Geometric Conformability of 3D Concrete Printing Mixtures from a Rheological Perspective
Abstract
:1. Introduction
2. Materials and Methods
2.1. Materials and Mixture Design
2.2. Rheological Measurements
2.2.1. Flow Curve
2.2.2. Structural Build-Up
2.3. Isothermal Calorimetry Tests
2.4. Yield Stress
2.5. Printing Experiments
2.6. Overall Deformation Assessment
3. Results and Discussion
3.1. Flow Curve
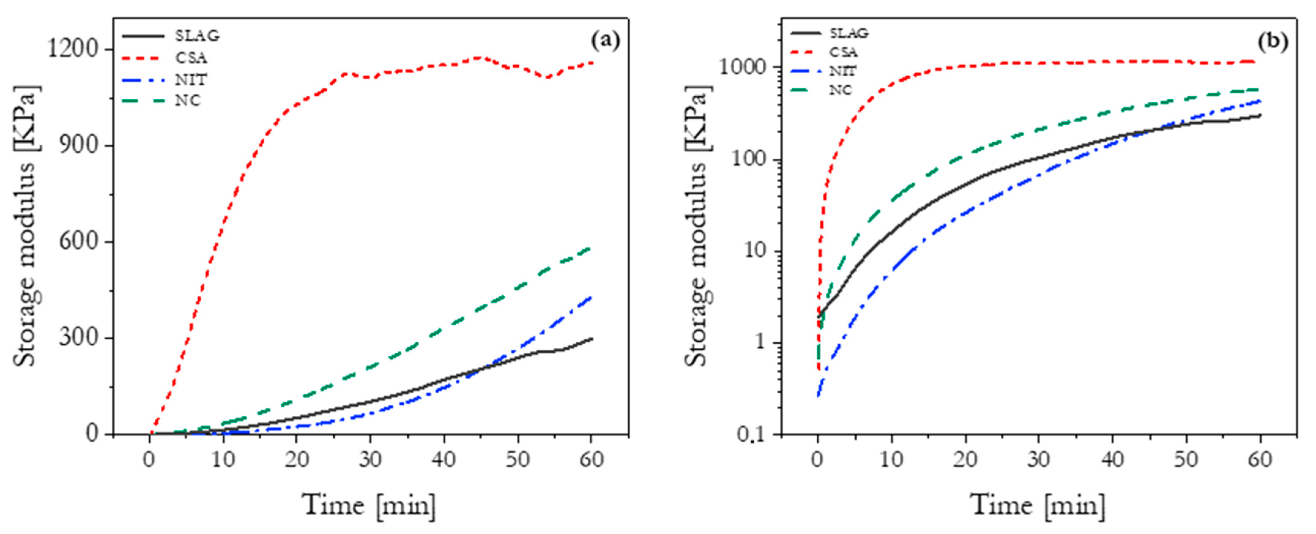
3.2. Structural Build-Up
3.3. Isothermal Calorimetry
3.4. In-Line Yield Stress
3.5. Geometric Conformability of the Layers
3.5.1. Height Variations
3.5.2. Width Variation
3.5.3. Relation between Layer Deformation and Structural Build-Up
4. Conclusions
Author Contributions
Funding
Institutional Review Board Statement
Informed Consent Statement
Data Availability Statement
Conflicts of Interest
References
- Chen, M.; Liu, B.; Li, L.; Cao, L.; Huang, Y.; Wang, S.; Zhao, P.; Lu, L.; Cheng, X. Rheological parameters, thixotropy and creep of 3D-printed calcium sulfoaluminate cement composites modified by bentonite. Compos. Part B 2020, 186, 107821. [Google Scholar] [CrossRef]
- Roussel, N.; Ovarlez, G.; Garrault, S.; Brumaud, C. The origins of thixotropy of fresh cement pastes. Cem. Concr. Res. 2012, 42, 148–157. [Google Scholar] [CrossRef]
- Carneau, P.; Mesnil, R.; Baverel, O.; Roussel, N. Layer pressing in concrete extrusion-based 3D-printing: Experiments and analysis. Cem. Concr. Res. 2022, 155, 106741. [Google Scholar] [CrossRef]
- Suiker, A.S.J.; Wolfs, R.J.M.; Lucas, S.M.; Salet, T.A.M. Elastic buckling and plastic collapse during 3D concrete printing. Cem. Concr. Res. 2020, 135, 106016. [Google Scholar] [CrossRef]
- Roussel, N.; Bessaies-Bey, H.; Kawashima, S.; Marchon, D.; Vasilic, K.; Wolfs, R. Recent advances on yield stress and elasticity of fresh cement-based materials. Cem. Concr. Res. 2019, 124, 105798. [Google Scholar] [CrossRef]
- Reiter, L.; Wangler, T.; Roussel, N.; Flatt, R.J. The role of early age structural build-up in digital fabrication with concrete. Cem. Concr. Res. 2018, 112, 86–95. [Google Scholar] [CrossRef]
- Wangler, T.; Flatt, R.J.; Roussel, N.; Perrot, A.; Sonebi, M.; Wolfs, R.; Bos, F.; Lowke, D.; Freund, N.; Stephan, D.; et al. Chapter 4: Printable Cement-Based Materials: Fresh Properties Measurements and Control. In RILEM Technical Committee Digital Fabrication with Cement-Based Materials (TC-DFC) (Hrsg.): STAR—State of the Art Review; Springer: Berlin/Heidelberg, Germany, 2022; pp. 99–136. [Google Scholar] [CrossRef]
- Wolfs, R.J.M.; Salet, T.A.M.; Roussel, N. Filament geometry control in extrusion-based additive manufacturing of concrete: The good, the bad and the ugly. Cem. Concr. Res. 2021, 150, 106615. [Google Scholar] [CrossRef]
- Skripkiūnas, G.; Kičaitė, A.; Macijauskas, M. The influence of calcium nitrate on the plasticizing effect of cement paste. J. Civ. Eng. Manag. 2016, 22, 434–441. [Google Scholar] [CrossRef]
- Chikh, N.; Cheikh-Zouaoui, M.; Aggoun, S. Effects of calcium nitrate and triisopropanolamine on the setting and strength evolution of Portland cement pastes. Mater. Struct. 2008, 41, 31–36. [Google Scholar] [CrossRef]
- Douba, A.; Ma, S.; Kawashima, S. Rheology of fresh cement pastes modified with nanoclay-coated cements. Cem. Concr. Comp. 2022, 125, 104301. [Google Scholar] [CrossRef]
- Dai, X.; Ren, Q.; Aydm, S.; Yardımcı, M.Y.; Lesage, K.; De Schutter, G. Enhancing thixotropy and structural build-up of alkali-activated slag/fly ash pastes with nano clay. Mater. Struct. 2021, 54, 163. [Google Scholar] [CrossRef]
- Hafid, H.; Ovarlez, G.; Toussaint, F.; Jezequel, P.H.; Roussel, N. Effect of particle morphological parameters on sand grains packing properties and rheology of model mortars. Cem. Concr. Res. 2016, 80, 44–51. [Google Scholar] [CrossRef]
- Roussel, N. A thixotropy model for fresh fluid concretes: Theory, validation and applications. Cem. Concr. Res. 2006, 36, 1797–1806. [Google Scholar] [CrossRef]
- Perrot, A.; Rangeard, D.; Pierre, A. Structural built-up of cement-based materials used for 3D-printing extrusion techniques. Mater. Struct. 2015, 49, 1213–1220. [Google Scholar] [CrossRef]
- Ducoulombier, N.; Mesnil, R.; Carneau, P.; Demont, L.; Bessaies-Bey, H.; Caron, J.; Roussel, N. The “Slugs-test” for extrusion-based additive manufacturing: Protocol, analysis and practical limits. Cem. Concr. Comp. 2021, 121, 104074. [Google Scholar] [CrossRef]
- Huang, T.; Li, B.; Yuan, Q.; Shi, Z.; Xie, Y.; Shi, C. Rheological behavior of Portland clinker-calcium sulphoaluminate clinker-anhydrite ternary blend. Cem. Concr. Comp. 2019, 104, 103403. [Google Scholar] [CrossRef]
- Kawashima, S.; Wang, K.; Ferron, R.D.; Kim, J.H.; Tregger, N.; Shah, S. A review of the effect of nanoclays on the fresh and hardened properties of cement-based materials. Cem. Concr. Res. 2021, 147, 106502. [Google Scholar] [CrossRef]
- Skripkiūnas, G.; Kičaitė, A.; Justnes, H.; Pundienė, I. Effect of Calcium Nitrate on the Properties of Portland–Limestone Cement-Based Concrete Cured at Low Temperature. Materials 2021, 14, 1611. [Google Scholar] [CrossRef]
- Park, S.; Jeong, Y.; Moon, J.; Lee, N. Hydration characteristics of calcium sulfoaluminate (CSA) cement/portland cement blended pastes. J. Build. Eng. 2021, 34, 101880. [Google Scholar] [CrossRef]
- Jiao, D.; De Schryver, R.; Shi, C.; De Schutter, G. Thixotropic structural build-up of cement-based materials: A state-of-the-art review. Cem. Concr. Comp. 2021, 122, 104152. [Google Scholar] [CrossRef]
- Nerella, V.N.; Beigh, M.A.B.; Fataei, S.; Mechtcherine, V. Strain-based approach for measuring structural build-up of cement pastes in the context of digital construction. Cem. Concr. Res. 2019, 115, 530–544. [Google Scholar] [CrossRef]
- Ma, S.; Kawashima, S. A rheological approach to study the early-age hydration of oil well cement: Effect of temperature, pressure and nanoclay. Constr. Build. Mater. 2019, 215, 119–127. [Google Scholar] [CrossRef]
- Tao, Y.; Rahul, A.V.; Mohan, M.K.; De Schutter, G.; Van Tittelboom, K. Recent progress and technical challenges in using calcium sulfoaluminate (CSA) cement. Cem. Concr. Comp. 2023, 137, 104908. [Google Scholar] [CrossRef]
- Dorn, T.; Hirsch, T.; Stephan, D. Working mechanism of calcium nitrate as an accelerator for Portland cement hydration. J. Am. Ceram. Soc. 2023, 106, 752–766. [Google Scholar] [CrossRef]
- Mohan, M.K.; Rahul, A.V.; Tao, Y.; De Schutter, G.; Van Tittelboom, K. Hydration reinitiation of borated CSA systems with a two-stage mixing process: An application in extrusion-based concrete 3D printing. Cem. Concr. Res. 2022, 159, 106870. [Google Scholar] [CrossRef]
- Roussel, N. Rheological requirements for printable concretes. Cem. Concr. Res. 2018, 112, 76–85. [Google Scholar] [CrossRef]
- Perrot, A.; Pierre, A.; Nerella, V.N.; Wolfs, R.J.M.; Keita, E.; Nair, S.A.O.; Neithalath, N.; Roussel, N.; Mechtcherine, V. From analytical methods to numerical simulations: A process engineering toolbox for 3D concrete printing. Cem. Concr. Comp. 2021, 122, 104164. [Google Scholar] [CrossRef]
- Mechtcherine, V.; Bos, F.P.; Perrot, A.; da Silva, W.R.L.; Nerella, V.N.; Fataei, S.; Wolfs, R.J.M.; Sonebi, M.; Roussel, N. Extrusion-based additive manufacturing with cement-based materials—Production steps, processes, and their underlying physics: A review. Cem. Concr. Res. 2020, 132, 106037. [Google Scholar] [CrossRef]










| Chemical Composition (wt.%) | CaO | SiO2 | Al2O3 | Fe2O3 | MgO | Na2O | K2O | SO3 |
|---|---|---|---|---|---|---|---|---|
| PC | 63.48 | 19.61 | 5.96 | 4.13 | 0.92 | 0.49 | 0.64 | 2.72 |
| CSA cement | 41.5 | 8.70 | 23.65 | 1.25 | 3.69 | 0.86 | - | 18.86 |
| GGBS | 37.97 | 35.60 | 12.13 | 0.37 | 7.42 | 0.74 | - | 7.24 |
| Nano clay | 3.00 | 50.2 | 9.8 | 3.32 | 9.1 | 0.6 | 0.6 | - |
| Physical properties | Blaine [m2/kg] | Specific gravity [-] | ||||||
| PC | 408 | 3.15 | ||||||
| CSA cement | 500 | 3.16 | ||||||
| GGBS | 428 | 2.80 |
| Material | SLAG | CSA | NIT | NC | ||||
|---|---|---|---|---|---|---|---|---|
| Quantity (kg/m3) | Volume (%) | Quantity (kg/m3) | Volume (%) | Quantity (kg/m3) | Volume (%) | Quantity (kg/m3) | Volume (%) | |
| PC | 397.9 | 13 | 726.7 | 23 | 394.4 | 13 | 396.8 | 13 |
| Slag | 397.9 | 14 | 394.4 | 14 | 396.8 | 14 | ||
| CSA | 80.7 | 3 | ||||||
| Nitrate | 7.89 | 1 | ||||||
| Nanoclay | 3.97 | 0.4 | ||||||
| Sand | 1193.7 | 45 | 1211.2 | 46 | 1183.3 | 45 | 1190.4 | 45 |
| Water | 278.5 | 28 | 282.6 | 28 | 276.1 | 28 | 277.8 | 28 |
| PCE | 2.39 | 0.3 | 4.20 | 0.3 | 4.50 | 0.3 | 4.84 | 0.4 |
| HPMC | 0.80 | 0.1 | 0.81 | 0.1 | ||||
| Total weight (kg) | 2271.2 | 2306.3 | 2260.7 | 2270.5 | ||||
| SLAG | CSA | NIT | NC | |
|---|---|---|---|---|
| (Pa) | 61 | 62 | 57 | 60 |
| (Pa∙s) | 1.7 | 1.3 | 0.9 | 0.7 |
| SLAG | CSA | NIT | NC | |
|---|---|---|---|---|
| (min) | 33 | 12 | 8 | 44 |
| (Pa) | 64 | 240 | 151 | 69 |
| (Pa/min) | 5 | 106 | 32 | 11 |
| SLAG | CSA | NIT | NC | |
|---|---|---|---|---|
| (Pa) | 780 | 860 | 800 | 790 |
| SLAG | CSA | NIT | NC | |||||||||
|---|---|---|---|---|---|---|---|---|---|---|---|---|
| Width (mm) | 8 mm | 10 mm | 15 mm | 8 mm | 10 mm | 15 mm | 8 mm | 10 mm | 15 mm | 8 mm | 10 mm | 15 mm |
| Bottom | 65.92 | 57.10 | 42.85 | 59.16 | 46.85 | 38.91 | - | 46.86 | 40.20 | 53.40 | 49.54 | 37.91 |
| Top | 43.41 | 42.91 | 30.55 | 50.34 | 39.59 | 32.93 | - | 43.72 | 31.03 | 47.86 | 38.63 | 28.61 |
| Average | 57.47 | 49.72 | 34.78 | 55.68 | 43.11 | 34.96 | - | 46.55 | 35.05 | 52.16 | 42.41 | 33.42 |
| SEM * | 2.29 | 1.20 | 1.03 | 0.90 | 0.71 | 0.49 | - | 0.55 | 0.90 | 1.14 | 1.05 | 0.77 |
Disclaimer/Publisher’s Note: The statements, opinions and data contained in all publications are solely those of the individual author(s) and contributor(s) and not of MDPI and/or the editor(s). MDPI and/or the editor(s) disclaim responsibility for any injury to people or property resulting from any ideas, methods, instructions or products referred to in the content. |
© 2023 by the authors. Licensee MDPI, Basel, Switzerland. This article is an open access article distributed under the terms and conditions of the Creative Commons Attribution (CC BY) license (https://creativecommons.org/licenses/by/4.0/).
Share and Cite
Miranda, L.R.M.d.; Jovanović, B.; Lesage, K.; De Schutter, G. Geometric Conformability of 3D Concrete Printing Mixtures from a Rheological Perspective. Materials 2023, 16, 6864. https://doi.org/10.3390/ma16216864
Miranda LRMd, Jovanović B, Lesage K, De Schutter G. Geometric Conformability of 3D Concrete Printing Mixtures from a Rheological Perspective. Materials. 2023; 16(21):6864. https://doi.org/10.3390/ma16216864
Chicago/Turabian StyleMiranda, Luiza R. M. de, Balša Jovanović, Karel Lesage, and Geert De Schutter. 2023. "Geometric Conformability of 3D Concrete Printing Mixtures from a Rheological Perspective" Materials 16, no. 21: 6864. https://doi.org/10.3390/ma16216864
APA StyleMiranda, L. R. M. d., Jovanović, B., Lesage, K., & De Schutter, G. (2023). Geometric Conformability of 3D Concrete Printing Mixtures from a Rheological Perspective. Materials, 16(21), 6864. https://doi.org/10.3390/ma16216864

