Graphite Equivalent Evaluation of Anthracite-Associated Graphite by Raman Spectroscopy
Abstract
:1. Introduction
2. Materials and Methods
2.1. Materials
2.2. Methods
3. Results and Discussion
3.1. Data Preprocessing
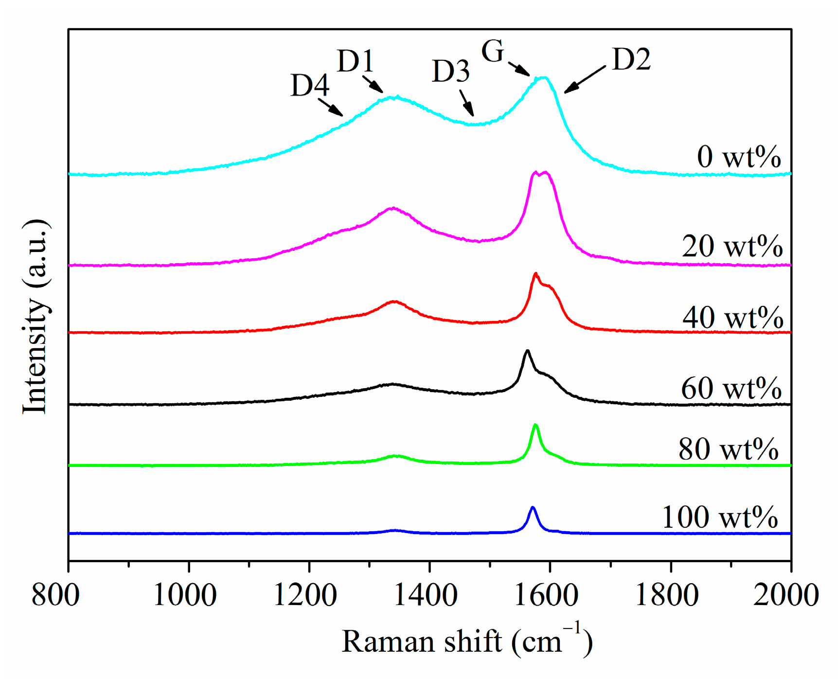
3.2. Characteristic Peak Analysis of Standard Samples
3.3. Establishment of Quantitative Relationships
4. Conclusions
Author Contributions
Funding
Institutional Review Board Statement
Informed Consent Statement
Data Availability Statement
Conflicts of Interest
References
- Arnold, B.J. Coal formation. In The Coal Handbook; Woodhead Publishing: Cambridge, UK, 2023; pp. 3–21. [Google Scholar]
- Mathews, J.P.; Sharma, A. The structural alignment of coal and the analogous case of Argonne Upper Freeport coal. Fuel 2012, 95, 19–24. [Google Scholar] [CrossRef]
- Suchý, V.; Zachariáš, J.; Sýkorová, I.; Kořínková, D.; Pešek, J.; Pachnerová Brabcová, K.; Luo, Q.; Filip, J.; Světlík, I. Palaeo-thermal history of the Blanice Graben (the Bohemian Massif, Czech Republic): The origin of anthracite in a late-Variscan strike-slip basin. Int. J. Coal Geol. 2022, 263, 104129. [Google Scholar] [CrossRef]
- Buseck, P.R.; Beyssac, O. From Organic Matter to Graphite: Graphitization. Elements 2014, 10, 421–426. [Google Scholar] [CrossRef]
- Li, J.; Qin, Y.; Chen, Y.; Shen, J.; Song, Y.; Wang, Z. Structural characteristics and evolution of meta-anthracite to coaly graphite: A quantitative investigation using X-ray diffraction, Raman spectroscopy, and high-resolution transmission electron microscopy. Fuel 2023, 333, 126334. [Google Scholar] [CrossRef]
- Zhang, S.; Song, B.; Cao, C.; Zhang, H.; Liu, Q.; Li, K.; Teppen, B.J. Structural evolution of high-rank coals during coalification and craphitization: X-ray diffraction, Raman spectroscopy, High-resolution transmission electron microscopy, and reactive force field molecular dynamics simulation study. Energy Fuels 2021, 35, 2087–2097. [Google Scholar] [CrossRef]
- Cameán, I.; Lavela, P.; Tirado, J.L.; García, A.B. On the electrochemical performance of anthracite-based graphite materials as anodes in lithium-ion batteries. Fuel 2010, 89, 986–991. [Google Scholar] [CrossRef]
- Li, Y.; Tian, X.-D.; Song, Y.; Yang, T.; Wu, S.-J.; Liu, Z.-J. Preparation and lithium storage of anthracite-based graphite anode materials. New Carbon Mater. 2022, 37, 1163–1169. [Google Scholar] [CrossRef]
- Yuan, Y.; Zhang, L.; Qiu, Y.; Jiao, X. Experimental study on chemical purification of flake graphite in Mozambique. Bull. Chin. Ceram. Soc. 2017, 36, 2600–2606. [Google Scholar]
- Zhao, X.; Shi, Q.; Ren, R.; Zhang, Q.; Zhang, X. Identification of amorphous graphite based anthracite. Bull. Chin. Ceram. Soc. 2016, 35, 933–937. [Google Scholar]
- Geng, W.; Kumabe, Y.; Nakajima, T.; Takanashi, H.; Ohki, A. Analysis of hydrothermally-treated and weathered coals by X-ray photoelectron spectroscopy (XPS). Fuel 2009, 88, 644–649. [Google Scholar] [CrossRef]
- Okolo, G.N.; Neomagus, H.W.J.P.; Everson, R.C.; Roberts, M.J.; Bunt, J.R.; Sakurovs, R.; Mathews, J.P. Chemical–structural properties of South African bituminous coals: Insights from wide angle XRD–carbon fraction analysis, ATR–FTIR, solid state 13 C NMR, and HRTEM techniques. Fuel 2015, 158, 779–792. [Google Scholar] [CrossRef]
- Sonibare, O.O.; Haeger, T.; Foley, S.F. Structural characterization of Nigerian coals by X-ray diffraction, Raman and FTIR spectroscopy. Energy 2010, 35, 5347–5353. [Google Scholar] [CrossRef]
- Wang, J.; He, Y.; Li, H.; Yu, J.; Xie, W.; Wei, H. The molecular structure of Inner Mongolia lignite utilizing XRD, solid state 13C NMR, HRTEM and XPS techniques. Fuel 2017, 203, 764–773. [Google Scholar] [CrossRef]
- Xia, W.; Yang, J.; Liang, C. Investigation of changes in surface properties of bituminous coal during natural weathering processes by XPS and SEM. Appl. Surf. Sci. 2014, 293, 293–298. [Google Scholar] [CrossRef]
- Li, K.; Liu, Q.; Cheng, H.; Hu, M.; Zhang, S. Classification and carbon structural transformation from anthracite to natural coaly graphite by XRD, Raman spectroscopy, and HRTEM. Spectrochim. Acta A Mol. Biomol. Spectrosc. 2021, 249, 119286. [Google Scholar] [CrossRef]
- Fen-Rong, L.; Wen, L.; Hui-Qing, G.; Bao-Qing, L.; Zong-Qing, B.; Rui-Sheng, H. XPS study on the change of carbon-containing groups and sulfur transformation on coal surface. J. Fuel Chem. Technol. 2011, 39, 81–84. [Google Scholar] [CrossRef]
- Hinrichs, R.; Brown, M.T.; Vasconcellos, M.A.Z.; Abrashev, M.V.; Kalkreuth, W. Simple procedure for an estimation of the coal rank using micro-Raman spectroscopy. Int. J. Coal Geol. 2014, 136, 52–58. [Google Scholar] [CrossRef]
- Wu, D.; Chen, B.; Sun, R.; Liu, G. Thermal behavior and Raman spectral characteristics of step-heating perhydrous coal: Implications for thermal maturity process. J. Anal. Appl. Pyrolysis 2017, 128, 143–155. [Google Scholar] [CrossRef]
- Liu, X.-F.; You, J.-L.; Wang, Y.-Y.; Lu, L.-M.; Xie, Y.-F.; Yu, I.-W.; Fu, Q. Raman spectroscopic study on the pyrolysis of Australian bituminous coal. J. Fuel Chem. Technol. 2014, 42, 270–276. [Google Scholar] [CrossRef]
- Rantitsch, G.; Lämmerer, W.; Fisslthaler, E.; Mitsche, S.; Kaltenböck, H. On the discrimination of semi-graphite and graphite by Raman spectroscopy. Int. J. Coal Geol. 2016, 159, 48–56. [Google Scholar] [CrossRef]
- Li, X.; Zeng, F.; Wang, W.; Dong, K. Raman characterization of structural evolution in the low-middle rank coals. J. China Coal Soc. 2016, 41, 2298–2304. [Google Scholar]
- Guedes, A.; Valentim, B.; Prieto, A.C.; Noronha, F. Raman spectroscopy of coal macerals and fluidized bed char morphotypes. Fuel 2012, 97, 443–449. [Google Scholar] [CrossRef]
- Guedes, A.; Valentim, B.; Prieto, A.C.; Rodrigues, S.; Noronha, F. Micro-Raman spectroscopy of collotelinite, fusinite and macrinite. Int. J. Coal Geol. 2010, 83, 415–422. [Google Scholar] [CrossRef]
- Kwiecinska, B.; Suárez-Ruiz, I.; Paluszkiewicz, C.; Rodriques, S. Raman spectroscopy of selected carbonaceous samples. Int. J. Coal Geol. 2010, 84, 206–212. [Google Scholar] [CrossRef]
- Marques, M.; Suárez-Ruiz, I.; Flores, D.; Guedes, A.; Rodrigues, S. Correlation between optical, chemical and micro-structural parameters of high-rank coals and graphite. Int. J. Coal Geol. 2009, 77, 377–382. [Google Scholar] [CrossRef]
- Schmidt Mumm, A.; İnan, S. Microscale organic maturity determination of graptolites using Raman spectroscopy. Int. J. Coal Geol. 2016, 162, 96–107. [Google Scholar] [CrossRef]
- Tan, P.; Dimovski, S.; Gogotsi, Y. Raman scattering of non-planar graphite: Arched edges, polyhedral crystals, whiskers and cones. Philos. Trans. A Math. Phys. Eng. Sci. 2004, 362, 2289–2310. [Google Scholar] [CrossRef]
- Quirico, E.; Rouzaud, J.N.; Bonal, L.; Montagnac, G. Maturation grade of coals as revealed by Raman spectroscopy: Progress and problems. Spectrochim. Acta A Mol. Biomol. Spectrosc. 2005, 61, 2368–2377. [Google Scholar] [CrossRef]






| Sample Number | Average AD/(AD + AG) | Graphite Content (wt%) | Relative Standard Deviation (RSD) | Sample Number | Average AD/(AD + AG) | Graphite Content (wt%) | Relative Standard Deviation (RSD) |
|---|---|---|---|---|---|---|---|
| A1 | 0.6731 | 36.27 | 19.08% | A51 | 0.3574 | 87.24 | 0.33% |
| A2 | 0.6537 | 44.97 | 39.57% | A52 | 0.4233 | 86.16 | 0.66% |
| A3 | 0.3472 | 87.39 | 0.57% | A53 | 0.3948 | 86.74 | 0.37% |
| A4 | 0.4966 | 82.09 | 5.78% | A54 | 0.3441 | 87.44 | 0.36% |
| A5 | 0.3534 | 87.30 | 0.40% | A55 | 0.3238 | 87.85 | 0.45% |
| A6 | 0.3673 | 87.11 | 0.45% | A56 | 0.3544 | 87.29 | 0.31% |
| A7 | 0.3581 | 87.23 | 0.20% | A57 | 0.4893 | 82.74 | 6.38% |
| A8 | 0.3747 | 87.02 | 0.36% | A58 | 0.4392 | 85.66 | 19.62% |
| A9 | 0.2620 | 90.68 | 3.31% | A59 | 0.5773 | 69.49 | 74.57% |
| A10 | 0.4000 | 86.65 | 0.08% | A60 | 0.4510 | 85.18 | 35.09% |
| A11 | 0.6470 | 47.75 | 9.80% | A61 | 0.3427 | 87.47 | 8.79% |
| A12 | 0.5941 | 65.31 | 10.24% | A62 | 0.3372 | 87.56 | 0.19% |
| A13 | 0.6686 | 38.38 | 29.68% | A63 | 0.3534 | 87.30 | 0.31% |
| A14 | 0.6098 | 60.83 | 5.84% | A64 | 0.4706 | 84.11 | 0.66% |
| A15 | 0.5035 | 81.42 | 8.13% | A65 | 0.3654 | 87.14 | 0.24% |
| A16 | 0.6293 | 54.42 | 21.36% | A66 | 0.3851 | 86.88 | 0.50% |
| A17 | 0.5077 | 80.98 | 3.03% | A67 | 0.4902 | 82.67 | 3.80% |
| A18 | 0.5888 | 66.70 | 2.72% | A68 | 0.4902 | 82.67 | 3.27% |
| A19 | 0.6020 | 63.12 | 17.73% | A69 | 0.4686 | 84.24 | 0.79% |
| A20 | 0.4716 | 84.05 | 2.50% | A70 | 0.3277 | 87.76 | 0.26% |
| A21 | 0.4662 | 84.38 | 2.13% | A71 | 0.4405 | 85.61 | 2.09% |
| A22 | 0.4644 | 84.49 | 3.02% | A72 | 0.4137 | 86.39 | 0.58% |
| A23 | 0.4580 | 84.84 | 0.75% | A73 | 0.4176 | 86.30 | 0.72% |
| A24 | 0.5773 | 69.49 | 9.02% | A74 | 0.4463 | 85.38 | 0.80% |
| A25 | 0.4625 | 84.60 | 1.94% | A75 | 0.5536 | 74.37 | 1.52% |
| A26 | 0.3910 | 86.80 | 0.39% | A76 | 0.4898 | 82.70 | 3.41% |
| A27 | 0.4440 | 85.48 | 0.68% | A77 | 0.5705 | 71.00 | 5.79% |
| A28 | 0.4108 | 86.45 | 0.97% | A78 | 0.4718 | 84.04 | 3.54% |
| A29 | 0.4254 | 86.10 | 0.87% | A79 | 0.4565 | 84.92 | 4.27% |
| A30 | 0.4890 | 82.77 | 1.94% | A80 | 0.4640 | 84.51 | 1.36% |
| A31 | 0.4310 | 85.93 | 1.15% | A81 | 0.4039 | 86.58 | 0.96% |
| A32 | 0.5465 | 75.63 | 4.02% | A82 | 0.4592 | 84.78 | 2.06% |
| A33 | 0.5361 | 77.30 | 3.39% | A83 | 0.4044 | 86.58 | 0.50% |
| A34 | 0.3860 | 86.87 | 4.42% | A84 | 0.3801 | 86.95 | 0.91% |
| A35 | 0.4603 | 84.72 | 1.12% | A85 | 0.3750 | 87.01 | 0.14% |
| A36 | 0.4918 | 82.53 | 1.98% | A86 | 0.5154 | 80.10 | 2.97% |
| A37 | 0.5632 | 72.52 | 4.46% | A87 | 0.5284 | 78.43 | 3.47% |
| A38 | 0.2944 | 88.82 | 1.01% | A88 | 0.4067 | 86.53 | 0.53% |
| A39 | 0.2983 | 88.66 | 2.95% | A89 | 0.3379 | 87.55 | 0.86% |
| A40 | 0.3180 | 88.00 | 1.00% | A90 | 0.3383 | 87.54 | 1.11% |
| A41 | 0.3255 | 87.81 | 0.56% | A91 | 0.4812 | 83.39 | 3.91% |
| A42 | 0.3536 | 87.30 | 0.74% | A92 | 0.4216 | 86.20 | 0.41% |
| A43 | 0.3534 | 87.30 | 0.31% | A93 | 0.3663 | 87.13 | 0.99% |
| A44 | 0.5138 | 80.29 | 1.84% | A94 | 0.3655 | 87.14 | 0.80% |
| A45 | 0.3583 | 87.23 | 0.87% | A95 | 0.5465 | 75.62 | 4.97% |
| A46 | 0.4021 | 86.62 | 0.23% | A96 | 0.5033 | 81.44 | 1.93% |
| A47 | 0.3584 | 87.23 | 0.52% | A97 | 0.4569 | 84.89 | 1.48% |
| A48 | 0.4933 | 82.40 | 1.32% | A98 | 0.3237 | 87.85 | 0.86% |
| A49 | 0.4247 | 86.12 | 0.51% | A99 | 0.4063 | 86.54 | 0.39% |
| A50 | 0.3636 | 87.16 | 0.09% | A100 | 0.4866 | 82.96 | 2.57% |
Disclaimer/Publisher’s Note: The statements, opinions and data contained in all publications are solely those of the individual author(s) and contributor(s) and not of MDPI and/or the editor(s). MDPI and/or the editor(s) disclaim responsibility for any injury to people or property resulting from any ideas, methods, instructions or products referred to in the content. |
© 2023 by the authors. Licensee MDPI, Basel, Switzerland. This article is an open access article distributed under the terms and conditions of the Creative Commons Attribution (CC BY) license (https://creativecommons.org/licenses/by/4.0/).
Share and Cite
Chu, W.; Dai, W.; Wang, B.; Ye, C.; Xie, W.; Yin, B.; Li, H.; Jiang, N. Graphite Equivalent Evaluation of Anthracite-Associated Graphite by Raman Spectroscopy. Materials 2023, 16, 7278. https://doi.org/10.3390/ma16237278
Chu W, Dai W, Wang B, Ye C, Xie W, Yin B, Li H, Jiang N. Graphite Equivalent Evaluation of Anthracite-Associated Graphite by Raman Spectroscopy. Materials. 2023; 16(23):7278. https://doi.org/10.3390/ma16237278
Chicago/Turabian StyleChu, Wubo, Wen Dai, Bo Wang, Chen Ye, Weiping Xie, Bing Yin, He Li, and Nan Jiang. 2023. "Graphite Equivalent Evaluation of Anthracite-Associated Graphite by Raman Spectroscopy" Materials 16, no. 23: 7278. https://doi.org/10.3390/ma16237278
APA StyleChu, W., Dai, W., Wang, B., Ye, C., Xie, W., Yin, B., Li, H., & Jiang, N. (2023). Graphite Equivalent Evaluation of Anthracite-Associated Graphite by Raman Spectroscopy. Materials, 16(23), 7278. https://doi.org/10.3390/ma16237278

