A Design Method on Durable Asphalt Pavement of Flexible Base on Anti-Rutting Performance and Its Application
Abstract
:1. Introduction
2. Materials and Methods
3. Design Methods on Flexible Base Asphalt Durable Pavement
3.1. Anti-Rutting Asphalt Mixture Design of Flexible Base
3.1.1. The Selection Method of Asphalt
3.1.2. The Selection Method of Gradation
3.2. Preliminary Selection Method of Rut-Resistant Durable Asphalt Pavement
3.3. Calculation Method of Rutting Depth of Pavement
3.3.1. Annual Representative Pavement Temperature
3.3.2. Accumulate Action Time of Vehicle Loading
3.3.3. Finite Element Model and Load Revised Parameter C of Rutting Depth Calculation
3.4. Calculation of Fatigue Life of Pavement Structure
4. Engineering Application
4.1. Project Profile
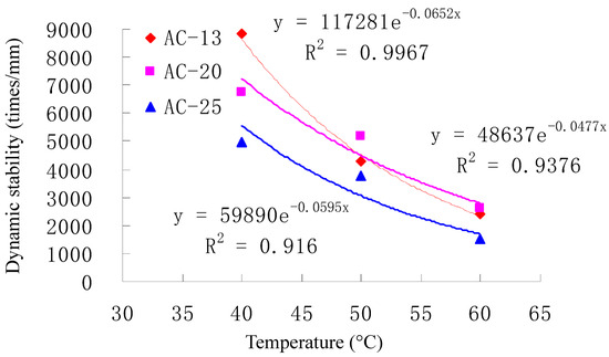
4.2. Asphalt Select of Flexible Base
4.3. Determination of Anti-Rutting Gradation Design of Flexible Base
4.4. Determination of Asphalt Structure Flexible Base Durable Asphalt Pavement
4.4.1. Rutting Depth Calculation of Flexible Base Durable Asphalt Pavement
4.4.2. Fatigue Life Calculation of Flexible Base Durable Asphalt Pavement
4.5. Results and Discussion
5. Conclusions
- (1)
- Considering that the skeleton-density structure could enhance the rutting and fatigue performance of the ATB asphalt mixture, a recommended method for designing the gradation of the ATB asphalt mixture was put forward, based on a fractal void ratio of the coarse aggregate , fractal volume of the fine aggregate in the coarse aggregate , penetration of asphalt , fractal dimension of the gradation particle size , and rutting test. The performance test results of their asphalt mixtures indicated that the gradation design method can solve the performance balance, such as rutting and fatigue, etc., of ATB asphalt mixtures.
- (2)
- Based on the coupling action of vehicle dynamic loading and the pavement, the methods for calculating the representative temperatures, the time-series of the vehicle loading, and loading revised parameters, a calculation method for rutting prediction is formulated based on ANSYS software. The best pavement structure of resisting rutting can be decided by using the calculation method of rutting prediction. The rutting problem can be solved by using this method when the pavement is designed.
- (3)
- The calculation method for fatigue life prediction is put forward based on fatigue damage. It can reflect the asphalt mixture nature of viscoelstic fatigue damage, and it overcomes the defects of typical elstic fatigue damage. At the same time, it can consider the pavement fatigue property comprehensive influences that are caused by climate, traffic, and pavement structure.
- (4)
- The engineering application of the design method on durable asphalt pavement of flexible base on anti-rutting performance was described in detail, and it can realize the integration of the materials and structures of rutting and fatigue control during the design phase. The test results indicate that it is reasonable and practical. It is expected that more engineering project verifications will be conducted in future studies.
Author Contributions
Funding
Institutional Review Board Statement
Informed Consent Statement
Data Availability Statement
Conflicts of Interest
References
- Li, L. Design Method Study on the Large-Stone Flexible Base Durable Asphalt Pavement of Resisting Rutting. Ph.D. Thesis, Central South University, Changsha, China, 2011. [Google Scholar]
- Newcomb, D.E.; Buncher, M.; Huddleston, I.J. Concepts of perpetual pavements. Transp. Res. Circ. 2001, 54, 4. [Google Scholar]
- Garcia, G. Concepts for Mechanistic-Empirical Design Procedure for Extended Life Hot Mix Asphalt Pavements with a Multi-Layered Structure. Ph.D. Thesis, University of Illinois at Urbana-Champaign, Champaign, IL, USA, 2007. [Google Scholar]
- Uzarowski, L. The Development of Asphalt Mix Creep Parameters and Finite Element Modeling of Asphalt Rutting. Ph.D. Thesis, University of Waterloo Ontario Canada, Waterloo, ON, Canada, 2006. [Google Scholar]
- Orhan Kaya, J.; Buncher, M.; Newcomb, D. Perpetual pavements—A concept paper. Asph. Pavement Alliance 2000, 24, 24–27. [Google Scholar]
- Orhan, K. Investigation of AASHTOWare Pavement ME Design/Darwin-METM Performance Prediction Models for Iowa Pavement Analysis and Design. Ph.D. Thesis, Iowa State University, Ames, IA, USA, 2015. [Google Scholar]
- Kamil, E.K. Asphalt rubber: Performance tests and pavement design issues. Constr. Build. Mater. 2014, 67, 258–264. [Google Scholar] [CrossRef]
- Li, R. Sensitivity Evaluation of the Mechanistic-Empirical Pavement Design Guide (MEPDG) for Flexible Pavement Performance Prediction. Ph.D. Thesis, University of Maryland, College Park, MD, USA, 2013. [Google Scholar]
- Zheng, J. New structure design of durable asphalt pavement based on life increment. China J. Highw. Transp. 2014, 27, 1–7. [Google Scholar]
- Maadani, O.; Halim, E.A.O.A. Overview of environmental considerations in AASHTO pavement design guides. J. Cold Reg. Eng. 2017, 31, 1–13. [Google Scholar] [CrossRef]
- Suresh, I.S. Development of Flexible Pavement Rut Prediction Models from the NCAT Test Track Structural Study Sections Data. Ph.D. Thesis, Graduate Faculty of Auburn University, Auburn, AL, USA, 2007. [Google Scholar]
- Stroup, G.M.; Turochy, E.R.; Carter, A. Influence of various material and traffic inputs on flexible pavement design methods for Alabama roadways. J. Transp. Eng. 2007, 133, 455–461. [Google Scholar] [CrossRef]
- Yang, X.; You, Z.; Hiller, J.; Hiller, J.; Watkins, D. Sensitivity of flexible pavement design to Michigan’s climatic inputs using pavement ME design. Int. J. Pavement Eng. 2015, 18, 1–10. [Google Scholar] [CrossRef]
- Fatemi, S.S.; Bazaz, J.B.; Ziaee, S.A. Evaluation of rutting and fatigue behaviors of asphalt binders modified with calcium lignosulfonate. Adv. Civ. Eng. 2021, 2021, 6894514. [Google Scholar] [CrossRef]
- Joumblat, R.; Al Basiouni Al Masri, Z.; Elkordi, A. Dynamic Modulus and Phase Angle of Asphalt Concrete Mixtures Containing Municipal Solid Waste Incinerated Fly Ash as Mineral Filler Substitution. Int. J. Pavement Res. Technol. 2023, 16, 1196–1216. [Google Scholar] [CrossRef]
- Joumblat, R.; Al Basiouni Al Masri, Z.; Al Khateeb, G.; Elkordi, A.; El Tallis, A.R.; Absi, J. State-of-the-Art Review on Permanent Deformation Characterization of Asphalt Concrete Pavements. Sustainability 2023, 15, 1166. [Google Scholar] [CrossRef]
- Prysiazhnyi, Y.; Borbeyiyong, G.; Korchak, B.; Pyshyev, S.; Shved, M.; Matlakh, Y. Obtaining and use of coumarone-indene-carbazole 2. setting the type and amount of caralyst. Chem. Chem. Technol. 2023, 17, 450–459. [Google Scholar] [CrossRef]
- Nagurskyy, A.; Khlibyshyn, Y.; Grynyshyn, O.; Kochubei, V. Rubber crumb modified bitumen produced from crude of oil residuals of ukraitian deposits. Chem. Chem. Technol. 2016, 10, 631–636. [Google Scholar] [CrossRef]
- Bulatovic, V.O.; Rek, V.; Markovic, K.J. Polymer modified bitumen. Chem. Chem. Technol. 2020, 14, 420–425. [Google Scholar] [CrossRef]
- José, C.; Cynthia, M.; Montoya MLeonel, G.; Mungaray, A.; Alejandro, S. Improvement in durability and service of asphalt pavements through regionalization methods: A case study in baja california, mexico. Sustainability 2022, 14, 5123. [Google Scholar] [CrossRef]
- Bodin, D.; Chupin, O.; Denneman, E. Effect of temperature and traffic speed on the asphalt moduli for fatigue cracking and pavement structural design considerations. In Proceedings of the 8th RILEM International Conference on Mechanisms of Cracking and Debonding in Pavements, Nantes, France, 7–9 June 2016; pp. 397–402. [Google Scholar] [CrossRef]
- Zhang, Q.; Li, X. Development and evolution of structural design methods for asphalt pavements in China over the past 70 years. J. China Foreign Highw. 2019, 39, 30–38. [Google Scholar]
- JTG E20-2011; Standard Test Methods of Bitumen and Bituminous Mixtures for Highway Engineering. China Communications Press: Beijing, China, 2011.
- JTG E42-2005; Test Methhods of Aggregate for Highway Engineering. China Communications Press: Beijing, China, 2005.
- Lei, T. Rutting Prediction of Asphalt Pavement on the Basis of Dynamic. Master’s Thesis, Chongqing Jiaotong University, Chongqing, China, 2006. [Google Scholar]
- Li, L.; Jiang, J.; Lin, Y.; Yan, H. A Prediction Model on Viscoelastic Fatigue Damage of Asphalt Mixture. Materials 2020, 13, 3782. [Google Scholar] [CrossRef] [PubMed]
- Li, L.; Guo, Z.; Lin, Y. A design method of styreneic methyl copolymers normal temperature modified asphalt mixture based on performance balance. Materials 2022, 15, 6193. [Google Scholar] [CrossRef] [PubMed]
- JTG F40-20004; Technical Specifications for the Construction of Highway Asphalt Pavements. China Communications Press: Beijing, China, 2004.
- JTG 3450-2019; Field Test Methods of Highway Subgrade and Pavement. Ministry of Transport of the People’s Republic of China: Beijing, China, 2019.










| Properties | Criteria | Test Value | Methods | |
|---|---|---|---|---|
| Ductility at 5 °C (cm) | ≥30 | 51 | T0604-2011 [23] | |
| Penetration at 25 °C (0.1 mm) | 60–80 | 77 | T0605-2011 [23] | |
| Penetration index | −0.6–0.2 | −0.18 | T0604-2011 [23] | |
| Rutting factor G/sinδ (kPa) | ≥1.0 | 1.45 | AASHTOT315 | |
| Softening point (°C) | ≥48 | 51 | T0606-2011 [23] | |
| After the thin film oven test (TFOT) (163 °C, 5 h) | Mass loss (%) | <1.0 | 0.04 | T0609-2011 [23] |
| Ductility at 5 °C (cm) | ≥30 | 43 | T0604-2011 [23] | |
| Penetration ratio at 25 °C (%) | ≥55 | 84.4 | T0605-2011 [23] | |
| Properties | Zhonghai AH-70 | Korea SK-70 | Criteria of AH-70, SK-70 | Dagang AH-50 | Criteria of AH-50 | Methods | |
|---|---|---|---|---|---|---|---|
| Ductility at 10 °C (cm) | 23.5 | 24.7 | ≥20 | 18.2 | ≥15 | T0604-2011 [23] | |
| Rutting factor G/sinδ (kPa) | 1.38 | 1.03 | ≥1.0 | 2.18 | ≥1.0 | AASHTOT315 | |
| Penetration degree at 25 °C (0.1 mm) | 68 | 72 | 60–80 | 56 | 40–60 | T0605-2011 [23] | |
| Penetration index | −0.9 | −0.82 | −1.5–1.0 | 0.81 | −1.5–1.0 | T0604-2011 [23] | |
| Softening point (°C) | 50 | 52.2 | ≥47 | 59.3 | ≥49 | T0606-2011 [23] | |
| After the thin film oven test (TFOT) (163 °C, 5 h) | Mass loss (%) | −0.18 | −0.16 | ±0.8 | −0.29 | ±0.8 | T0609-2011 [23] |
| Ductility at 10 °C (cm) | 8.0 | 8.7 | ≥6 | 6.6 | ≥4 | T0604-2011 [23] | |
| Penetration degree ratio at 25 °C (%) | ≥62.5 | 64.5 | ≥58 | 65.2 | ≥60 | T0605-2011 [23] | |
| Technical Indexes | Results | Criteria | Methods |
|---|---|---|---|
| Crush value (%) | 20.0 | ≤26 | T0316-2005 [24] |
| Losses of the Los Angeles Abrasion Test (%) | 19.5 | ≤28 | T0317-2005 [24] |
| Impact value (%) | 17 | ≤30 | T0322-2000 [24] |
| Mud content (%) | 0.6 | ≤1 | T0310-2005 [24] |
| Asphalt adhesion (graduation) | 4 | ≥4 | T0616-1993 [24] |
| Water absorption (%) | 0.36 | ≤2 | T0307-2005 [24] |
| Firmness (%) | 4.5 | ≤12 | T0314-2000 [24] |
| Properties | Apparent Density (t/m3) | Water Content (%) | Hydrophilic Coefficient | Size Distributions (%) | ||
|---|---|---|---|---|---|---|
| <0.075 mm | <0.15 mm | <0.6 mm | ||||
| Results | 2.715 | 0.4 | 0.85 | 71.1 | 73 | 100 |
| Criteria | ≥2.50 | ≤1 | <1 | 75–100 | 90–100 | 100 |
| Methods | T0352-2000 [24] | T0350-1994 [24] | T0353-2000 [24] | T0351-2000 [24] | ||
| Sieve Sizes (mm) | 0.075 | 0.15 | 0.3 | 0.6 | 1.18 | 2.36 | 4.75 | 9.5 | 13.2 | 16 | 19 | 26.5 | 31.5 | 37.5 | |
|---|---|---|---|---|---|---|---|---|---|---|---|---|---|---|---|
| ATB25 | Upper limit | 7 | 10 | 12 | 17 | 21 | 29 | 39 | 53 | 62 | 69 | 76 | 96 | 100 | 100 |
| Lower limit | 3 | 4 | 6 | 10 | 13 | 20 | 26 | 38 | 47 | 52 | 64 | 91 | 100 | 100 | |
| ATB30 | Upper limit | 7 | 10 | 14 | 17 | 22 | 29 | 39 | 51 | 59 | 66 | 70 | 85 | 96 | 100 |
| Lower limit | 2.5 | 4 | 7 | 9 | 13 | 19 | 25 | 34 | 44 | 49 | 58 | 75 | 91 | 100 | |
| Gradation Type | Fractal Void Ratio of Coarse Aggregate VC0 | Fractal Volume of Fine Aggregate in Coarse Aggregate Vf | Criteria |
|---|---|---|---|
| ATB25 | |||
| ATB30 |
| Gradation Type | Dynamic Stability DS (mm/times) | Penetration of Asphalt ZRD | Fractal Dimension of Gradation Particle Size D |
|---|---|---|---|
| ATB25 | Test results according to T0605-2011 [23] | ||
| ATB30 |
| Road Grades | Expressway | Other High-Grade Roads | |
|---|---|---|---|
| Non-Crossing Section | Intersection Section | ||
| Rutting depth (mm) | 10–15 | 15–20 | 25–30 |
| Month | 1 | 2 | 3 | 4 | 5 | 6 | 7 | 8 | 9 | 10 | 11 | 12 |
|---|---|---|---|---|---|---|---|---|---|---|---|---|
| Maximum air temperature (°C) | 10.5 | 13.5 | 21.4 | 33.4 | 34.2 | 41.5 | 39.8 | 36.8 | 38.6 | 30.2 | 24.2 | 15.2 |
| Minimum air temperature (°C) | −9.2 | −4.2 | 5.3 | 15.4 | 25.7 | 32.2 | 30.7 | 25.3 | 26.1 | 19.5 | 6.8 | −7.6 |
| Average air temperature (°C) | 5.4 | 8.2 | 14.6 | 25.8 | 30.4 | 33.4 | 37.2 | 32.7 | 31.9 | 23.4 | 15.3 | 7.7 |
| Load | 1.5T | 2T | 2.5T | 4T | 5T | 8T | 10T | 11.5T | 14.5T | 15T | 20T | >20T |
|---|---|---|---|---|---|---|---|---|---|---|---|---|
| January | 9122 | 988 | 795 | 1099 | 897 | 1725 | 767 | 777 | 912 | 4321 | 6925 | 8227 |
| February | 9295 | 1000 | 714 | 1142 | 953 | 2225 | 759 | 835 | 936 | 4831 | 6763 | 7730 |
| March | 16,299 | 1556 | 1112 | 1779 | 1808 | 4218 | 1639 | 1802 | 2021 | 7513 | 10,518 | 12,020 |
| April | 20,370 | 1784 | 1275 | 2039 | 1728 | 4032 | 1525 | 1677 | 1881 | 6587 | 9221 | 10,539 |
| May | 19,281 | 1831 | 1308 | 2092 | 1588 | 3704 | 1452 | 1597 | 1791 | 7417 | 10,383 | 11,867 |
| June | 18,095 | 1701 | 1215 | 1944 | 1425 | 3325 | 1365 | 1502 | 1684 | 7608 | 10,651 | 12,173 |
| July | 18,570 | 3327 | 2377 | 3802 | 1160 | 2706 | 1603 | 1764 | 1977 | 10,905 | 15,267 | 17,448 |
| August | 20,791 | 2004 | 1432 | 2290 | 1071 | 2499 | 1850 | 2035 | 2282 | 14,215 | 19,901 | 22,744 |
| September | 21,535 | 3663 | 2616 | 4186 | 3594 | 8385 | 1793 | 1973 | 2212 | 13,133 | 18,386 | 21,012 |
| October | 17,035 | 2176 | 1554 | 2487 | 1562 | 3644 | 1428 | 1571 | 1761 | 12,043 | 16,860 | 19,268 |
| November | 21,163 | 2833 | 2024 | 3238 | 2332 | 5442 | 1822 | 2004 | 2247 | 13,674 | 19,143 | 21,878 |
| December | 20,053 | 3495 | 2496 | 3994 | 2377 | 5546 | 1698 | 1868 | 2095 | 12,019 | 16,826 | 19,230 |
| Sieve Sizes (mm) | 0.075 | 0.15 | 0.3 | 0.6 | 1.18 | 2.36 | 4.75 | 9.5 | 13.2 | 16 | 19 | 26.5 | 31.5 | 37.5 |
|---|---|---|---|---|---|---|---|---|---|---|---|---|---|---|
| Gradation1 | 4.5 | 6 | 8.5 | 13 | 17 | 23.5 | 30 | 41 | 51 | 57.5 | 66 | 95 | 100 | 100 |
| Gradation2 | 4 | 6.5 | 9.5 | 13 | 17.5 | 23.5 | 30 | 41 | 52 | 58 | 70 | 95 | 100 | 100 |
| Gradation3 | 4 | 5 | 7 | 12 | 14.5 | 23 | 29.5 | 46 | 59 | 65 | 73 | 92 | 100 | 100 |
| Gradation4 | 4 | 6.5 | 9.5 | 13 | 17.5 | 23.5 | 30 | 41 | 49.5 | 55 | 62.5 | 80 | 95 | 100 |
| Gradation5 | 3 | 5 | 7 | 10 | 14 | 21 | 29 | 43 | 53 | 61 | 67 | 84 | 93 | 100 |
| Gradation | 1 | 2 | 3 | 4 | 5 | |
|---|---|---|---|---|---|---|
| Fractal void ratio of coarse aggregate VC0 | 0.098 | 0.1045 | 0.0879 | 0.0936 | 0.0953 | |
| Fractal volume of fine aggregate in coarse aggregate Vf | 0.0725 | 0.0723 | 0.0821 | 0.0798 | 0.0898 | |
| VC0 − Vf | 0.0255 | 0.0322 | 0.0058 | 0.0138 | 0.0055 | |
| Particle-size distributions fractal dimensions of fine aggregate Df | 2.5284 | 2.5226 | 2.4943 | 2.5225 | 2.4634 | |
| Particle-size distributions fractal dimensions of coarse aggregate Dc | 2.3352 | 2.3298 | 2.3476 | 2.3903 | 2.3852 | |
| Df − Dc | 0.1932 | 0.1928 | 0.1467 | 0.1322 | 0.0782 | |
| Penetration at 25 °C (0.1 mm) ZRD | 56 | 56 | 56 | 56 | 56 | |
| Fractal dimension of gradation particle size D | 2.5034 | 2.5023 | 2.4579 | 2.5108 | 2.4412 | |
| Dynamic stability (times/mm) | Calculation results | 2849 | 2851 | 2855 | 3365 | 3410 |
| Test results | 2810 | 2855 | 2796 | 3440 | 3385 | |
| Gradation | Freeze-Thaw Splitting Strength Ratio (%) | Intercept k of Fatigue Test | Split Strength (MPa) | Split Modulus (MPa) | Unconfined Compressive Strength (MPa) | Compressive Resilience Modulus (MPa) |
|---|---|---|---|---|---|---|
| Gradation2 | 88.1 | 1.8464 | 1.179 | 155.45 | 6.17 | 1715 |
| Gradation4 | 87.5 | 1.6858 | 1.328 | 168.91 | 7.03 | 1725 |
| Structure A | Structure B | Structure C |
|---|---|---|
| 4 cm Shell SBS-70-modified asphalt mixtures of AC-13 | 4 cm Shell SBS-70-modified asphalt mixtures of AC-13 | 4 cm Shell SBS-70-modified asphalt mixtures of AC-13 |
| 6 cm Shell SBS-70-modified asphalt mixtures of AC-20C | 6 cm rock asphalt-modified asphalt mixtures of AC-20 | 6 cm Shell SBS-70-modified asphalt mixtures of AC-20C |
| 8 cm Zhonghai AH-70 asphalt mixtures of AC-25 | 8 cm Zhonghai AH-70 asphalt mixtures of AC-25 | 8 cm Zhonghai AH-70 asphalt mixtures of AC-25 |
| 8 cm Dagang AH-50 asphalt mixtures of ATB-25 | 8 cm Dagang AH-50 asphalt mixtures of ATB-25 | 8 cm Dagang AH-50 asphalt mixtures of ATB-25 |
| 20 cm Cement Stabilized aggregate | 20 cm Cement Stabilized aggregate | 20 cm Cement Stabilized aggregate |
| 20 cm Lime soil | 20 cm Lime soil | 20 cm lime-flyash stabilized aggregate |
| subgrade | subgrade | 20 cm Lime soil |
| subgrade |
| Materials | Elastic Modulus (Mpa) | Poisson Ratio | Density (kg/m3) |
|---|---|---|---|
| Lime soil | 550 | 0.3 | 1930 |
| subgrade | 48 | 0.4 | 1900 |
| Shell SBS-70-modified asphalt mixtures of AC-13 | 1400 | 0.25 | 2600 |
| Shell SBS-70-modified asphalt mixtures of AC-20C | 1200 | 0.25 | 2500 |
| Rock asphalt-modified asphalt mixtures of AC-20 | 2500 | 0.25 | 2500 |
| Zhonghai AH-70 asphalt mixtures of AC-25AC-25C | 1000 | 0.25 | 2500 |
| Dagang AH-50 asphalt mixtures of ATB-25 | 1200 | 0.25 | 2500 |
| Cement Stabilized aggregate | 1500 | 0.2 | 2400 |
| Lime-flyash stabilized aggregate | 1400 | 0.25 | 2000 |
| Asphalt Mixtures Type | Temperature (°C) | E1 (kg/cm2) | E2 (kg/cm2) | η1 (kg/cm2·s) | η2 (kg/cm2·s) |
|---|---|---|---|---|---|
| Shell SBS-70-modified asphalt mixtures of AC-13 | 60 | 1000 | 450 | 34,652 | 1,684,652 |
| 50 | 1200 | 612 | 54,982 | 1,559,747 | |
| 35 | 3000 | 597 | 111,357 | 1,641,532 | |
| 20 | 4000 | 1365 | 74,856 | 3,270,865 | |
| Shell SBS-70-modified asphalt mixtures of AC-20 | 60 | 800 | 511 | 9761 | 1,412,325 |
| 50 | 1450 | 707 | 29,345 | 1,333,541 | |
| 35 | 2200 | 461 | 99,462 | 1,806,501 | |
| 20 | 3500 | 1647 | 50,317 | 2,334,658 | |
| Rock asphalt-modified asphalt mixtures of AC-20 | 60 | 1220 | 767 | 11,783 | 1,664,630 |
| 50 | 2370 | 837 | 33,179 | 1,424,289 | |
| 35 | 3320 | 659 | 145,858 | 1,986,599 | |
| 20 | 6550 | 1992 | 62,278 | 3,130,207 | |
| Zhonghai AH-70 asphalt mixtures of AC-25 | 60 | 600 | 494 | 8890 | 1,532,292 |
| 50 | 1200 | 821 | 11,006 | 1,297,562 | |
| 35 | 2050 | 1322 | 9057 | 2,003,491 | |
| 20 | 2800 | 1597 | 16,652 | 2,628,311 | |
| Dagang AH-50 asphalt mixtures of ATB-25 | 60 | 580 | 487 | 8245 | 149,813 |
| 50 | 1180 | 770 | 14,372 | 1,256,866 | |
| 35 | 1860 | 1087 | 72,784 | 1,819,868 | |
| 20 | 2780 | 1394 | 13,618 | 2,588,862 |
| Month | 1 | 2 | 3 | 4 | 5 | 6 | 7 | 8 | 9 | 10 | 11 | 12 | |
|---|---|---|---|---|---|---|---|---|---|---|---|---|---|
| Ti (°C) | 10.4 | 12.9 | 18.4 | 28.1 | 32.1 | 34.7 | 38 | 34.1 | 33.4 | 26 | 19 | 12.4 | |
| σ (10−4 MPa) | Structure A | 473 | 604 | 753 | 854 | 872 | 879 | 887 | 878 | 876 | 841 | 7631 | 581 |
| Structure B | 665 | 783 | 904 | 974 | 982 | 985 | 986 | 984 | 984 | 966 | 914 | 765 | |
| Structure C | 755 | 827 | 903 | 938 | 939 | 938 | 936 | 938 | 939 | 935 | 909 | 817 | |
| k (102) | 1013 | 455 | 776 | 3.46 | 0.95 | 0.42 | 0.16 | 0.50 | 0.60 | 6.31 | 63.1 | 501 | |
| b | 3.86 | 3.94 | 4.11 | 4.43 | 4.56 | 4.64 | 4.75 | 4.62 | 4.6 | 4.36 | 4.13 | 3.92 | |
| Nf (109 times) | Structure A | 4310 | 948 | 10.7 | 6.12 | 2.1 | 1.1 | 0.52 | 1.26 | 1.44 | 10.1 | 86.6 | 1143 |
| Structure B | 1163 | 341 | 51 | 3.4 | 1.2 | 0.65 | 0.32 | 0.74 | 0.85 | 5.53 | 41 | 394 | |
| Structure C | 711 | 274 | 51 | 4.1 | 1.5 | 0.82 | 0.41 | 0.92 | 1.1 | 6.4 | 42 | 307 | |
| Ni (106 times) | 5.49 | 3.7 | 4.7 | 3.7 | 3.79 | 3.7 | 3.27 | 2.16 | 3.68 | 4.8 | 5.77 | 5.41 | |
| Di (10−4) | Structure A | 0.006 | 0.025 | 0.5 | 10.5 | 36.4 | 74.1 | 153 | 37 | 53.9 | 7.48 | 0.72 | 0.029 |
| Structure B | 0.02 | 0.07 | 0.1 | 18.7 | 62.6 | 125 | 249 | 6.3 | 91.4 | 1.4 | 1.51 | 0.082 | |
| Structure C | 0.035 | 0.085 | 0.1 | 15.8 | 50.9 | 99.4 | 195 | 50.7 | 74 | 11.9 | 1.5 | 0.11 | |
Disclaimer/Publisher’s Note: The statements, opinions and data contained in all publications are solely those of the individual author(s) and contributor(s) and not of MDPI and/or the editor(s). MDPI and/or the editor(s) disclaim responsibility for any injury to people or property resulting from any ideas, methods, instructions or products referred to in the content. |
© 2023 by the authors. Licensee MDPI, Basel, Switzerland. This article is an open access article distributed under the terms and conditions of the Creative Commons Attribution (CC BY) license (https://creativecommons.org/licenses/by/4.0/).
Share and Cite
Li, L.; Guo, E.; Lin, Y.; He, Z. A Design Method on Durable Asphalt Pavement of Flexible Base on Anti-Rutting Performance and Its Application. Materials 2023, 16, 7122. https://doi.org/10.3390/ma16227122
Li L, Guo E, Lin Y, He Z. A Design Method on Durable Asphalt Pavement of Flexible Base on Anti-Rutting Performance and Its Application. Materials. 2023; 16(22):7122. https://doi.org/10.3390/ma16227122
Chicago/Turabian StyleLi, Limin, Enping Guo, Yuliang Lin, and Zhaoyi He. 2023. "A Design Method on Durable Asphalt Pavement of Flexible Base on Anti-Rutting Performance and Its Application" Materials 16, no. 22: 7122. https://doi.org/10.3390/ma16227122
APA StyleLi, L., Guo, E., Lin, Y., & He, Z. (2023). A Design Method on Durable Asphalt Pavement of Flexible Base on Anti-Rutting Performance and Its Application. Materials, 16(22), 7122. https://doi.org/10.3390/ma16227122

