Epoxy Resin-Based Materials Containing Natural Additives of Plant Origin Dedicated to Rail Transport
Abstract
:1. Introduction
2. Materials and Methods
2.1. Reagents
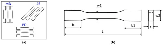
2.2. Sample Preparation
2.3. Thermogravimetric Analysis (TGA)
2.4. Flammability and Smoke Emission Test
2.5. Solar Aging
2.6. Shore C Hardness Measurement
2.7. Fourier Transform Infrared Spectroscopy (FT-IR) Absorbance Spectra Analysis
2.8. Color Measurement
2.9. Microscopic Observation
2.10. Contact Angle and Surface Free Energy Measurements
2.11. One-Directional Tensile Test
3. Results
3.1. Thermogravimetric Analysis (TGA)
3.2. Flammability and Smoke Emission Test
3.3. Shore C Hardness Measurement
3.4. Fourier Transform Infrared Spectroscopy (FT-IR) Absorbance Spectra Analysis
3.5. Color Measurement
3.6. Microstructure
3.7. Surface Free Energy Measurements
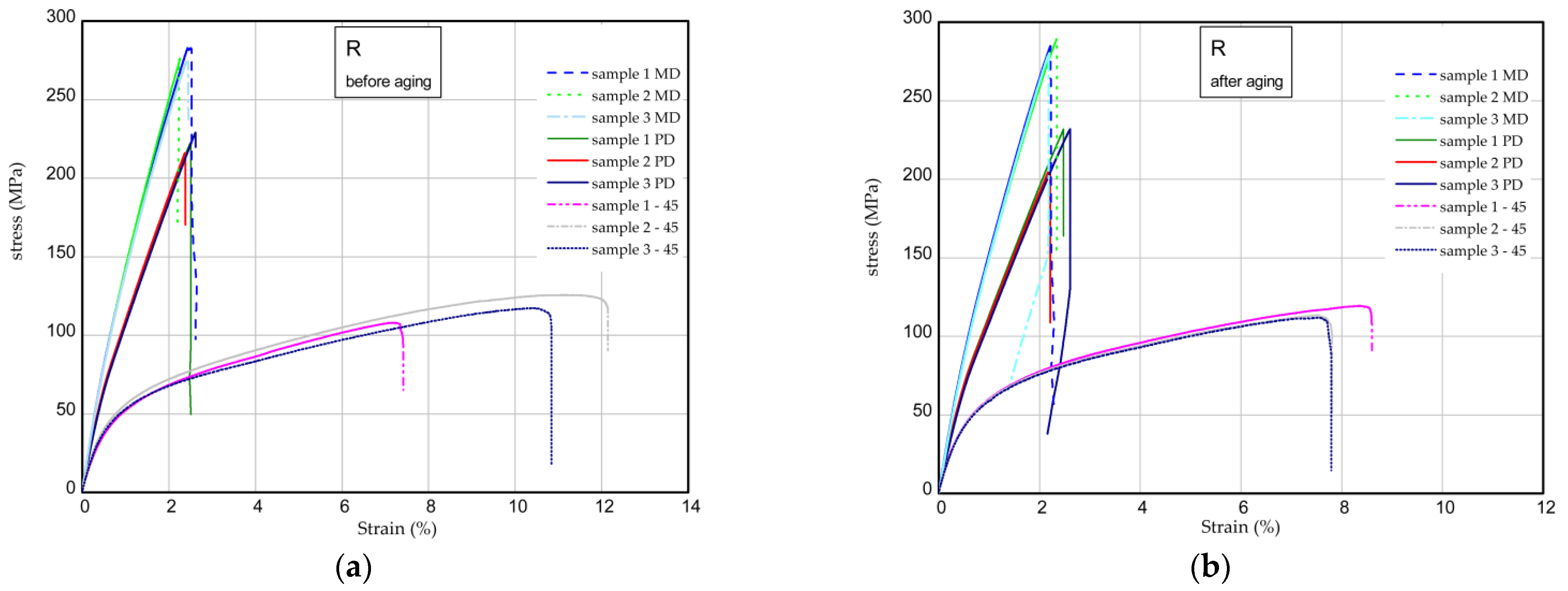
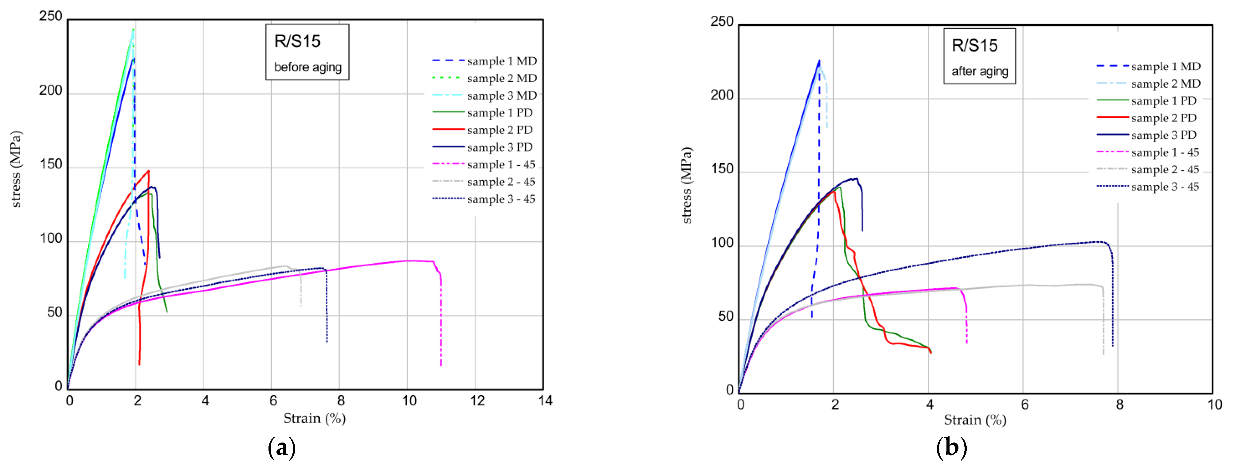
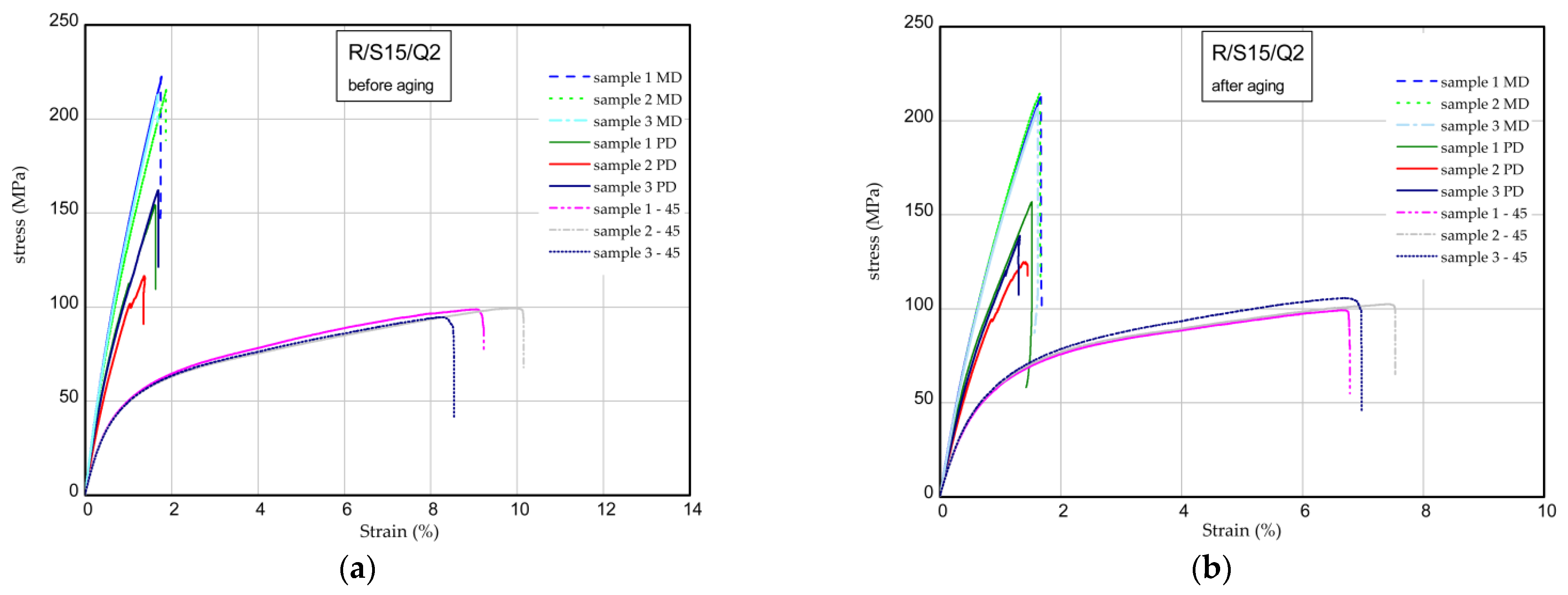
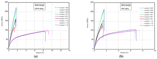
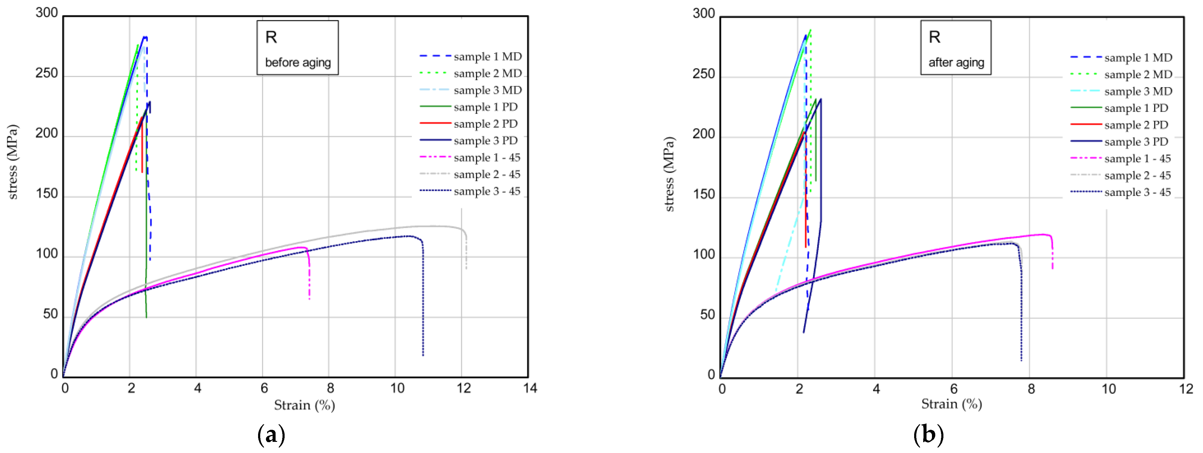
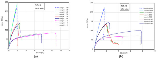
3.8. One-Directional Tensile Test
4. Conclusions
Author Contributions
Funding
Institutional Review Board Statement
Informed Consent Statement
Data Availability Statement
Conflicts of Interest
References
- Mohammed, L.; Ansari, M.N.M.; Pua, G.; Jawaid, M.; Islam, M.S. A Review on Natural Fiber Reinforced Polymer Composite and Its Applications. Int. J. Polym. Sci. 2015, 2015, 243947. [Google Scholar] [CrossRef]
- Zhang, L.; Xu, M.; Chen, H.; Li, Y.; Chen, S. Globalization, Green Economy and Environmental Challenges: State of the Art Review for Practical Implications. Front. Environ. Sci. 2022, 10, 870271. [Google Scholar] [CrossRef]
- Ma, X.; Lv, M.; Anderson, D.P.; Chang, P.R. Natural Polysaccharide Composites Based on Modified Cellulose Spheres and Plasticized Chitosan Matrix. Food Hydrocoll. 2017, 66, 276–285. [Google Scholar] [CrossRef]
- Vinod, A.; Sanjay, M.R.; Suchart, S.; Jyotishkumar, P. Renewable and Sustainable Biobased Materials: An Assessment on Biofibers, Biofilms, Biopolymers and Biocomposites. J. Clean. Prod. 2020, 258, 120978. [Google Scholar] [CrossRef]
- Thomas, S.K.; Parameswaranpillai, J.; Krishnasamy, S.; Begum, P.M.S.; Nandi, D.; Siengchin, S.; George, J.J.; Hameed, N.; Salim, N.V.; Sienkiewicz, N. A Comprehensive Review on Cellulose, Chitin, and Starch as Fillers in Natural Rubber Biocomposites. Carbohydr. Polym. Technol. Appl. 2021, 2, 100095. [Google Scholar] [CrossRef]
- Cichosz, S.; Pęśko, M.; Masek, A. Empirically Distinguished Anti-Aging Behaviour of Quercetin Physically and Chemically Supported on Cellulose Carrier: In-Situ Examination for Ethylene-Norbornene Copolymer. Sustain. Mater. Technol. 2023, 36, e00590. [Google Scholar] [CrossRef]
- Thakur, R.; Pristijono, P.; Scarlett, C.J.; Bowyer, M.; Singh, S.P.; Vuong, Q.V. Starch-Based Films: Major Factors Affecting Their Properties. Int. J. Biol. Macromol. 2019, 132, 1079–1089. [Google Scholar] [CrossRef]
- Nawaz, H.; Waheed, R.; Nawaz, M.; Shahwar, D. Physical and Chemical Modifications in Starch Structure and Reactivity. Chem. Prop. Starch 2020, 9, 13–35. [Google Scholar]
- Ogunsona, E.; Ojogbo, E.; Mekonnen, T. Advanced Material Applications of Starch and Its Derivatives. Eur. Polym. J. 2018, 108, 570–581. [Google Scholar] [CrossRef]
- Jayarathna, S.; Andersson, M.; Andersson, R. Recent Advances in Starch-Based Blends and Composites for Bioplastics Applications. Polymers 2022, 14, 4557. [Google Scholar] [CrossRef] [PubMed]
- Sowińska-Baranowska, A.; Maciejewska, M.; Duda, P. The Potential Application of Starch and Walnut Shells as Biofillers for Natural Rubber (NR) Composites. Int. J. Mol. Sci. 2022, 23, 7968. [Google Scholar] [CrossRef]
- Jang, S.M.; Li, M.C.; Lim, J.H.; Cho, U.R. Study on Properties of Natural Rubber Compound Using Starch as Filler. Asian J. Chem. 2013, 25, 5221–5225. [Google Scholar] [CrossRef]
- Roy, S.B.; Shit, S.C.; Sengupta, R.A.; Shukla, P.R. Biodegradability Studies of Bio-Composites of Polypropylene Reinforced By Potato Starch. Int. J. Innov. Res. Sci. 2007, 4, 1120–1130. [Google Scholar] [CrossRef]
- Roy, S.B.; Ramaraj, B.; Shit, S.C.; Nayak, S.K. Polypropylene and Potato Starch Biocomposites: Physicomechanical and Thermal Properties. J. Appl. Polym. Sci. 2011, 120, 3078–3086. [Google Scholar] [CrossRef]
- Jakubowska, E.; Gierszewska, M.; Szydłowska-Czerniak, A.; Nowaczyk, J.; Olewnik-Kruszkowska, E. Development and Characterization of Active Packaging Films Based on Chitosan, Plasticizer, and Quercetin for Repassed Oil Storage. Food Chem. 2023, 399, 133934. [Google Scholar] [CrossRef]
- Luzi, F.; Pannucci, E.; Santi, L.; Kenny, J.M.; Torre, L.; Bernini, R.; Puglia, D. Gallic Acid and Quercetin as Intelligent and Active Ingredients in Poly(Vinyl Alcohol) Films for Food Packaging. Polymers 2019, 11, 1999. [Google Scholar] [CrossRef]
- Roy, S.; Ezati, P.; Khan, A.; Rhim, J.W. New Opportunities and Advances in Quercetin-Added Functional Packaging Films for Sustainable Packaging Applications: A Mini-Review. Crit. Rev. Food Sci. Nutr. 2023, 1–16. [Google Scholar] [CrossRef]
- Parhi, B.; Bharatiya, D.; Swain, S.K. Application of Quercetin Flavonoid Based Hybrid Nanocomposites: A Review. Saudi Pharm. J. 2020, 28, 1719–1732. [Google Scholar] [CrossRef]
- Li, K.; Yang, H.; Yan, H.; Sun, Y.; Chen, X.; Guo, J.; Yue, J.; Huang, C. Quercetin as a Simple but Versatile Primer in Dentin Bonding. RSC Adv. 2017, 7, 36392–36402. [Google Scholar] [CrossRef]
- Masek, A.; Latos, M.; Piotrowska, M.; Zaborski, M. The Potential of Quercetin as an Effective Natural Antioxidant and Indicator for Packaging Materials. Food Packag. Shelf Life 2018, 16, 51–58. [Google Scholar] [CrossRef]
- Ding, X.M.; Chen, L.; Guo, D.M.; Liu, B.W.; Luo, X.; Lei, Y.F.; Zhong, H.Y.; Wang, Y.Z. Controlling Cross-Linking Networks with Different Imidazole Accelerators toward High-Performance Epoxidized Soybean Oil-Based Thermosets. ACS Sustain. Chem. Eng. 2021, 9, 3267–3277. [Google Scholar] [CrossRef]
- Masek, A.; Zaborski, M.; Piotrowska, M. Controlled Degradation of Biocomposites ENR/PCL Containing Natural Antioxidants. Comptes Rendus Chim. 2014, 17, 1128–1135. [Google Scholar] [CrossRef]
- Shibata, M.; Ohkita, T. Fully Biobased Epoxy Resin Systems Composed of a Vanillin-Derived Epoxy Resin and Renewable Phenolic Hardeners. Eur. Polym. J. 2017, 92, 165–173. [Google Scholar] [CrossRef]
- Nirmal, N.P.; Gül¸sah, G.; Koç, Ç.Ç.; Pati, S.; Pandiselvam, R.; In Aamir, A.C.; Dar, H.; Esatbeyoglu, T.; Shabir, I.; Pandey, V.K.; et al. Promising Bioactive Properties of Quercetin for Potential Food Applications and Health Benefits: A Review. Front. Nutr. 2022, 9, 999752–999765. [Google Scholar]
- El-Saber Batiha, G.; Beshbishy, A.M.; Ikram, M.; Mulla, Z.S.; Abd El-Hack, M.E.; Taha, A.E.; Algammal, A.M.; Ali Elewa, Y.H. The Pharmacological Activity, Biochemical Properties, and Pharmacokinetics of the Major Natural Polyphenolic Flavonoid: Quercetin. Foods 2020, 9, 374. [Google Scholar] [CrossRef] [PubMed]
- Samper, M.D.; Fages, E.; Fenollar, O.; Boronat, T.; Balart, R. The Potential of Flavonoids as Natural Antioxidants and UV Light Stabilizers for Polypropylene. J. Appl. Polym. Sci. 2013, 129, 1707–1716. [Google Scholar] [CrossRef]
- Latos, M.; Masek, A.; Zaborski, M. Fotodegradacja Materiałów Polimerowych. Przetwórstwo Tworzyw 2017, 4, 358–363. [Google Scholar]
- Saewan, N.; Jimtaisong, A. Photoprotection of Natural Flavonoids. J. Appl. Pharm. Sci. 2013, 3, 129–141. [Google Scholar] [CrossRef]
- Tzankova Dintcheva, R.A.N. Natural Anti-Oxidants for Bio-Polymeric Materials. Arch. Chem. Res. 2017, 1, 13–17. [Google Scholar] [CrossRef]
- Busiak, R.; Masek, A.; Węgier, A.; Rylski, A. Accelerated Aging of Epoxy Biocomposites Filled with Cellulose. Materials 2022, 15, 3256. [Google Scholar] [CrossRef]
- Capricho, J.C.; Fox, B.; Hameed, N. Multifunctionality in Epoxy Resins. Polym. Rev. 2020, 60, 1–41. [Google Scholar] [CrossRef]
- Wu, C.; Meng, B.C.; Tam, L.o.; He, L. Yellowing Mechanisms of Epoxy and Vinyl Ester Resins under Thermal, UV and Natural Aging Conditions and Protection Methods. Polym. Test. 2022, 114, 107708. [Google Scholar] [CrossRef]
- Nikafshar, S.; McCracken, J.; Dunne, K.; Nejad, M. Improving UV-Stability of Epoxy Coating Using Encapsulated Halloysite Nanotubes with Organic UV-Stabilizers and Lignin. Prog. Org. Coat. 2021, 151, 105843. [Google Scholar] [CrossRef]
- Chen, G.; Feng, J.; Qiu, W.; Zhao, Y. Eugenol-Modified Polysiloxanes as Effective Anticorrosion Additives for Epoxy Resin Coatings. RSC Adv. 2017, 7, 55967–55976. [Google Scholar] [CrossRef]
- Kalita, D.J.; Tarnavchyk, I.; Chisholm, B.J.; Webster, D.C. Novel Bio-Based Epoxy Resins from Eugenol as an Alternative to BPA Epoxy and High Throughput Screening of the Cured Coatings. Polymer 2021, 233, 124191. [Google Scholar] [CrossRef]
- Kalita, D.J.; Tarnavchyk, I.; Selvakumar, S.; Chisholm, B.J.; Sibi, M.; Webster, D.C. Poly (Vinyl Ethers) Based on the Biomass-Derived Compound, Eugenol, and Their One-Component, Ambient-Cured Surface Coatings. Prog. Org. Coat. 2022, 170, 106996. [Google Scholar] [CrossRef]
- ISO 5660-1:2015; Reaction-to-Fire Tests. Heat Release, Smoke Production and Mass Loss Rate. Part 1: Heat Release Rate (Cone Calorimeter Method) and Smoke Production Rate (Dynamic Measurement). ISO: Geneva, Switzerland, 2015.
- ISO 5659-2:2017; Plastics. Smoke Generation. Part 2: Determination of Optical Density by a Single-Chamber Test. ISO: Geneva, Switzerland, 2017.
- EN 45545-2 R6; Passenger Seat Shell. EN 45545-2: Fire Protection of Railway Vehicles—Part 2: Requirement for Fire Behaviors of Materials and Components (R6). Ecosafene Fire Research Center: Xiamen, China, 2015.
- ISO 868:2003; Plastics and Ebonite. Determination of Indentation Hardness by Means of a Durometer (Shore Hardness). ISO: Geneva, Switzerland, 2003.
- ISO 105-J01:1997; Textiles. Tests for Colour Fastness. Part J01: General Principles for Measurement of Surface Colour. ISO: Geneva, Switzerland, 1997.
- UNE-EN ISO 527-1:2020; Plastics—Determination of Mechanical Properties under Static Stretching—Part 1: General Principles. UNE Asociación Española de Normalización: Madrid, Spain, 2020.











| Sample | Composition | Resin Content [%] | Starch Content [%] | Quercetin Content [%] |
|---|---|---|---|---|
| R | referential sample (epoxy resin with flame retardants) | 100 | 0 | 0 |
| R/S15 | sample consisted of epoxy resin with flame retardants and 15 phr * of potato starch | 87 | 13 | 0 |
| R/S15/Q2 | sample consisted of epoxy resin with flame retardants and 15 phr * of potato starch and 2 phr * of quercetin | 85 | 13 | 2 |
| Sample | T05 [°C] | Td [°C] | Residual Rate [%] (T = 1000 °C) |
|---|---|---|---|
| R | 327 | 368.8 | 62.1 |
| R/S15 | 310 | 363.4 | 56.1 |
| R/S15/Q2 | 321 | 367.3 | 59.3 |
| Sample | MAHRE [kW/m2] | Ds(4) [−] | VOF4 [min] |
|---|---|---|---|
| R | 48.04 | 82.69 | 205.56 |
| R/S15 | 55.71 | 127.36 | 374.36 |
| R/S15/Q2 | 49.07 | 144.74 | 361.16 |
| Sample | Before Aging | After Aging | ||||
|---|---|---|---|---|---|---|
| MD | PD | 45 | MD | PD | 45 | |
| R | 17.31 ± 0.20 | 14.36 ± 0.40 | 9.34 ± 0.65 | 18.43 ± 0.24 | 14.78 ± 0.45 | 10.39 ± 0.18 |
| R/S15 | 16.95 ± 0.49 | 13.51 ± 0.27 | 8.64 ± 0.17 | 17.79 ± 0.09 | 14.33 ± 0.25 | 9.55 ± 0.35 |
| R/S15/Q2 | 17.13 ± 0.46 | 14.01 ± 1.22 | 8.46 ± 0.20 | 17.86 ± 0.17 | 14.69 ± 1.00 | 9.94 ± 0.17 |
| Sample | Before Aging | After Aging | ||||
|---|---|---|---|---|---|---|
| MD | PD | 45 | MD | PD | 45 | |
| R | 277.7 ± 4.6 | 223.6 ± 6.7 | 116.9 ± 8.9 | 284.9 ± 4.7 | 223.8 ± 14.2 | 114.9 ± 4.0 |
| R/S15 | 236.6 ± 10.9 | 139.4 ± 7.6 | 84.3 ± 2.6 | 223.7 ± 3.1 | 140.9.3 ± 4.4 | 82.8 ± 17.5 |
| R/S15/Q2 | 217.0 ± 5.1 | 144.4 ± 24.3 | 97.7 ± 2.6 | 211.3 ± 4.0 | 140.2 ± 16.0 | 102.5 ± 3.2 |
Disclaimer/Publisher’s Note: The statements, opinions and data contained in all publications are solely those of the individual author(s) and contributor(s) and not of MDPI and/or the editor(s). MDPI and/or the editor(s) disclaim responsibility for any injury to people or property resulting from any ideas, methods, instructions or products referred to in the content. |
© 2023 by the authors. Licensee MDPI, Basel, Switzerland. This article is an open access article distributed under the terms and conditions of the Creative Commons Attribution (CC BY) license (https://creativecommons.org/licenses/by/4.0/).
Share and Cite
Masek, A.; Olejnik, O.; Czechowski, L.; Kaźmierczyk, F.; Miszczak, S.; Węgier, A.; Krauze, S. Epoxy Resin-Based Materials Containing Natural Additives of Plant Origin Dedicated to Rail Transport. Materials 2023, 16, 7080. https://doi.org/10.3390/ma16227080
Masek A, Olejnik O, Czechowski L, Kaźmierczyk F, Miszczak S, Węgier A, Krauze S. Epoxy Resin-Based Materials Containing Natural Additives of Plant Origin Dedicated to Rail Transport. Materials. 2023; 16(22):7080. https://doi.org/10.3390/ma16227080
Chicago/Turabian StyleMasek, Anna, Olga Olejnik, Leszek Czechowski, Filip Kaźmierczyk, Sebastian Miszczak, Aleksandra Węgier, and Sławomir Krauze. 2023. "Epoxy Resin-Based Materials Containing Natural Additives of Plant Origin Dedicated to Rail Transport" Materials 16, no. 22: 7080. https://doi.org/10.3390/ma16227080
APA StyleMasek, A., Olejnik, O., Czechowski, L., Kaźmierczyk, F., Miszczak, S., Węgier, A., & Krauze, S. (2023). Epoxy Resin-Based Materials Containing Natural Additives of Plant Origin Dedicated to Rail Transport. Materials, 16(22), 7080. https://doi.org/10.3390/ma16227080

