Field Measurement and Analysis on the Mechanical Response of Asphalt Pavement Using Large-Particle-Size Crushed Stone Base Treated with Fly Ash and Slag Powder
Abstract
:1. Introduction
2. Field Data Collection
2.1. Pavement Structures and Materials
2.2. Strain Gauge Installation and Field Testing
2.2.1. Installation of Strain Gauges
2.2.2. Strain Measurements
3. Results and Discussion
3.1. Strain Pulse Analysis
3.2. Effect of Different Loading Conditions on Strain Response
3.2.1. Effect of Vehicular Speed on Representative Values of Strain
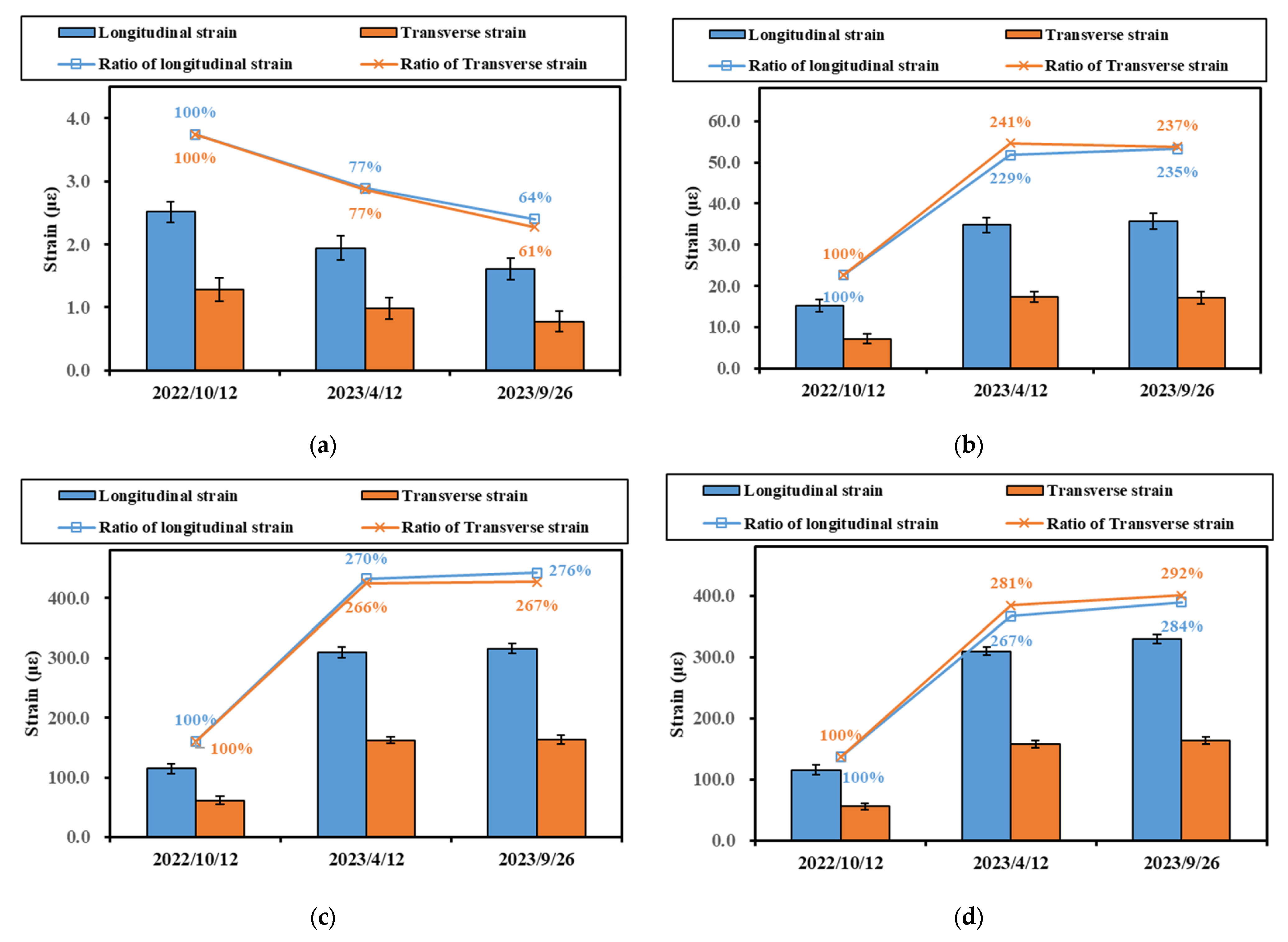
3.2.2. Effect of Measurement Date on Representative Values of Strain
3.2.3. Effect of Layer Positions on Representative Values of Strain
3.2.4. Effect of Base Layer Type on Representative Values of Strain
3.3. Statistical Analysis
3.4. Strain Prediction Equations
4. Conclusions
- The transverse strain pulse of the asphalt layer was mainly characterized by tensile strain, whereas the longitudinal strain was characterized by alternating “tensile–compressive–tensile” Strain. For the base layer, both the transverse and the longitudinal strain were tensile. The type of base layer did not affect the strain pulse characteristics.
- Based on the sensitivity analysis of the strain value, it can be seen that vehicular speed and measurement date had a relatively significant impact. The strain values of both the asphalt and the base layer decreased with increasing vehicular speed. In the case of the asphalt layers, the measurement date could be characterized using temperature values, and in the case of the base layers, using the service time indicator. Thus, the strain in the asphalt layer increased as the temperature increased, and the strain in the base layer decreased as the service time increased.
- Compared to the conventional cement-stabilized crushed stone base, the base treated with fly ash and slag powder with large-particle-size crushed stone presented a smaller strain for the bottom of the upper base layer and the ATB-25 layer under different measurement dates. The results indicate that the upper base and the bottom of the asphalt layers were less prone to cracking, which could extend the life of the asphalt pavement.
- The interaction of vehicular speed and temperature for the asphalt layers was significant. There was no interaction between vehicular speed, base type, and temperature, for the AC-20 and the AC-13 layers. Based on the results of multifactor analysis of variance, strain prediction equations for different base types with different positions were proposed. The prediction equations can provide a reference for pavement design and life prediction.
Author Contributions
Funding
Institutional Review Board Statement
Informed Consent Statement
Data Availability Statement
Conflicts of Interest
References
- Assogba, O.C.; Tan, Y.; Sun, Z.; Lushinga, N.; Bin, Z. Effect of vehicle speed and overload on dynamic response of semi-rigid base asphalt pavement. Road Mater. Pavement Des. 2021, 22, 572–602. [Google Scholar] [CrossRef]
- Ai, C.; Rahman, A.; Xiao, C.; Yang, E.; Qiu, Y. Analysis of measured strain response of asphalt pavements and relevant prediction models. Int. J. Pavement Eng. 2017, 18, 1089–1097. [Google Scholar] [CrossRef]
- Jin, T.; Liu, L.; Yang, R.; Sun, L.; Yuan, J. Investigation of interlayer bonding performance between asphalt concrete overlay and Portland cement concrete using inclined shear fatigue test. Constr. Build. Mater. 2023, 400, 132681. [Google Scholar] [CrossRef]
- Zhang, P.; Li, Q.; Liu, C. Prediction of shrinkage cracking and corresponding cracking prevention measure of the semi-rigid base layer. Int. J. Pavement Eng. 2009, 10, 383–388. [Google Scholar]
- Adaska, W.S.; Luhr, D.R. Control of reflective cracking in cement stabilized pavements. In Proceedings of the 5th International RILEM Conference on Cracking in Pavements, Limoges, France, 5–7 May 2004. [Google Scholar]
- Pan, Y.; Yang, T.; Shang, Y.; Lin, M.; Liu, G.; Xie, Y.; Zhao, Y. Field and laboratory evaluations of maintenance treatments for semi-rigid base asphalt pavement. Constr. Build. Mater. 2020, 258, 119726. [Google Scholar] [CrossRef]
- Hu, Z. Experimental Study on Propertiesof Pavement Base Course Using Cement Stabilized Large-sized Recycled Concrete Aggregate. Master’s Thesis, Shandong University of Technology, Zibo, China, 2016. [Google Scholar]
- Zhu, Z. Application Research on Largestone Filled with Cementstabilized Macadam Base. Master’s Thesis, Southeast University, Nanjing, China, 2017. [Google Scholar]
- Tan, B.; Yang, T.; Qin, H.; Liu, Q. Laboratory study on the stability of large-size graded crushed stone under cyclic rotating axial compression. Materials 2021, 14, 1584. [Google Scholar] [CrossRef] [PubMed]
- Ding, X.; Gan, X.; Liu, Q.; Li, C. Research on the Gradation Design Method of Super Large Particle Size Gravel Base Based on Recycled Cementitious Materials. Highway 2023, 68, 42–49. [Google Scholar]
- Cheng, H.; Liu, L.; Sun, L.; Yang, R.; Zhang, Y. Relating Field Moduli of Asphalt Mixture Layer under Vehicular Loading and Its Dynamic Moduli Under Laboratory Loading. In Transportation Research Record; SAGE Publications Ltd.: Thousand Oaks, CA, USA, 2022; pp. 567–579. [Google Scholar]
- Cheng, H.; Liu, L.; Sun, L. Bridging the gap between laboratory and field moduli of asphalt layer for pavement design and assessment: A comprehensive loading frequency-based approach. Front. Struct. Civ. Eng. 2022, 16, 267–280. [Google Scholar] [CrossRef]
- Chatti, K.; Kim, H.B.; Yun, K.K.; Mahoney, J.P.; Monismith, C.L. Field investigation into effects of vehicle speed and tire pressure on asphalt concrete pavement strains. Transp. Res. Rec. 1996, 1539, 66–71. [Google Scholar] [CrossRef]
- Al-Qadi, I.L.; Loulizi, A.; Elseifi, M.; Lahouar, S. The Virginia Smart Road: The impact of pavement instrumentation on understanding pavement performance. J. Assoc. Asph. Paving Technol. 2004, 73, 427–465. [Google Scholar]
- Timm, D.H.; Priest, A.L. Dynamic Pavement Response Data Collection and Processing at the NCAT Test Track; NCAT Report 04-032004; National Center for Asphalt Technology: Auburn, AL, USA, 2004. [Google Scholar]
- Timm, D.H.; Priest, A.L.; McEwen, T.V. Design and Instrumentation of the Structural Pavement Experiment at the NCAT Test Track; National Center for Asphalt Technology: Auburn, AL, USA, 2004. [Google Scholar]
- Bayat, A.; Knight, M. Investigation of hot-mix asphalt dynamic modulus by means of field-measured pavement response. Transp. Res. Rec. 2010, 2154, 138–145. [Google Scholar] [CrossRef]
- Zha, X.; Zhang, Q. Laboratory Study on the Asphalt Pavement Structure. China Civ. Eng. J. 2000, 33, 92–96. [Google Scholar]
- Chen, F.; Tan, Y.; Dong, Z.; Liu, H.; Wang, B.X. Research on Strain Field of Asphalt Pavement Based on FBG Sensor Technique. J. Highw. Transp. Res. Dev. 2008, 25, 9–12. [Google Scholar]
- Dong, Z.; Liu, H.; Tan, Y.; Chen, F.; Wang, B.X. Field Measurement of Three-direction Strain Response of Asphalt Pavement. J. South China Univ. Technol. 2009, 37, 46–51. [Google Scholar]
- Assogba, O.C.; Tan, Y.; Zhou, X.; Zhang, C.; Anato, J.N. Numerical investigation of the mechanical response of semi-rigid base asphalt pavement under traffic load and nonlinear temperature gradient effect. Constr. Build. Mater. 2020, 235, 117406. [Google Scholar] [CrossRef]
- Cheng, H.; Liu, L.; Sun, L.; Li, Y.; Hu, Y. Comparative analysis of strain-pulse-based loading frequencies for three types of asphalt pavements via field tests with moving truck axle loading. Constr. Build. Mater. 2020, 247, 118519. [Google Scholar] [CrossRef]
- Yang, S.; Qi, B.; Cao, Z.; Zhang, S.; Cheng, H.; Yang, R. Comparisons between Asphalt Pavement Responses under Vehicular Loading and FWD Loading. Adv. Mater. Sci. Eng. 2020, 2020, 5269652. [Google Scholar] [CrossRef]
- Cheng, H.; Wang, Y.; Liu, L.; Sun, L.; Hu, Y.; Li, Y. Back-Calculation of the Moduli of Asphalt Pavement Layer Using Accelerated Pavement Testing Data; Chabot, A., Hornych, P., Harvey, J., Loria-Salazar, L.G., Eds.; Springer: Berlin/Heidelberg, Germany, 2020; pp. 379–388. [Google Scholar]
- Li, Y.; Li, J.; Hu, Y.; Sun, L. Frequency adjustment method for in-situ seismic modulus of asphalt concrete. Int. J. Pavement Eng. 2022, 23, 2342–2350. [Google Scholar] [CrossRef]
- Cheng, H.L.; Li, B.; Liu, L.P.; Sun, L.J. Evaluation of Master Curve of Response-based Modulus for Asphalt Pavement Layer Under Vehicular Loading. Zhongguo Gonglu Xuebao/China J. Highw. Transp. 2020, 33, 125–134. [Google Scholar]













| Sum of Squares | DOF | Mean Square | F-Ratio | p-Value | |
|---|---|---|---|---|---|
| Vehicular speed (X1) | 52,380.3 | 4 | 13,095.1 | 121.728 | 0.000 * |
| Measurement date (X2) | 17,784.7 | 2 | 8892.4 | 82.661 | 0.000 * |
| Base layer type (X3) | 2933.6 | 1 | 2933.6 | 27.270 | 0.001 * |
| X1 × X2 | 8652.8 | 8 | 1081.6 | 10.054 | 0.002 * |
| X1 × X3 | 539.8 | 4 | 135.0 | 1.255 | 0.363 |
| X2 × X3 | 78.2 | 2 | 39.1 | 0.364 | 0.706 |
| Error | 860.6 | 8 | 107.6 | ||
| Total | 83,230.0 | 29 |
| p-Value | Vehicular Speed (X1) | Measurement Date (X2) | Base Layer Type (X3) | X1 × X2 | X1 × X3 | X2 × X3 |
|---|---|---|---|---|---|---|
| Longitudinal strain at the bottom of the upper base layer | 0.000 * | 0.000 * | 0.001 * | 0.049 * | 0.000 * | 0.001 * |
| Transverse strain at the bottom of the upper base layer | 0.000 * | 0.000 * | 0.242 | 0.165 | 0.000 * | 0.009 * |
| Longitudinal strain at the bottom of the ATB-25 layer | 0.000 * | 0.000 * | 0.000 * | 0.000 * | 0.000 * | 0.000 * |
| Transverse strain at the bottom of the ATB-25 layer | 0.000 * | 0.000 * | 0.000 * | 0.000 * | 0.000 * | 0.000 * |
| Longitudinal strain at the bottom of the AC-20 layer | 0.000 * | 0.000 * | 0.001 * | 0.002 * | 0.363 | 0.706 |
| Transverse strain at the bottom of the AC-20 layer | 0.000 * | 0.000 * | 0.000 * | 0.000 * | 0.764 | 0.405 |
| Longitudinal strain at the bottom of the AC-13 layer | 0.000 * | 0.000 * | 0.000 * | 0.000 * | 0.240 | 0.112 |
| Transverse strain at the bottom of the AC-13 layer | 0.000 * | 0.000 * | 0.012 * | 0.000 * | 0.705 | 0.201 |
| Section and Layer Positions | a1 | b1 | c1 | R2 | |
|---|---|---|---|---|---|
| Section 1 | Longitudinal strain at the bottom of the upper base layer | −0.0060 | 1.1553 | −0.3993 | 0.88 |
| Transverse strain at the bottom of the upper base layer | −0.0097 | 2.3374 | −0.3546 | 0.92 | |
| Section 2 | Longitudinal strain at the bottom of the upper base layer | −0.0227 | 1.5619 | −0.1512 | 0.62 |
| Transverse strain at the bottom of the upper base layer | −0.0294 | 2.7018 | −0.1700 | 0.55 | |
| Section and Layer Positions | a2 | b2 | c2 | R2 | |
|---|---|---|---|---|---|
| Section 1 | Longitudinal strain at the bottom of the ATB-25 layer | −0.0154 | 1.1284 | 0.0726 | 0.73 |
| Transverse strain at the bottom of the ATB-25 layer | −0.0275 | 1.9673 | 0.0771 | 0.76 | |
| Longitudinal strain at the bottom of the AC-20 layer | −0.0824 | 5.7882 | 0.0905 | 0.80 | |
| Transverse strain at the bottom of the AC-20 layer | −0.1548 | 10.9078 | 0.0907 | 0.80 | |
| Longitudinal strain at the bottom of the AC-13 layer | −0.0718 | 5.0274 | 0.0932 | 0.79 | |
| Transverse strain at the bottom of the AC-13 layer | −0.1430 | 10.0641 | 0.0934 | 0.80 | |
| Section 2 | Longitudinal strain at the bottom of the ATB-25 layer | −0.0763 | 5.4749 | 0.0635 | 0.82 |
| Transverse strain at the bottom of the ATB-25 layer | −0.1448 | 10.3514 | 0.0612 | 0.81 | |
| Longitudinal strain at the bottom of the AC-20 layer | −0.2345 | 16.9656 | 0.0654 | 0.83 | |
| Transverse strain at the bottom of the AC-20 layer | −0.4147 | 29.9685 | 0.0644 | 0.81 | |
| Longitudinal strain at the bottom of the AC-13 layer | −0.1329 | 9.5045 | 0.0652 | 0.82 | |
| Transverse strain at the bottom of the AC-13 layer | −0.3530 | 25.5242 | 0.0630 | 0.81 | |
Disclaimer/Publisher’s Note: The statements, opinions and data contained in all publications are solely those of the individual author(s) and contributor(s) and not of MDPI and/or the editor(s). MDPI and/or the editor(s) disclaim responsibility for any injury to people or property resulting from any ideas, methods, instructions or products referred to in the content. |
© 2023 by the authors. Licensee MDPI, Basel, Switzerland. This article is an open access article distributed under the terms and conditions of the Creative Commons Attribution (CC BY) license (https://creativecommons.org/licenses/by/4.0/).
Share and Cite
Yang, R.; Gan, X.; Liu, L.; Sun, L.; Yuan, J. Field Measurement and Analysis on the Mechanical Response of Asphalt Pavement Using Large-Particle-Size Crushed Stone Base Treated with Fly Ash and Slag Powder. Materials 2023, 16, 7277. https://doi.org/10.3390/ma16237277
Yang R, Gan X, Liu L, Sun L, Yuan J. Field Measurement and Analysis on the Mechanical Response of Asphalt Pavement Using Large-Particle-Size Crushed Stone Base Treated with Fly Ash and Slag Powder. Materials. 2023; 16(23):7277. https://doi.org/10.3390/ma16237277
Chicago/Turabian StyleYang, Ruikang, Xinzhong Gan, Liping Liu, Lijun Sun, and Jiang Yuan. 2023. "Field Measurement and Analysis on the Mechanical Response of Asphalt Pavement Using Large-Particle-Size Crushed Stone Base Treated with Fly Ash and Slag Powder" Materials 16, no. 23: 7277. https://doi.org/10.3390/ma16237277
APA StyleYang, R., Gan, X., Liu, L., Sun, L., & Yuan, J. (2023). Field Measurement and Analysis on the Mechanical Response of Asphalt Pavement Using Large-Particle-Size Crushed Stone Base Treated with Fly Ash and Slag Powder. Materials, 16(23), 7277. https://doi.org/10.3390/ma16237277

