Selective Laser Spectroscopy of the Bixbyite-Type Yttrium Scandate Doped by Rare-Earth Ions
Abstract
1. Introduction
2. Materials and Methods
3. Results and Discussion
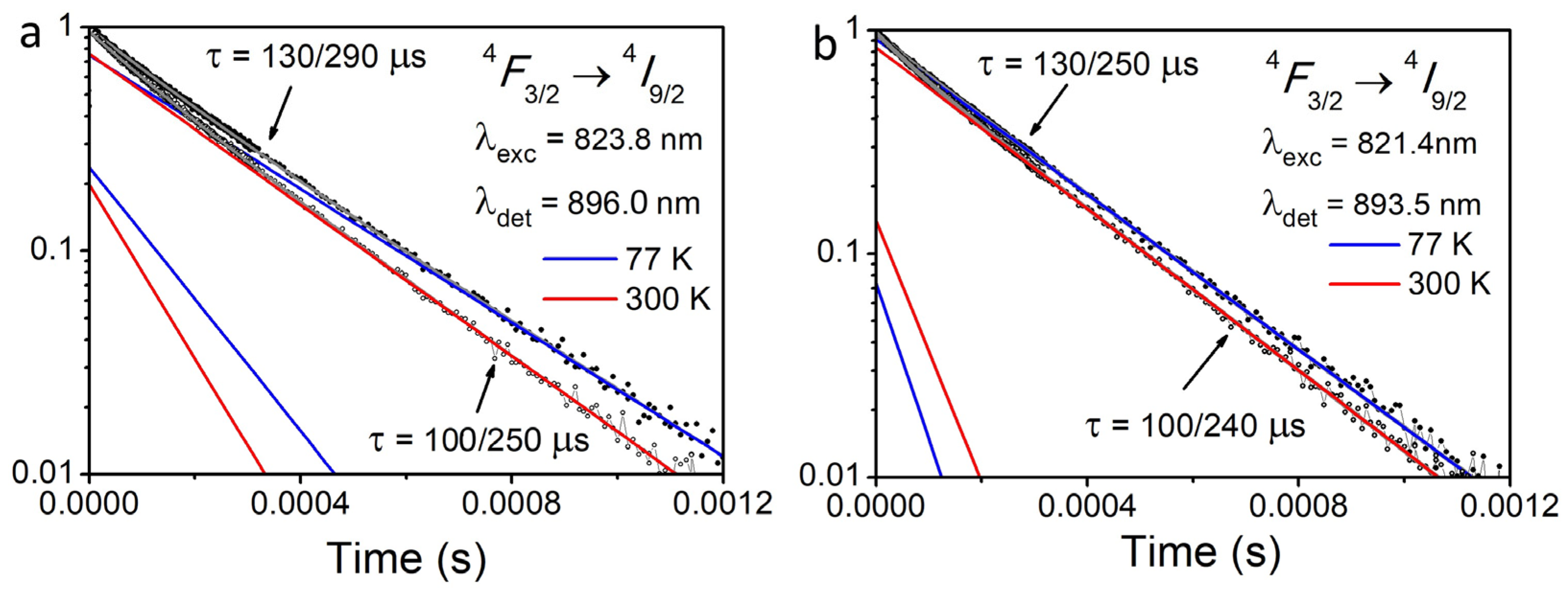
3.1. Spectroscopy of Nd3+:YScO3
3.2. Spectroscopy of Tm3+:YScO3
4. Conclusions
Author Contributions
Funding
Institutional Review Board Statement
Informed Consent Statement
Data Availability Statement
Conflicts of Interest
References
- Klein, P.H.; Croft, W.J. Thermal Conductivity, Diffusivity, and Expansion of Y2O3, Y3Al5O12, and LaF3 in the Range 77°–300° K. J. Appl. Phys. 1967, 38, 1603. [Google Scholar] [CrossRef]
- Nigara, Y. Measurement of the Optical Constants of Yttrium Oxide. Jpn. J. Appl. Phys. 1968, 7, 404. [Google Scholar] [CrossRef]
- Petermann, K. Oxide Laser Crystals Doped with Rare Earth and Transition Metal Ions. In Handbook of Solid-State Lasers: Materials, Systems and Applications; Elsevier: Amsterdam, The Netherlands, 2013; pp. 3–27. [Google Scholar]
- Fornasiero, L.; Mix, E.; Peters, V.; Petermann, K.; Huber, G. New Oxide Crystals for Solid State Lasers. Cryst. Res. Technol. 1999, 34, 255–260. [Google Scholar] [CrossRef]
- Zhou, Z.; Guan, X.; Huang, X.; Xu, B.; Xu, H.; Cai, Z.; Xu, X.; Liu, P.; Li, D.; Zhang, J.; et al. Tm3+-Doped LuYO3 Mixed Sesquioxide Ceramic Laser: Effective 205 Μm Source Operating in Continuous-Wave and Passive Q-Switching Regimes. Opt. Lett. 2017, 42, 3781. [Google Scholar] [CrossRef]
- Liu, W.; Lu, D.; Guo, R.; Wu, K.; Pan, S.; Hang, Y.; Sun, D.; Yu, H.; Zhang, H.; Wang, J. Broadening of the Fluorescence Spectra of Sesquioxide Crystals for Ultrafast Lasers. Cryst. Growth Des. 2020, 20, 4678–4685. [Google Scholar] [CrossRef]
- Moncorgé, R.; Guyot, Y.; Kränkel, C.; Lebbou, K.; Yoshikawa, A. Mid-Infrared Emission Properties of the Tm3+-Doped Sesquioxide Crystals Y2O3, Lu2O3, Sc2O3 and Mixed Compounds (Y,Lu,Sc)2O3 around 1.5-, 2- and 2.3-Μm. J. Lumin. 2022, 241, 118537. [Google Scholar] [CrossRef]
- Li, S.; Zhang, L.; Tan, X.; Deng, W.; He, M.; Chen, G.; Xu, M.; Yang, Y.; Zhang, S.; Zhang, P.; et al. Growth, Structure, and Spectroscopic Properties of a Tm3+, Ho3+ Co-Doped Lu2O3 Crystal for ~2.1 Μm Lasers. Opt. Mater. 2019, 96, 109277. [Google Scholar] [CrossRef]
- Antoinette, M.M.; Israel, S.; Berchmans, J.L.; Manoj, G.J. Enhanced Photoluminescence and Charge Density Studies of Novel (Sm1−xGdx)2O3 Nanophosphors for WLED Applications. J. Mater. Sci. Mater. Electron. 2018, 29, 19368–19381. [Google Scholar] [CrossRef]
- Reenabati Devi, K.; Dorendrajit Singh, S.; David Singh, T. Photoluminescence Properties of White Light Emitting La2O3:Dy3+ Nanocrystals. Indian J. Phys. 2018, 92, 725–730. [Google Scholar] [CrossRef]
- Antoinette, M.M.; Israel, S.; Amali, A.J.; Berchmans, J.L.; Kumar, B.S.; Manoj, G.J.; Usmaniya, U.M. A Novel Synthesis of Orange-Red Emitting (Sm1−xCex)2O3 Nanophosphors for UV LEDs. Nano-Struct. Nano-Objects 2018, 13, 51–58. [Google Scholar] [CrossRef]
- Barrera, E.W.; Cascales, C.; Pujol, M.C.; Park, K.H.; Choi, S.B.; Rotermund, F.; Carvajal, J.J.; Mateos, X.; Aguiló, M.; Díaz, F. Synthesis of Tm:Lu2O3 Nanocrystals for Phosphor Blue Applications. Phys. Proced. 2010, 8, 142–150. [Google Scholar] [CrossRef][Green Version]
- Kumar, A.; Tiwari, S.P.; Kumar, K.; Rai, V.K. Structural and Optical Properties of Thermal Decomposition Assisted Gd2O3:Ho3+/Yb3+ Upconversion Phosphor Annealed at Different Temperatures. Spectrochim. Acta A Mol. Biomol. Spectrosc. 2016, 167, 134–141. [Google Scholar] [CrossRef] [PubMed]
- Tseng, K.P.; Yang, Q.; McCormack, S.J.; Kriven, W.M. High-Entropy, Phase-Constrained, Lanthanide Sesquioxide. J. Am. Ceram. Soc. 2020, 103, 569–576. [Google Scholar] [CrossRef]
- El-Kelany, K.E.; Ravoux, C.; Desmarais, J.K.; Cortona, P.; Pan, Y.; Tse, J.S.; Erba, A. Spin Localization, Magnetic Ordering, and Electronic Properties of Strongly Correlated Ln2O3 Sesquioxides (Ln = La, Ce, Pr, Nd). Phys. Rev. B 2018, 97, 245118. [Google Scholar] [CrossRef]
- Balabanov, S.; Demidova, K.; Filofeev, S.; Ivanov, M.; Kuznetsov, D.; Li, J.; Permin, D.; Rostokina, E. Influence of Lanthanum Concentration on Microstructure of (Ho1–XLax)2O3 Magneto-Optical Ceramics. Phys. Status Solidi B Basic. Res. 2020, 257, 1900500. [Google Scholar] [CrossRef]
- Balabanov, S.S.; Filofeev, S.V.; Ivanov, M.G.; Kalinina, E.G.; Kuznetsov, D.K.; Permin, D.A.; Rostokina, E.Y. Self-Propagating High-Temperature Synthesis of (Ho1−XLax)2O3 Nanopowders for Magneto-Optical Ceramics. Heliyon 2019, 5, e01519. [Google Scholar] [CrossRef]
- Alimov, O.; Dobretsova, E.; Guryev, D.; Kashin, V.; Kiriukhina, G.; Kutovoi, S.; Rusanov, S.; Simonov, S.; Tsvetkov, V.; Vlasov, V.; et al. Growth and Characterization of Neodymium-Doped Yttrium Scandate Crystal Fiber with a Bixbyite-Type Crystal Structure. Cryst. Growth Des. 2020, 20, 4593–4599. [Google Scholar] [CrossRef]
- Pauling, L.; Shappell, M.D. The Crystal Structure of Bixbyite and the C-Modification of the Sesquioxides. Z. Krist. Cryst. Mater. 1930, 75, 128–142. [Google Scholar] [CrossRef]
- Clark, J.B.; Richter, P.W.; Toit, L. du High-Pressure Synthesis of YScO3, HoScO3, ErScO3, and TmScO3, and a Reevaluation of the Lattice Constants of the Rare Earth Scandates. J. Solid. State Chem. 1978, 23, 129–134. [Google Scholar] [CrossRef]
- Hanic, F.; Hartmanová, M.; Knab, G.G.; Urusovskaya, A.A.; Bagdasarov, K.S. Real Structure of Undoped Y2O3 Single Crystals. Acta Crystallogr. Sect. B 1984, 40, 76–82. [Google Scholar] [CrossRef]
- Geller, S.; Romo, P.; Remeika, J.P. Refinement of the Structure of Scandium Sesquioxide. Z. Fur Krist.—New Cryst. Struct. 1967, 124, 136–142. [Google Scholar] [CrossRef]
- Moore, P.B.; Araki, T. Braunite: Its Structure and Relationship Insights on the Genealogy of to Bixbyite, and Some Fluorite Derivative Structures. Am. Mineral. 1976, 61, 1226–1240. [Google Scholar]
- Kitazawa, K.; Fueki, K. Effect of Point Defects on Laser Oscillation Properties of Nd-Doped Y2O3. Jpn. J. Appl. Phys. 1982, 21, 1017. [Google Scholar] [CrossRef]
- Stone, J.; Burrus, C.A. Nd:Y2O3 Single-Crystal Fiber Laser: Room-Temperature Cw Operation at 1.07- and 1.35-Μm Wavelength. J. Appl. Phys. 1978, 49, 2281. [Google Scholar] [CrossRef]
- Chang, N.C.; Gruber, J.B.; Leavitt, R.P.; Morrison, C.A. Optical Spectra, Energy Levels, and Crystal-Field Analysis of Tripositive Rare Earth Ions in Y2O3. I. Kramers Ions in C2 Sites. J. Chem. Phys. 1982, 76, 3877–3889. [Google Scholar] [CrossRef]
- Leavitt, R.P.; Gruber, J.B.; Chang, N.C.; Morrison, C.A. Optical Spectra, Energy Levels, and Crystal-Field Analysis of Tripositive Rare-Earth Ions in Y2O3. II. Non-Kramers Ions in C2 Sites. J. Chem. Phys. 1982, 76, 4775–4788. [Google Scholar] [CrossRef]
- Morrison, C.A.; Leavitt, R.P.; Gruber, J.B.; Chang, N.C. Optical Spectra, Energy Levels, and Crystal-Field Analysis of Tripositive Rare-Earth Ions in Y2O3. III. Intensities and g Values for C2 Sites. J. Chem. Phys. 1983, 79, 4758–4763. [Google Scholar] [CrossRef]
- Gruber, J.B.; Leavitt, R.P.; Morrison, C.A.; Chang, N.C. Optical Spectra, Energy Levels, and Crystal-Field Analysis of Tripositive Rare-Earth Ions in Y2O3. IV. C3i Sites. J. Chem. Phys. 1985, 82, 5373–5378. [Google Scholar] [CrossRef]
- Gruber, J.B.; Krupke, W.F.; Poindexter, J.M. Crystal-Field Splitting of Trivalent Thulium and Erbium J Levels in Yttrium Oxide. J. Chem. Phys. 1964, 41, 3363. [Google Scholar] [CrossRef]
- Mandel, M. Paramagnetic Resonance of Yb3+ in Yttrium Oxide. Appl. Phys. Lett. 1963, 2, 197. [Google Scholar] [CrossRef]
- Fornasiero, L.; Berner, N.; Dicks, B.-M.; Mix, E.; Peters, V.; Petermann, K.; Huber, G. Broadly Tunable Laser Emission from Tm:Y2O3 and Tm:Sc2O3 at 2 μm. In Proceedings of the Advanced Solid State Lasers, Boston, MA, USA, 31 January–3 February 1999; p. WD5. [Google Scholar]
- Fornasiero, L.; Mix, E.; Peters, V.; Heumann, E.; Petermann, K.; Huber, G. Efficient Laser Operation of Nd:Sc2O3 at 966 nm, 1082 nm and 1486 nm. In Proceedings of the Advanced Solid State Lasers, Boston, MA, USA, 31 January–3 February 1999; p. MC6. [Google Scholar]
- Liu, W.; Lu, D.; Pan, S.; Xu, M.; Hang, Y.; Yu, H.; Zhang, H.; Wang, J. Ligand Engineering for Broadening Infrared Luminescence of Kramers Ytterbium Ions in Disordered Sesquioxides. Cryst. Growth Des. 2019, 19, 3704–3713. [Google Scholar] [CrossRef]
- Kränkel, C.; Uvarova, A.; Guguschev, C.; Kalusniak, S.; Hülshoff, L.; Tanaka, H.; Klimm, D. Rare-Earth Doped Mixed Sesquioxides for Ultrafast Lasers [Invited]. Opt. Mater. Express 2022, 12, 1074–1091. [Google Scholar] [CrossRef]
- Reichert, F.; Fechner, M.; Koopmann, P.; Brandt, C.; Petermann, K.; Huber, G. Spectroscopy and Laser Operation of Nd-Doped Mixed Sesquioxides (Lu1−xScx)2O3. Appl. Phys. B 2012, 108, 475–478. [Google Scholar] [CrossRef]
- Dobretsova, E.A.; Alimov, O.K.; Rusanov, S.Y.a.; Kashin, V.V.; Voronov, V.V.; Guryev, D.A.; Kutovoi, S.A.; Vlasov, V.I.; Tsvetkov, V.B. Spectroscopy of the Yttrium Scandate Doped by Thulium Ions. Phys. Solid State 2022, 64, 2238. [Google Scholar] [CrossRef]
- Dobretsova, E.; Alimov, O.; Guryev, D.; Voronov, V.; Rusanov, S.; Kashin, V.; Kutovoy, S.; Vlasov, V.; Badyanova, L.; Novikov, I.; et al. Structural and Spectroscopic Features of the Bixbyite-Type Yttrium Scandate Doped by Rare-Earth Ions. Crystals 2022, 12, 1745. [Google Scholar] [CrossRef]
- Feigelson, R.S. Pulling Optical Fibers. J. Cryst. Growth 1986, 79, 669–680. [Google Scholar] [CrossRef]
- Bufetova, G.A.; Kashin, V.V.; Nikolaev, D.A.; Rusanov, S.Y.; Seregin, V.F.; Tsvetkov, V.B.; Shcherbakov, I.A.; Yakovlev, A.A. Neodymium-Doped Graded-Index Single-Crystal Fibre Lasers. Quantum Elec. 2006, 36, 616. [Google Scholar] [CrossRef]








Disclaimer/Publisher’s Note: The statements, opinions and data contained in all publications are solely those of the individual author(s) and contributor(s) and not of MDPI and/or the editor(s). MDPI and/or the editor(s) disclaim responsibility for any injury to people or property resulting from any ideas, methods, instructions or products referred to in the content. |
© 2023 by the authors. Licensee MDPI, Basel, Switzerland. This article is an open access article distributed under the terms and conditions of the Creative Commons Attribution (CC BY) license (https://creativecommons.org/licenses/by/4.0/).
Share and Cite
Dobretsova, E.; Alimov, O.; Rusanov, S.; Kashin, V.; Tsvetkov, V. Selective Laser Spectroscopy of the Bixbyite-Type Yttrium Scandate Doped by Rare-Earth Ions. Materials 2023, 16, 6829. https://doi.org/10.3390/ma16216829
Dobretsova E, Alimov O, Rusanov S, Kashin V, Tsvetkov V. Selective Laser Spectroscopy of the Bixbyite-Type Yttrium Scandate Doped by Rare-Earth Ions. Materials. 2023; 16(21):6829. https://doi.org/10.3390/ma16216829
Chicago/Turabian StyleDobretsova, Elena, Olimkhon Alimov, Sergey Rusanov, Vitaly Kashin, and Vladimir Tsvetkov. 2023. "Selective Laser Spectroscopy of the Bixbyite-Type Yttrium Scandate Doped by Rare-Earth Ions" Materials 16, no. 21: 6829. https://doi.org/10.3390/ma16216829
APA StyleDobretsova, E., Alimov, O., Rusanov, S., Kashin, V., & Tsvetkov, V. (2023). Selective Laser Spectroscopy of the Bixbyite-Type Yttrium Scandate Doped by Rare-Earth Ions. Materials, 16(21), 6829. https://doi.org/10.3390/ma16216829

