulsed flow growth method. J. Alloy. Compd. 2021, 872, 159706. [Google Scholar] [CrossRef]
- Wu, H.D.; Ning, J.; Zhang, J.C.; Zeng, Y.; Jia, Y.Q.; Zhao, J.L.; Bai, L.; Wang, Y.B.; Li, S.Y.; Wang, D.; et al. High quality AlN film assisted by graphene/sputtered AlN buffer layer for deep-ultraviolet-LED. Nanotechnology 2003, 34, 295202. [Google Scholar] [CrossRef]
- Namikawa, G.; Shojiki, K.; Yoshida, R.; Kusuda, R.; Uesugi, K.; Miyake, H.; Miyake, H. MOVPE growth of AlN and AlGaN films on N-polar annealed and sputtered AlN templates. J. Cryst. Growth 2023, 617, 127256. [Google Scholar] [CrossRef]
- Zhu, Y.M.; Zheng, W.; Zhu, S.Q.; Ding, Y.; Jia, L.M.; Huang, F. Laser tuning in AlN single crystals. Sci. China Mater. 2021, 64, 2877–2882. [Google Scholar] [CrossRef]
- Chen, L.; Lin, W.; Chen, H.Y.; Xu, H.Q.; Guo, C.Y.; Liu, Z.B.; Yan, J.C.; Sun, J.; Liu, H.; Wu, J.; et al. Annihilation and Regeneration of Defects in (112) Semipolar AlN via High-Temperature Annealing and MOVPE Regrowth. Cryst. Growth Des. 2021, 21, 2911−2919. [Google Scholar] [CrossRef]
- Luo, X.G.; Zhang, X.; Chen, B.; Shen, Y.; Tian, Y.; Fan, A.J.; Chen, S.; Qian, Y.D.; Zhuang, Z.; Hu, G.H. Improved surface morphology and crystalline quality of semi-polar (112) AlN epilayer with dual moderate-temperature-grown AlN interlayers. Mat. Sci. Semicon. Proc. 2022, 144, 106612. [Google Scholar] [CrossRef]
- Wang, J.M.; Xie, N.; Xu, F.J.; Zhang, L.S.; Lang, J.; Kang, X.N.; Qin, Z.X.; Yang, X.L.; Tang, N.; Wang, X.Q.; et al. Group-III nitride heteroepitaxial films approaching bulk-class quality. Nat. Mater. 2023, 22, 853–859. [Google Scholar] [CrossRef]
- Hasan, S.; Mamun, A.; Hussain, K.; Patel, D.; Gaevski, M.; Ahmad, I.; Khann, A. Investigation of MOCVD grown crack-free 4 μm thick aluminum nitride using nitrogen as a carrier gas. MRS Adv. 2021, 6, 456–460. [Google Scholar] [CrossRef]
- Nam, K.; Li, J.; Lin, J.; Jiang, H. Optical properties of AlN and GaN in elevated temperatures. Appl. Phys. Lett. 2004, 85, 3489–3491. [Google Scholar] [CrossRef]
- He, H.; Huang, L.; Zhang, Y.; Fu, Y.; Shen, X.; Zeng, J. Temperature dependence of the bandgap and Urbach’s tail in the transmittance spectra of wurtzite AlN film. Vacuum 2014, 100, 33–35. [Google Scholar] [CrossRef]
- Khedmi, N.; Ben Rabeh, M.; Kanzari, M. Structural morphological and optical properties of SnSb2S4 thin films grown by vacuum evaporation method. J. Mater. Sci. Technol. 2014, 30, 1006–1011. [Google Scholar] [CrossRef]
- Ahmad, A.A.; Alsaad, A.M.; Albiss, B.A.; Al-Akhras, M.A.; El-Nasser, H.M.; Qattan, I.A. Optical and structural properties of sputter deposited ZnO thin films in relevance to post-annealing and substrate temperatures. Thin Solid Films 2016, 606, 133–142. [Google Scholar] [CrossRef]
- Jiang, L.F.; Shen, W.Z.; Ogawa, H.; Guo, Q.X. Temperature dependence of the optical properties in hexagonal AlN. J. Appl. Phys. 2003, 94, 5704–5709. [Google Scholar] [CrossRef]
- Ahmad, A.A.; Alsaad, A.M.; Albiss, B.A.; Al-Akhras, M.A.; El-Nasser, H.M.; Qattan, I.A. The effect of substrate temperature on structural and optical properties of D.C. sputtered ZnO thin films. Physica B 2015, 21, 470–471. [Google Scholar] [CrossRef]
- Palik, E.D. Handbook of Optical Constants of Solids; Elsevier: London, UK, 1997. [Google Scholar]
- Sohal, S.; Feng, W.; Pandikunta, M.; Kuryatkov, V.V.; Nikishin, S.A.; Holtz, M. Influence of phonons on the temperature dependence of the band gap of AlN and AlxGa1-xN alloys with high AlN mole fraction. J. Appl. Phys. 2013, 113, 043501. [Google Scholar] [CrossRef]
- Tisch, U.; Meyler, B.; Katz, O.; Finkman, E.; Salzman, J. Dependence of the refractive index of AlxGa1-xN on temperature and composition at elevated temperatures. J. Appl. Phys. 2001, 89, 2676–2685. [Google Scholar] [CrossRef]

















| AlNt | AlNn | ||
|---|---|---|---|
| FWHM(0002)ω | (arcsec) | 438 ± 4 | 351 ± 5 |
| FWHM(0004)ω | (arcsec) | 434 ± 5 | 355 ± 6 |
| FWHM(0006)ω | (arcsec) | 531 ± 8 | 456 ± 8 |
| Crystallite size | (nm) | 68.72 ± 0.02 | 85.62 ± 0.03 |
| Micro-strain | (×10−3) | 0.50 ± 0.04 | 0.41 ± 0.05 |
| Screw dislocation density | (×10−5) (nm−2) | 1.07 ± 0.05 | 0.69 ± 0.06 |
| Sample Name | AlNt | AlNn |
|---|---|---|
| Surface roughness by SE (nm) | 3.07 ± 0.03 | 3.58 ± 0.05 |
| Thickness of epilayer by SE (nm) | 1776.35 ± 0.04 | 3666.17 ± 0.05 |
| Thickness of the buffer layer by SE (nm) | 21.27 ± 0.06 | 51.89 ± 0.06 |
| Thickness of AlN by SEM (μm) | 1.93 ± 0.05 | 4.29 ± 0.05 |
| Bandgap by SE (eV) | 6.11 ± 0.01 | 6.10 ± 0.02 |
| Bandgap by OT (eV) | 6.08 ± 0.03 | 6.05 ± 0.03 |
| Eu by SE (meV) | 50.08 ± 0.02 | 45.48 ± 0.02 |
| Eu by OT (meV) | 117.56 ± 0.03 | 99.97 ± 0.04 |
| Sample Name | Thickness | Adj.R-Square | Reference | ||
|---|---|---|---|---|---|
| (nm) | (meV) | (K) | |||
| AlNt | 1776.35 | 389 ± 100 | 800 ± 154 | 0.99645 | This work |
| AlNn | 3666.17 | 390 ± 102 | 795 ± 155 | 0.99639 | This work |
| S1 | 136.42 | 687 ± 72 | 1233 ± 73 | Ref. [17] | |
| S2 | 307.85 | 554 ± 54 | 1111 ± 64 | Ref. [17] | |
| S3 | 412.90 | 407 ± 36 | 977 ± 58 | Ref. [17] |
Disclaimer/Publisher’s Note: The statements, opinions and data contained in all publications are solely those of the individual author(s) and contributor(s) and not of MDPI and/or the editor(s). MDPI and/or the editor(s) disclaim responsibility for any injury to people or property resulting from any ideas, methods, instructions or products referred to in the content. |
© 2023 by the authors. Licensee MDPI, Basel, Switzerland. This article is an open access article distributed under the terms and conditions of the Creative Commons Attribution (CC BY) license (https://creativecommons.org/licenses/by/4.0/).
Share and Cite
Yang, Y.; Liu, Y.; Wang, L.; Zhang, S.; Lu, H.; Peng, Y.; Wei, W.; Yang, J.; Feng, Z.C.; Wan, L.; et al. Optical and Structural Properties of Aluminum Nitride Epi-Films at Room and High Temperature. Materials 2023, 16, 7442. https://doi.org/10.3390/ma16237442
Yang Y, Liu Y, Wang L, Zhang S, Lu H, Peng Y, Wei W, Yang J, Feng ZC, Wan L, et al. Optical and Structural Properties of Aluminum Nitride Epi-Films at Room and High Temperature. Materials. 2023; 16(23):7442. https://doi.org/10.3390/ma16237442
Chicago/Turabian StyleYang, Yanlian, Yao Liu, Lianshan Wang, Shuping Zhang, Haixia Lu, Yi Peng, Wenwang Wei, Jia Yang, Zhe Chuan Feng, Lingyu Wan, and et al. 2023. "Optical and Structural Properties of Aluminum Nitride Epi-Films at Room and High Temperature" Materials 16, no. 23: 7442. https://doi.org/10.3390/ma16237442
APA StyleYang, Y., Liu, Y., Wang, L., Zhang, S., Lu, H., Peng, Y., Wei, W., Yang, J., Feng, Z. C., Wan, L., Klein, B., Ferguson, I. T., & Sun, W. (2023). Optical and Structural Properties of Aluminum Nitride Epi-Films at Room and High Temperature. Materials, 16(23), 7442. https://doi.org/10.3390/ma16237442

