Impact Response of Re-Entrant Hierarchical Honeycomb
Abstract
:1. Introduction
2. Hierarchical Honeycomb
2.1. Description of Honeycomb Structure
2.2. Relative Density Distribution
2.3. Relative Density Distribution
3. Numerical Analysis
3.1. In-Plane Crushing Finite Element Model
3.2. Finite Element Model of Out-of-Plane Crushing
3.3. Verification of Finite Element Model
3.3.1. Verification of In-Plane Crushing
3.3.2. Validation of Out-of-Plane Crushing
4. Results and Discussion
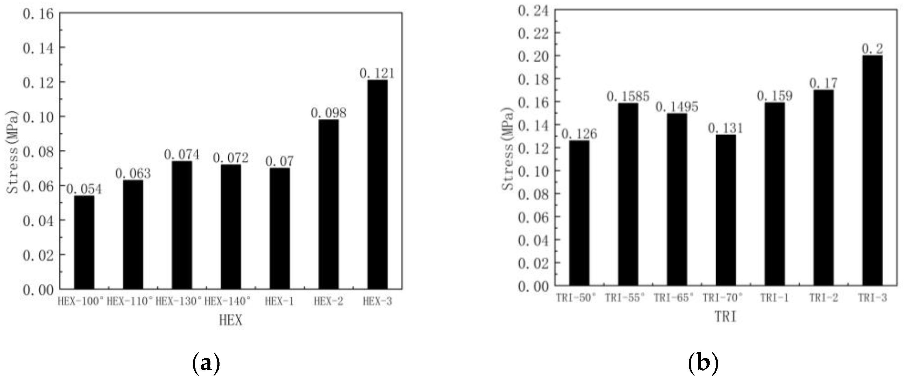
4.1. In-Plane Crushing of Hierarchical Honeycombs
Crushing Reaction
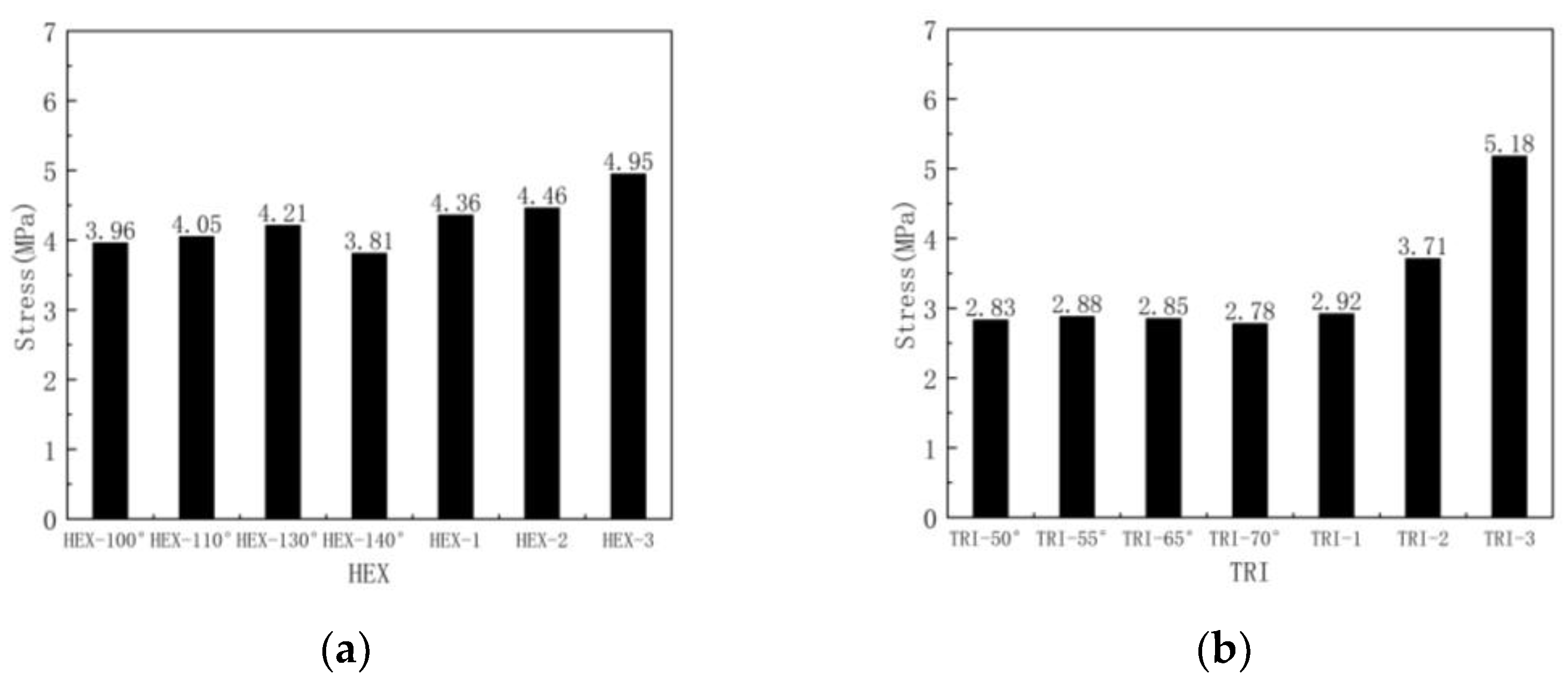
4.2. Out-of-Plane Crushing of Hierarchical Honeycombs
Crushing Reaction
5. Concluding Remarks
Author Contributions
Funding
Informed Consent Statement
Data Availability Statement
Conflicts of Interest
References
- Gibson, L.J.; Ashby, M.F. Cellular Solids: Structure and Properties; Cambridge University Press: Cambridge, UK, 1997. [Google Scholar]
- Zhang, Q.; Yang, X.; Li, P.; Huang, G.; Feng, S.; Shen, C.; Han, B.; Zhang, X.; Jin, F.; Xu, F.; et al. Bioinspired engineering of honeycomb structure—Using nature to inspire human innovation. Prog. Mater. Sci. 2015, 74, 332–400. [Google Scholar] [CrossRef]
- Lu, G.; Yu, T. Energy Absorption of Structures and Materials; Woodhead Publishing: Cambridge, UK, 2003. [Google Scholar]
- Fang, J.; Sun, G.; Qiu, N.; Kim, N.H.; Li, Q. On design optimization for structural crashworthiness and its state of the art. Struct. Multidiscip. Optim. 2017, 55, 1091–1119. [Google Scholar] [CrossRef]
- Xu, S.; Beynon, J.H.; Ruan, D.; Lu, G. Experimental study of the out-of-plane dynamic compression of hexagonal honeycombs. Compos. Struct. 2012, 94, 2326–2336. [Google Scholar] [CrossRef]
- Wierzbicki, T. Crushing analysis of metal honeycombs. Int. J. Impact Eng. 1983, 1, 157–174. [Google Scholar] [CrossRef]
- Zhang, J.; Ashby, M. The out-of-plane properties of honeycombs. Int. J. Mech. Sci. 1992, 34, 475–489. [Google Scholar] [CrossRef]
- Ruan, D.; Lu, G.; Wang, B.; Yu, T. In-plane dynamic crushing of honeycombs—A finite element study. Int. J. Impact Eng. 2003, 28, 161–182. [Google Scholar] [CrossRef]
- Baroutaji, A.; Sajjia, M.; Olabi, A.-G. On the crashworthiness performance of thin-walled energy absorbers: Recent advances and future developments. Thin-Walled Struct. 2017, 118, 137–163. [Google Scholar] [CrossRef]
- Ajdari, A.; Nayeb-Hashemi, H.; Vaziri, A. Dynamic crushing and energy absorption of regular, irregular and functionally graded cellular structures. Int. J. Solids Struct. 2011, 48, 506–516. [Google Scholar] [CrossRef]
- Sun, G.; Li, G.; Stone, M.; Li, Q. A two-stage multi-fidelity optimization procedure for honeycomb-type cellular materials. Comput. Mater. Sci. 2010, 49, 500–511. [Google Scholar] [CrossRef]
- Hu, Q.; Lu, G.; Hameed, N.; Tse, K.M. Dynamic compressive behaviour of shear thickening fluid-filled honeycomb. Int. J. Mech. Sci. 2022, 229, 107493. [Google Scholar] [CrossRef]
- Li, M.; Deng, Z.; Guo, H.; Liu, R.; Ding, B. Crashworthiness analysis on alternative square honeycomb structure under axial loading. Chin. J. Mech. Eng. 2013, 26, 784–792. [Google Scholar] [CrossRef]
- Hedayati, R.; Sadighi, M.; Mohammadi-Aghdam, M.; Zadpoor, A.A. Mechanical properties of additively manufactured octagonal honeycombs. Mater. Sci. Eng. C-Mater. Biol. Appl. 2016, 69, 1307–1317. [Google Scholar] [CrossRef] [PubMed]
- Peng, C.; Marzocca, P.; Tran, P. Triply periodic minimal surfaces based honeycomb structures with tuneable mechanical responses. Virtual Phys. Prototyp. 2023, 18, e2125879. [Google Scholar] [CrossRef]
- Duan, S.Y.; Tao, Y.; Lei, H.; Wen, W.; Liang, J.; Fang, D. Enhanced out-of-plane compressive strength and energy absorption of 3D printed square and hex-agonal honeycombs with variable-thickness cell edges. Extrem. Mech. Lett. 2018, 18, 9–18. [Google Scholar] [CrossRef]
- Zhang, X.; Yu, X.; Du, S.; Chen, J.; Fu, Y. A Box-Girder Bridge Inspired by Beetle Elytra and the Buckling and Shear Properties of a Trabec-ular-Honeycomb Steel Web. J. Bridge Eng. 2022, 27, 04022031. [Google Scholar] [CrossRef]
- Deng, X.; Qin, S.; Huang, J. Out-of-plane impact analysis for a bioinspired sinusoidal honeycomb. Mech. Adv. Mater. Struct. 2022, 29, 7259–7276. [Google Scholar] [CrossRef]
- Lin, Y.; Zhang, Z.; Chen, R.; Li, Y.; Wen, X.; Lu, F. Cushioning and Energy Absorbing Property of Combined Aluminum Honeycomb. Adv. Eng. Mater. 2015, 17, 1434–1441. [Google Scholar] [CrossRef]
- Zhang, X.; Weng, H.; Liu, L. Effect of dislocation and layer height on the compression performance of tandem honeycombs. J. Sandw. Struct. Mater. 2022, 24, 928–949. [Google Scholar] [CrossRef]
- Qiao, J.X.; Chen, C.Q. In-plane crushing of a hierarchical honeycomb. Int. J. Solids Struct. 2016, 85–86, 57–66. [Google Scholar] [CrossRef]
- Zhang, D.; Fei, Q.; Liu, J.; Jiang, D.; Li, Y. Crushing of vertex-based hierarchical honeycombs with triangular substructures. Thin-Walled Struct. 2020, 146, 106436. [Google Scholar] [CrossRef]
- Wang, Z.; Li, Z.; Shi, C.; Zhou, W. Mechanical performance of vertex-based hierarchical vs square thin-walled multi-cell structure. Thin-Walled Struct. 2019, 134, 102–110. [Google Scholar] [CrossRef]
- Lu, X.; Tan, V.; Tay, T. Auxeticity of monoclinic tetrachiral honeycombs. Compos. Struct. 2020, 241, 112067. [Google Scholar] [CrossRef]
- Li, X.; Lu, F.; Zhang, Y.; Lin, Y.; Meng, Y. Experimental study on out-of-plane mechanical and energy absorption properties of combined hexagonal aluminum honeycombs under dynamic impact. Mater. Des. 2020, 194, 108900. [Google Scholar] [CrossRef]
- Liu, H.; Zhang, E.T.; Wang, G.; Ng, B.F. In-plane crushing behavior and energy absorption of a novel graded honeycomb from hierarchical architecture. Int. J. Mech. Sci. 2022, 221, 107202. [Google Scholar] [CrossRef]
- Fang, J.G.; Sun, G.; Qiu, N.; Pang, T.; Li, S.; Li, Q. On hierarchical honeycombs under out-of-plane crushing. Int. J. Solids Struct. 2018, 135, 1–13. [Google Scholar] [CrossRef]
- Li, X.; Lu, Z.; Yang, Z.; Wang, Q.; Zhang, Y. Yield surfaces of periodic honeycombs with tunable Poisson’s ratio. Int. J. Mech. Sci. 2018, 141, 290–302. [Google Scholar] [CrossRef]
- Qu, Y.; Wang, D.; Zhang, H. The equivalent method of double V-wing honeycombs on the in-plane dynamic impact. J. Reinf. Plast. Compos. 2021, 40, 577–593. [Google Scholar] [CrossRef]
- Tan, H.; He, Z.; Li, K.; Li, E.; Cheng, A.; Xu, B. In-plane crashworthiness of re-entrant hierarchical honeycombs with negative Poisson’s ratio. Compos. Struct. 2019, 229, 111415. [Google Scholar] [CrossRef]
- Wan, H.; Ohtaki, H.; Kotosaka, S.; Hu, G. A study of negative Poisson’s ratios in auxetic honeycombs based on a large deflection model. Eur. J. Mech. A-Solids 2004, 23, 95–106. [Google Scholar] [CrossRef]
- Tatlier, M.S. A numerical study on energy absorption of re-entrant honeycomb structures with variable alignment. Int. J. Crashworthiness 2021, 26, 237–245. [Google Scholar] [CrossRef]
- Mustahsan, F.; Khan, S.Z.; Zaidi, A.A.; Alahmadi, Y.H.; Mahmoud, E.R.I.; Almohamadi, H. Re-Entrant Honeycomb Auxetic Structure with Enhanced Directional Properties. Materials 2022, 15, 8022. [Google Scholar] [CrossRef] [PubMed]
- Usta, F.; Zhang, Z.; Jiang, H.; Chen, Y. Harnessing structural hierarchy and multi-material approaches to improve crushing performance of re-entrant honeycombs. J. Manuf. Process. 2023, 92, 75–88. [Google Scholar] [CrossRef]
- Agrawal, A.; Joo, P.; Teo, N.; Jana, S.C. Fabrication and Characterization of Re-Entrant Honeycomb Polyurethane Aerogels. ACS Appl. Polym. Mater. 2022, 4, 3791–3801. [Google Scholar] [CrossRef]
- Montazeri, A.; Bahmanpour, E.; Safarabadi, M. Three-Point Bending Behavior of Foam-Filled Conventional and Auxetic 3D-Printed Honey-combs. Adv. Eng. Mater. 2023, 25, 2300273. [Google Scholar] [CrossRef]
- Oztürk, M.; Baran, T.; Tatlier, M.S. Experimental and numerical investigation of conventional and stiffened re-entrant cell structures under compression. J. Braz. Soc. Mech. Sci. Eng. 2022, 44, 593. [Google Scholar] [CrossRef]
- Usta, F.; Türkmen, H.S.; Scarpa, F. High-velocity impact resistance of doubly curved sandwich panels with re-entrant honeycomb and foam core. Int. J. Impact Eng. 2022, 165, 104230. [Google Scholar] [CrossRef]
- Tajalsir, A.H.; Mustapha, K.B.; Ibn-Mohammed, T. Numerical and random forest modelling of the impact response of hierarchical auxetic struc-tures. Mater. Today Commun. 2022, 31, 103797. [Google Scholar] [CrossRef]
- Menon, H.G.; Dutta, S.; Krishnan, A.; Hariprasad, M.P.; Shankar, B. Proposed auxetic cluster designs for lightweight structural beams with improved load bearing capacity. Eng. Struct. 2022, 260, 114241. [Google Scholar] [CrossRef]
- Chikkanna, N.; Krishnapillai, S.; Ramachandran, V. Investigation on the indentation performance of 3D printed re-entrant diamond auxetic met-amaterial: Printability and tailorability for futuristic applications. Rapid Prototyp. J. 2023, 29, 1904–1922. [Google Scholar] [CrossRef]




























| L (mm) | H (mm) | ||
|---|---|---|---|
| HEX-1 | 120° | 12 | 1.07 |
| HEX-2 | 4.8 | 0.48 | |
| HEX-3 | 3 | 0.31 | |
| TRI-1 | 60° | 13.86 | 0.438 |
| TRI-2 | 6.93 | 0.234 | |
| TRI-3 | 3.46 | 0.121 |
| L (mm) | H (mm) | ||
|---|---|---|---|
| HEX-1 | 100° | 12 | 0.951 |
| 110° | 12 | 1.038 | |
| 130° | 12 | 1.036 | |
| 140° | 12 | 0.934 | |
| TRI-1 | 50° | 15.76 | 0.4 |
| 55° | 15.04 | 0.437 | |
| 65° | 12.26 | 0.429 | |
| 70° | 10.28 | 0.396 |
Disclaimer/Publisher’s Note: The statements, opinions and data contained in all publications are solely those of the individual author(s) and contributor(s) and not of MDPI and/or the editor(s). MDPI and/or the editor(s) disclaim responsibility for any injury to people or property resulting from any ideas, methods, instructions or products referred to in the content. |
© 2023 by the authors. Licensee MDPI, Basel, Switzerland. This article is an open access article distributed under the terms and conditions of the Creative Commons Attribution (CC BY) license (https://creativecommons.org/licenses/by/4.0/).
Share and Cite
Lian, J.; Wang, Z. Impact Response of Re-Entrant Hierarchical Honeycomb. Materials 2023, 16, 7121. https://doi.org/10.3390/ma16227121
Lian J, Wang Z. Impact Response of Re-Entrant Hierarchical Honeycomb. Materials. 2023; 16(22):7121. https://doi.org/10.3390/ma16227121
Chicago/Turabian StyleLian, Jinming, and Zhenqing Wang. 2023. "Impact Response of Re-Entrant Hierarchical Honeycomb" Materials 16, no. 22: 7121. https://doi.org/10.3390/ma16227121
APA StyleLian, J., & Wang, Z. (2023). Impact Response of Re-Entrant Hierarchical Honeycomb. Materials, 16(22), 7121. https://doi.org/10.3390/ma16227121
