Microporous Block Copolymers Modified with Cu(II)-Coordinated Polyethylene Oxide-Substituted Silicas for Analytical Sensors
Abstract
1. Introduction
2. Materials and Methods
2.1. Materials
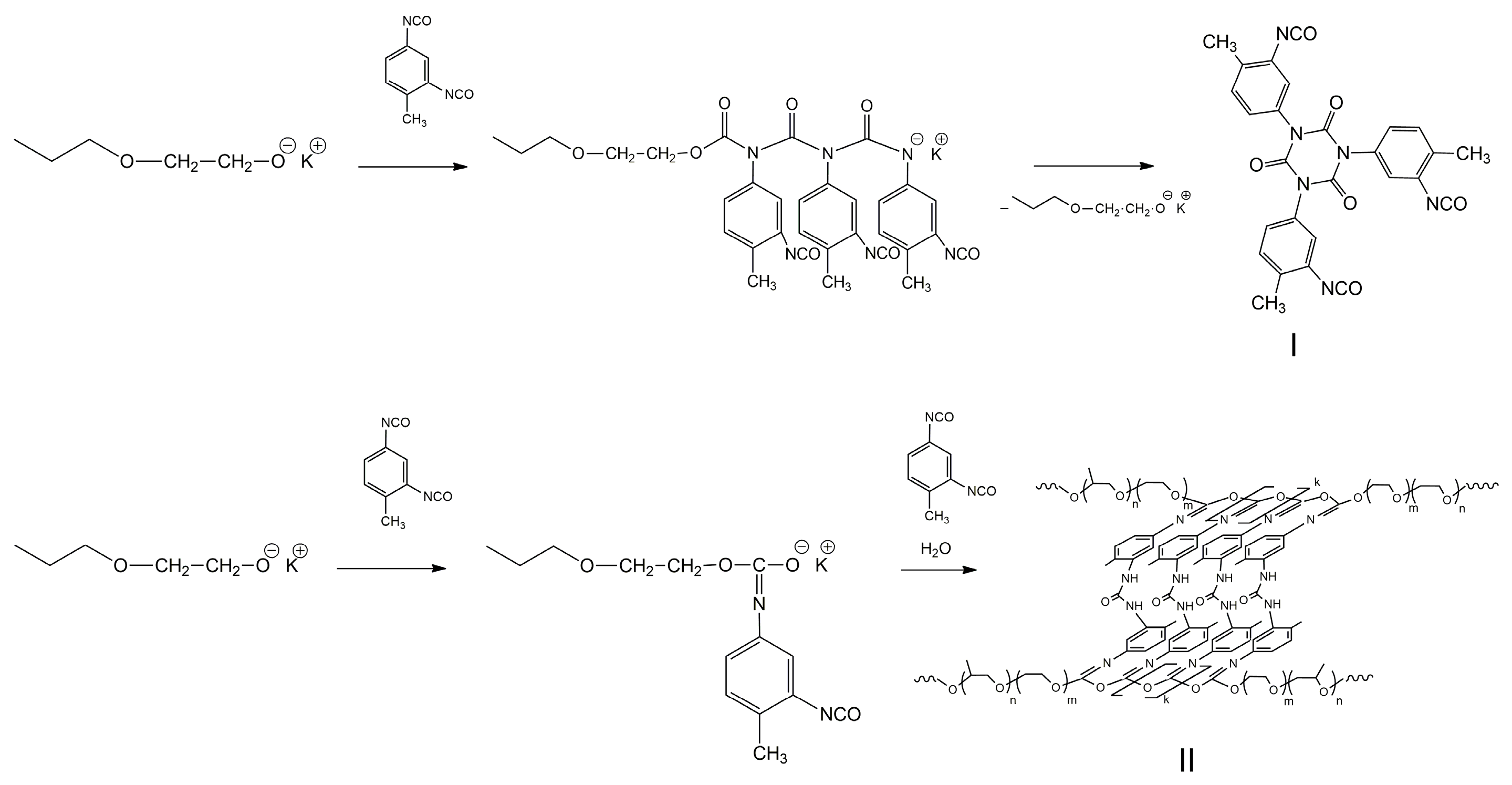
2.2. Procedure for the Block Copolymers as Test Systems Synthesis
2.3. Samples Preparation
2.4. Measurements
2.4.1. Infrared (IR) Spectroscopy
2.4.2. Electronic Spectroscopy
2.4.3. Tensile Stress–Strain Measurements
2.4.4. Temperature Dependence of the Dielectric Loss Tangent (DLT) Measurement
3. Results
3.1. Effect of AsiP-Cu on the OBC Structure
3.2. The Supramolecular Structure Study
3.3. The Analytical Test Systems Obtained Using the OBC
4. Conclusions
Author Contributions
Funding
Institutional Review Board Statement
Informed Consent Statement
Data Availability Statement
Acknowledgments
Conflicts of Interest
References
- Eisenman, G.; Sandblom, J.P.; Walker, J.L. Membrane structure and ion permeation. Science 1967, 155, 965–974. [Google Scholar] [CrossRef] [PubMed]
- Moody, G.J.; Oke, R.B.; Thomas, J.D.R. Calcium-sensitive electrode based on a liquid ion exchanger in a poly(vinyl-chloride) matrix. Analyst 1970, 95, 910–918. [Google Scholar] [CrossRef]
- Pourbasheer, E.; Morsali, S.; Banaei, A.; Aghabalazadeh, M.R.G.; Norouzi, P. Design of a novel optical sensor for determination of trace amounts of copper by UV/VIS spectrophotometry in the real samples. J. Ind. Eng. Chem. 2014, 26, 70–374. [Google Scholar] [CrossRef]
- Hisamoto, H.; Suzuki, K. Ion-selective optodes: Current developments and future prospects. Trends Analyt. Chem. 1999, 18, 513–524. [Google Scholar] [CrossRef]
- Aksuner, N.; Henden, E.; Yilmaz, I.; Cukurovali, A. A highly sensitive and selective fluorescent sensor for the determination of copper (II) based on a schiff base. Dye. Pigment. 2009, 83, 211–217. [Google Scholar] [CrossRef]
- Denna, M.C.F.J.; Camitan, R.A.B.; Yabut, D.A.O.; Rivera, B.A.; Coo, L.D. Determination of Cu(II) in environmental water samples using polymer inclusion membrane-TAC optode in a continuous flow system. Sens. Actuators B Chem. 2018, 260, 445–451. [Google Scholar] [CrossRef]
- Zolotov, Y.A.; Tsysin, G.I.; Morosanova, E.I.; Dmitrienko, S.G. Sorption preconcentration of microcomponents for chemical analysis. Russ. Chem. Revs. 2005, 74, 37–60. [Google Scholar] [CrossRef]
- Dmitrienko, S.G.; Tikhomirova, T.I.; Apyari, V.V.; Tolmacheva, V.V.; Kochuk, E.V.; Zolotov, Y.A. Application of Hypercrosslinked Polystyrenes to the Preconcentration and Separation of Organic Compounds and Ions of Elements. J. Anal. Chem. 2018, 73, 1053–1063. [Google Scholar] [CrossRef]
- Ghemati, D.; Aliouche, D. Dye adsorption behavior of polyvinyl alcohol/glutaraldehyde/b-cyclodextrin polymer membranes. J. Appl. Spectrosc. 2014, 81, 257–263. [Google Scholar] [CrossRef]
- Filho, N.L.D.; Gushikem, Y.; Franco, D.W.; Schultz, M.S.; Vasconcellos, L.C.G. Study of copper complexes adsorbed on a silica gel surface chemically modified with 2-amino-1,3,4-thiadiazole. Colloids Surf. A Physicochem. Eng. Asp. 1998, 141, 181–187. [Google Scholar] [CrossRef]
- Lennon, E.M.; Katsov, K.; Fredrickson, G.H. Free energy evaluation in field-theoretic polymer simulations. Phys. Rev. Lett. 2008, 101, 138302. [Google Scholar] [CrossRef] [PubMed]
- Matsen, M.W.; Bates, F.S. Origins of complex self-assembly in block copolymers. Macromolecules 1996, 29, 7641–7644. [Google Scholar] [CrossRef]
- Wang, H.; Lu, W.; Wang, W.; Shah, P.N.; Misichronis, K.; Kang, N.-G.; Mays, J.W. Design and synthesis of multigraft copolymer thermoplastic elastomers: Superelastomers. Macromol. Chem. Phys. 2017, 219, 1700254. [Google Scholar] [CrossRef]
- Aydogan, C.; Kutahya, C.; Allushi, A.; Yilmaz, G.; Yagci, Y. Block copolymer synthesis in one shot: Concurrent metal-free atrp and rop processes under sunlight. Polym. Chem. 2017, 8, 2899–2903. [Google Scholar] [CrossRef]
- Wang, J.-S.; Matyjaszewski, K. Living/controlled radical polymerization. Transition-metal-catalyzed atom transfer radical polymerization in the presence of a conventional radical initiator. Macromolecules 1995, 28, 7572–7573. [Google Scholar] [CrossRef]
- Nicolas, J.; Guillaneuf, Y.; Lefay, C.; Bertin, D.; Gigmes, D.; Charleux, B. Nitroxide-mediated polymerization. Prog. Polym. Sci. 2013, 38, 63–235. [Google Scholar] [CrossRef]
- Orilall, M.C.; Wiesner, U. Block copolymer based composition and morphology control in nanostructured hybrid materials for energy conversion and storage: Solar cells, batteries, and fuel cells. Chem. Soc. Rev. 2011, 40, 520–535. [Google Scholar] [CrossRef] [PubMed]
- Li, C.; Tang, Y.; Armes, S.P.; Morris, C.J.; Rose, S.F.; Lloyd, A.W.; Lewis, A.L. Synthesis and characterization of biocompatible thermo-responsive gelators based on aba triblock copolymers. Biomacromolecules 2005, 6, 994–999. [Google Scholar] [CrossRef]
- Poelma, J.E.; Ono, K.; Miyajima, D.; Aida, T.; Satoh, K.; Hawker, C.J. Cyclic block copolymers for controlling feature sizes in block copolymer lithography. ACS Nano 2012, 6, 10845–10854. [Google Scholar] [CrossRef]
- Advincula, R.; Zhou, Q.; Park, M.; Wang, S.; Mays, J.; Sakellariou, G.; Pispas, S.; Hadjichristidis, N. Polymer brushes by living anionic surface initiated polymerization on flat silicon (sio x) and gold surfaces: Homopolymers and block copolymers. Langmuir 2002, 18, 8672–8684. [Google Scholar] [CrossRef]
- Hirao, A.; Hayashi, M.; Haraguchi, N. Synthesis of well-defined functionalized polymers and star branched polymers by means of living anionic polymerization using specially designed 1,1-diphenylethylene derivatives. Macromol. Rapid Commun. 2000, 21, 1171–1184. [Google Scholar] [CrossRef]
- Zhou, Q.; Fan, X.; Xia, C.; Mays, J.; Advincula, R. Living anionic surface initiated polymerization (sip) of styrene from clay surfaces. Chem. Mater. 2001, 13, 2465–2467. [Google Scholar] [CrossRef]
- Wojnarowska, Z.; Feng, H.; Fu, Y.; Cheng, S.; Carroll, B.; Kumar, R.; Novikov, V.N.; Kisliuk, A.M.; Saito, T.; Kang, N.-G.; et al. Effect of chain rigidity on the decoupling of ion motion from segmental relaxation in polymerized ionic liquids: Ambient and elevated pressure studies. Macromolecules 2017, 50, 6710–6721. [Google Scholar] [CrossRef]
- Uhrig, D.; Mays, J.W. Synthesis of combs, centipedes, and barbwires: Poly (isoprene-graft-styrene) regular multigraft copolymers with trifunctional, tetrafunctional, and hexafunctional branch points. Macromolecules 2002, 35, 7182–7190. [Google Scholar] [CrossRef]
- Matsuo, A.; Watanabe, T.; Hirao, A. Synthesis of well-defined dendrimer-like branched polymers and block copolymer by the iterative approach involving coupling reaction of living anionic polymer and functionalization. Macromolecules 2004, 37, 6283–6290. [Google Scholar] [CrossRef]
- Iatrou, H.; Mays, J.W.; Hadjichristidis, N. Regular comb polystyrenes and graft polyisoprene/polystyrene copolymerswith double branches (“centipedes”). Quality of (1,3-phenylene) bis (3-methyl-1-phenylpentylidene) dilithium initiator in the presence of polar additives. Macromolecules 1998, 31, 6697–6701. [Google Scholar] [CrossRef]
- Quirk, R.P.; Yoo, T.; Lee, Y.; Kim, J.; Lee, B. Applications of 1,1-diphenylethylene chemistry in anionic synthesis of polymers with controlled structures. In Biopolymers PVA Hydrogels, Anionic Polymerisation Nanocomposites; Springer: Berlin/Heidelberg, Germany, 2000; pp. 67–162. [Google Scholar]
- Hawker, C.J.; Wooley, K.L. The convergence of synthetic organic and polymer chemistries. Science 2005, 309, 1200–1205. [Google Scholar] [CrossRef]
- Fan, F.; Wang, W.Y.; Holt, A.P.; Feng, H.B.; Uhrig, D.; Lu, X.Y.; Hong, T.; Wang, Y.Y.; Kang, N.G.; Mays, J.; et al. Effect of molecular weight on the ion transport mechanism in polymerized ionic liquids. Macromolecules 2016, 49, 4557–4570. [Google Scholar] [CrossRef]
- Matyjaszewski, K.; Spanswick, J. Controlled/living radical polymerization. Mater. Today 2005, 8, 26–33. [Google Scholar] [CrossRef]
- Matyjaszewski, K.; Sumerlin, B.S.; Tsarevsky, N.V. Progress in Controlled Radical Polymerization: Mechanisms and Techniques; ACS Symposium Series; American Chemical Society: Washington, DC, USA, 2012. [Google Scholar]
- Braunecker, W.A.; Matyjaszewski, K. Controlled/living radical polymerization: Features, developments, and perspectives. Prog. Polym. Sci. 2007, 32, 93–146. [Google Scholar] [CrossRef]
- Gody, G.; Zetterlund, P.B.; Perrier, S.; Harrisson, S. The limits of precision monomer placement in chain growth polymerization. Nat. Commun. 2016, 7, 10514. [Google Scholar] [CrossRef] [PubMed]
- Wojnarowska, Z.; Feng, H.; Diaz, M.; Ortiz, A.; Ortiz, I.; Knapik-Kowalczuk, J.; Vilas, M.; Verdía, P.; Tojo, E.; Saito, T. Revealing the charge transport mechanism in polymerized ionic liquids: Insight from high pressure conductivity studies. Chem. Mater. 2017, 29, 8082–8092. [Google Scholar] [CrossRef]
- Matsuo, Y.; Konno, R.; Ishizone, T.; Goseki, R.; Hirao, A. Precise synthesis of block polymers composed of three or more blocks by specially designed linking methodologies in conjunction with living anionic polymerization system. Polymers 2013, 5, 1012–1040. [Google Scholar] [CrossRef]
- Hadjichristidis, N.; Pitsikalis, M.; Pispas, S.; Iatrou, H. Polymers with complex architecture by living anionic polymerization. Chem. Rev. 2001, 101, 3747–3792. [Google Scholar] [CrossRef] [PubMed]
- Nunes, S.P.; Sougrat, R.; Hooghan, B.; Anjum, D.H.; Behzad, A.R.; Zhao, L.; Pradeep, N.; Pinnau, I.; Vainio, U.; Peinemann, K.-V. Ultraporous films with uniform nanochannels by block-copolymer micelles assembly. Macromolecules 2010, 43, 8079–8085. [Google Scholar] [CrossRef]
- Höhme, C.; Hahn, J.; Lademann, B.; Meyer, A.; Bajer, B. Formation of high thermally stable isoporous integral asymmetric block copolymer membranes. Eur. Polym. J. 2016, 85, 72–81. [Google Scholar] [CrossRef]
- Davletbaeva, I.M.; Mazil’nikov, A.I.; Zaripov, I.I.; Davletbaev, R.S.; Gumerov, A.M.; Parfenov, V.V. Synthesis of Block Copolymers Based on a Macroinitiator and 2,4-Toluene Diisocyanate. Polym. Sci. Ser. B 2018, 60, 34–40. [Google Scholar] [CrossRef]
- Davletbaeva, I.M.; Zaripov, I.I.; Mazilnikov, A.I.; Davletbaev, R.S.; Sharifullin, R.R.; Atlaskin, A.A.; Sazanova, T.S.; Vorotyntsev, I.V. Synthesis and Study of Gas Transport Properties of Polymers Based on Macroinitiators and 2,4-Toluene Diisocyanate. Membranes 2019, 9, 42. [Google Scholar] [CrossRef]
- Davletbaeva, I.M.; Alentiev, A.Y.; Faizulina, Z.Z.; Zaripov, I.I.; Nikiforov, R.Y.; Parfenov, V.V.; Arkhipov, A.V. Organosilica-Modified Multiblock Copolymers for Membrane Gas Separation. Polymers 2021, 13, 3579. [Google Scholar] [CrossRef]
- Davletbaeva, I.M.; Faizulina, Z.Z.; Li, E.; Sazonov, O.O.; Efimov, S.V.; Klochkov, V.V.; Arkhipov, A.V.; Davletbaev, R.S. Silicas with Polyoxyethylene Branches for Modification of Membranes Based on Microporous Block Copolymers. Membranes 2023, 13, 642. [Google Scholar] [CrossRef]
- Shin, Y.; Lee, D.; Lee, K.; Ahn, K.H.; Kim, B. Surface properties of silica nanoparticles modified with polymers for polymer nanocomposite applications. J. Ind. Eng. Chem. 2008, 14, 515–519. [Google Scholar] [CrossRef]
- Parida, S.K.; Dash, S.; Patel, S.; Mishra, B.K. Adsorption of organic molecules on silica surface. Adv. Colloid Interface Sci. 2006, 121, 77–110. [Google Scholar] [CrossRef] [PubMed]
- Mubarekyan, E.; Santore, M.M. Influence of molecular weight and layer age on self-exchange kinetics for saturated layers of PEO in a good solvent. Macromolecules 2001, 34, 4978–4986. [Google Scholar] [CrossRef]
- Akoum, R.A.; Vaulot, C.; Schwartz, D.; Hirn, M.-P.; Haidar, B. How silanization of silica particles affects the adsorption of PDMS chains on its surface. J. Polym. Sci. B 2010, 48, 2371–2378. [Google Scholar] [CrossRef]
- Garcia, N.; Benito, E.; Tiemblo, P.; Hasan, M.M.B.; Synytska, A.; Stamm, M. Chemically guided topography in alkylsilane- and oligosiloxane-modified silica nanoparticle coatings: From very hydrophobic surfaces to “pearl” bouncing droplets. Soft Matter 2010, 6, 4768–4776. [Google Scholar] [CrossRef]
- Silviana, S.; Sanyoto, J.G.; Darmawan, A. Preparation of geothermal silica glass coating film through multi-factor optimization. J. Teknol. 2021, 83, 41–49. [Google Scholar] [CrossRef]
- Kyriakou, N.; Pizzoccaro-Zilamy, M.-A.; Nijmeijer, A.; Luiten-Olieman, M.; Winnubst, L. Hydrolytic stability of PEG-grafted γ-alumina membranes: Alkoxysilane vs phosphonic acid linking groups. Microporous Mesoporous Mater. 2020, 307, 110516. [Google Scholar] [CrossRef]
- Papra, A.; Gadegaard, N.; Larsen, N.B. Characterization of ultrathin poly(ethylene glycol) monolayers on silicon substrates. Langmuir 2001, 17, 1457–1460. [Google Scholar] [CrossRef]
- Akbari, A.; Yegani, R.; Pourabbas, B. Synthesis of poly(ethylene glycol) (PEG) grafted silica nanoparticles with a minimum adhesion of proteins via one-pot one-step method. Colloids Surf. A Physicochem. Eng. Asp. 2015, 484, 206–215. [Google Scholar] [CrossRef]
- Popova, M.; Koseva, N.; Trendafilova, I.; Lazarova, H.; Mitova, V.; Mihály, J.; Momekova, D.; Konstantinov, S.; Koleva, I.Z.; Petkov, P.S.; et al. Design of PEG-modified magnetic nanoporous silica based miltefosine delivery system: Experimental and theoretical approaches. Microporous Mesoporous Mater. 2021, 310, 110664. [Google Scholar] [CrossRef]
- Al-shaeli, M.; Smith, S.J.D.; Jiang, S.; Wang, H.; Zhang, K.; Ladewig, B.P. Anti-fouling performance of mixed matrix PVDF membranes with mono-hydroxyl poly(dimethylsiloxane) (PDMS-OH) grafted silica nanoparticles. ChemRxiv 2020. [Google Scholar] [CrossRef]
- Mark, J.E. Ceramic-reinforced polymers and polymer-modified ceramics. Polym. Eng. Sci. 1996, 36, 2905–2920. [Google Scholar] [CrossRef]
- Erdodi, G.; Kennedy, J.P. Amphiphilic conetworks: Definition, synthesis, applications. Prog. Polym. Sci. 2006, 31, 1–18. [Google Scholar] [CrossRef]
- Koenigs, M.M.E.; Mortazavi, A.; Pal, H.; Pawar, G.M.; Storm, C.; Sijbesma, R.P. Tuning cross-link density in a physical hydrogel by supramolecular self-sorting. Macromolecules 2014, 47, 2712–2717. [Google Scholar] [CrossRef]
- Xia, L.W.; Xie, R.; Ju, X.J.; Wang, W.; Chen, Q.; Chu, L.Y. Nano-structured smart hydrogels with rapid response and high elasticity. Nat. Commun. 2013, 4, 2226. [Google Scholar] [CrossRef] [PubMed]
- Liu, J.; Qu, S.; Suo, Z.; Yang, W. Functional hydrogel coatings. Natl. Sci. Rev. 2021, 8, 254. [Google Scholar] [CrossRef]
- Fardad, M.A. Catalysts and the structure of SiO2 sol-gel films. J. Mater. Sci. 2000, 35, 1835–1841. [Google Scholar] [CrossRef]
- Brinker, C.J.; Scherer, G.E. Sol-Gel Science: The Physics and Chemistry of Sol-Gel Processing; Academic Press: San Diego, CA, USA, 1990; p. 881. [Google Scholar]
- Estella, J.; Echeverría, J.C.; Laguna, M.; Garrido, J.J. Effects of aging and drying conditions on the structural and textural properties of silica gels. Microporous Mesoporous Mater. 2007, 102, 274–282. [Google Scholar] [CrossRef]
- Topuz, B.; Çiftçioğlu, M. Preparation of particulate/polymeric sol-gel derived microporous silica membranes and determination of their gas permeation properties. J. Membr. Sci. 2010, 350, 42–52. [Google Scholar] [CrossRef][Green Version]
- Bellamy, L.J. The Infrared Spectra of Complex Molecules; Chapman and Hall: London, UK; Wiley: New York, NY, USA, 1975. [Google Scholar]
- Huijing, H.; Dandan, Z.; Qianyi, R.; Fengwang, M.; Cuihong, M.; Meiran, X. High-performance all-polymer dielectric and electrical energy storage materials containing conjugated segment and multi-fluorinated pendants. Eur. Polym. J. 2020, 122, 10937. [Google Scholar]
- Ueno, K.; Imamura, T.; Cheng, K.L. (Eds.) Handbook of Organic Analytical Reagents, 2nd ed.; CRC Press: Boca Raton, FL, USA, 1992; p. 605. [Google Scholar]








Disclaimer/Publisher’s Note: The statements, opinions and data contained in all publications are solely those of the individual author(s) and contributor(s) and not of MDPI and/or the editor(s). MDPI and/or the editor(s) disclaim responsibility for any injury to people or property resulting from any ideas, methods, instructions or products referred to in the content. |
© 2023 by the authors. Licensee MDPI, Basel, Switzerland. This article is an open access article distributed under the terms and conditions of the Creative Commons Attribution (CC BY) license (https://creativecommons.org/licenses/by/4.0/).
Share and Cite
Davletbaeva, I.M.; Li, E.D.; Faizulina, Z.Z.; Sazonov, O.O.; Mikhailov, O.V.; Safiullin, K.R.; Davletbaev, R.S. Microporous Block Copolymers Modified with Cu(II)-Coordinated Polyethylene Oxide-Substituted Silicas for Analytical Sensors. Materials 2023, 16, 6810. https://doi.org/10.3390/ma16206810
Davletbaeva IM, Li ED, Faizulina ZZ, Sazonov OO, Mikhailov OV, Safiullin KR, Davletbaev RS. Microporous Block Copolymers Modified with Cu(II)-Coordinated Polyethylene Oxide-Substituted Silicas for Analytical Sensors. Materials. 2023; 16(20):6810. https://doi.org/10.3390/ma16206810
Chicago/Turabian StyleDavletbaeva, Ilsiya M., Ekaterina D. Li, Zulfiya Z. Faizulina, Oleg O. Sazonov, Oleg V. Mikhailov, Karim R. Safiullin, and Ruslan S. Davletbaev. 2023. "Microporous Block Copolymers Modified with Cu(II)-Coordinated Polyethylene Oxide-Substituted Silicas for Analytical Sensors" Materials 16, no. 20: 6810. https://doi.org/10.3390/ma16206810
APA StyleDavletbaeva, I. M., Li, E. D., Faizulina, Z. Z., Sazonov, O. O., Mikhailov, O. V., Safiullin, K. R., & Davletbaev, R. S. (2023). Microporous Block Copolymers Modified with Cu(II)-Coordinated Polyethylene Oxide-Substituted Silicas for Analytical Sensors. Materials, 16(20), 6810. https://doi.org/10.3390/ma16206810

