Effect of A- or B-Site Sc Doping on Sintering Temperature, Crystal Structure, Microstructure, and Properties of BaZrxTi1−xO3 Ceramics
Abstract
:1. Introduction
2. Materials and Methods
3. Results and Discussion
3.1. Effect of Sc Ion Doping on Sintering Temperature
3.2. Effect of Sc Ion Content on Crystal Structure of BZT Ceramics
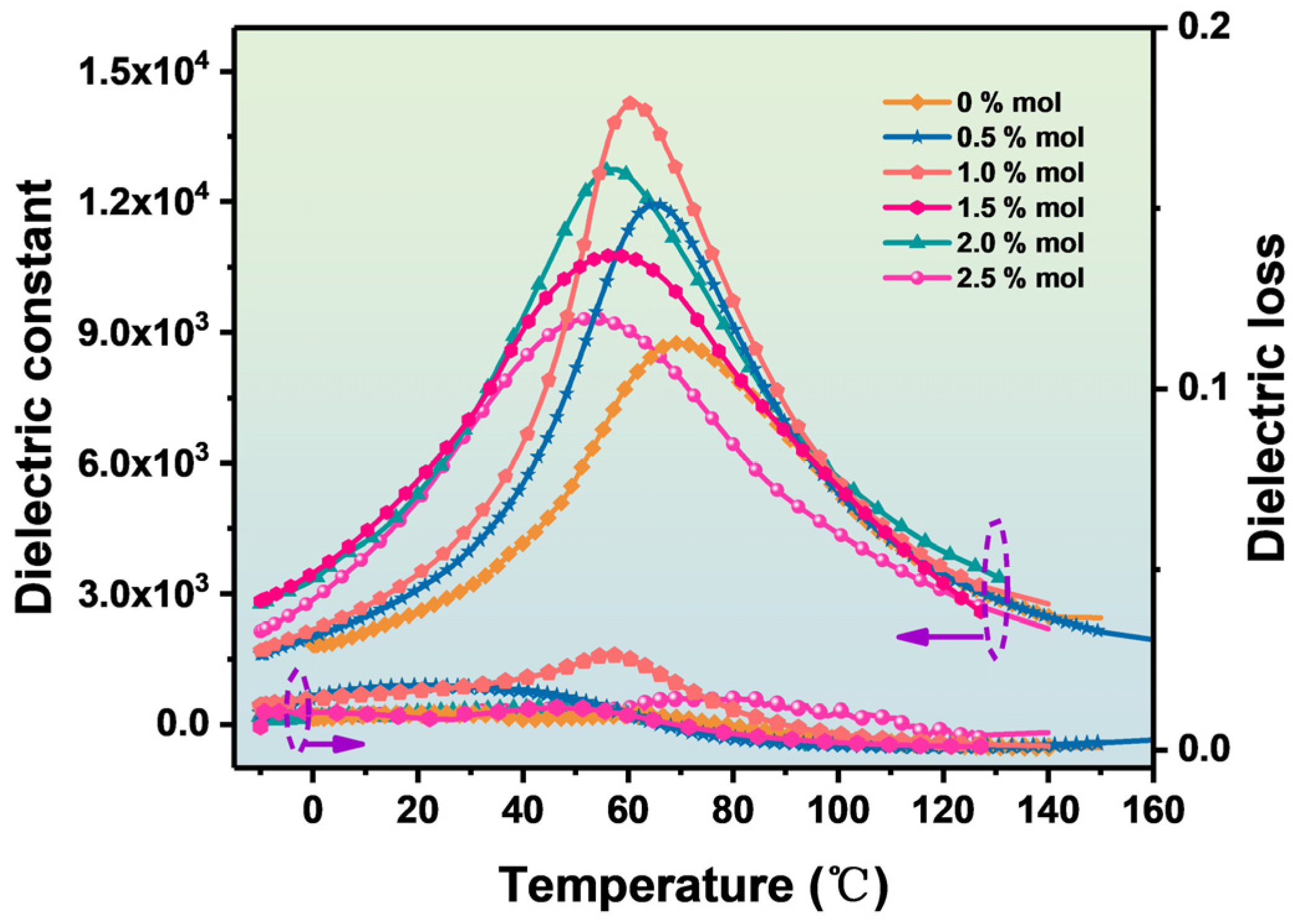
3.3. Effect of Sc Ion Content on Dielectric Properties of BZT Ceramics
4. Conclusions
Supplementary Materials
Author Contributions
Funding
Institutional Review Board Statement
Informed Consent Statement
Data Availability Statement
Conflicts of Interest
References
- Morteza Najarian, A.; Dinic, F.; Chen, H.; Sabatini, R.; Zheng, C.; Lough, A.; Maris, T.; Saidaminov, M.I.; García de Arquer, F.P.; Voznyy, O.; et al. Homomeric chains of intermolecular bonds scaffold octahedral germanium perovskites. Nature 2023, 620, 328–335. [Google Scholar] [CrossRef] [PubMed]
- Xu, Y.; Li, G.; Li, R.; Jing, Y.; Zhang, H.; Wang, X.; Du, Z.; Wu, J.; Lan, Z. PbS/CdS heterojunction thin layer affords high-performance carbon-based all-inorganic solar cells. Nano Energy 2022, 95, 106973. [Google Scholar] [CrossRef]
- Liu, F.; Li, R.; Jing, Y.; Chen, Q.; Chen, X.; Deng, C.; Du, Z.; Sun, W.; Wu, J.; Lan, Z. Mxene regulates the stress of perovskite and improves interface contact for high-efficiency carbon-based all-inorganic solar cells. Chem. Eng. J. 2023, 461, 141895. [Google Scholar]
- Gui, D.-Y.; Ma, X.-Y.; Yuan, H.-D.; Wang, C.-H. Mn- and Yb-Doped BaTiO3-(Na0.5Bi0.5)TiO3 Ferroelectric Relaxor with Low Dielectric Loss. Materials 2023, 16, 2229. [Google Scholar] [CrossRef] [PubMed]
- Mahesh, M.; Pal, P.; Prasad, V.B.; James, A. Improved properties & fatigue resistant behaviour of Ba(Zr0.15Ti0.85)O3 ferroelectric ceramics. Curr. Appl. Phys. 2020, 20, 1373–1378. [Google Scholar]
- Bell, J.G.; Cavasin, N.; Knorpp, A.J.; Graule, T.; Stuer, M. BaTiO3-based thermistor hollow fibers prepared using a phase inversion spinning process for energy efficient gas sorption. J. Eur. Ceram. Soc. 2022, 42, 981–992. [Google Scholar] [CrossRef]
- Amin, R.; Samantaray, K.; Rini, E.; Bhaumik, I.; Sen, S. Grain and grain boundary contributions to AC conductivity in ferroelectric Ba0.75Pb0.25Ti1−xZrxO3 ceramics. Ceram. Int. 2021, 47, 13118–13128. [Google Scholar] [CrossRef]
- Wang, N.; Zhang, B.-P.; Ma, J.; Zhao, L.; Pei, J. Phase structure and electrical properties of Sn and Zr modified BaTiO3 lead-free ceramics. Ceram. Int. 2017, 43, 641–649. [Google Scholar] [CrossRef]
- Liu, L.; Liu, Y.; Hao, J.; Chen, J.; Li, P.; Chen, S.; Fu, P.; Li, W.; Zhai, J. Multi-scale collaborative optimization of SrTiO3-based energy storage ceramics with high performance and excellent stability. Nano Energy 2023, 109, 108275. [Google Scholar] [CrossRef]
- Uzair, M.; Iqbal, Y.; Hayat, K.; Muhammad, R. Sintering behavior, dielectric properties, and impedance spectroscopy of BaTiO3–Li2WO4. J. Mater. Sci. Mater. Electron. 2023, 34, 631. [Google Scholar] [CrossRef]
- Xu, Y.; Zhang, K.; Fu, L.; Tong, T.; Cao, L.; Zhang, Q.; Chen, L. Effect of MgO addition on sintering temperature, crystal structure, dielectric and ferroelectric properties of lead-free BZT ceramics. J. Mater. Sci. Mater. Electron. 2019, 30, 7582–7589. [Google Scholar] [CrossRef]
- Wang, Z.; Hao, H.; Peng, F.; Zhang, W.; Su, C.; Guo, Q.; Yao, Z.; Cao, M.; Liu, H. Defect evolution and effect on structure and electric properties of A/B site Sm doped BaTiO3 sintered in different atmospheres. J. Alloys Compd. 2023, 945, 169211. [Google Scholar] [CrossRef]
- Xie, S.; Bai, Y.; Han, F.; Qin, S.; Li, J.; Qiao, L.; Guo, D. Distinct effects of Ce doping in A or B sites on the electrocaloric effect of BaTiO3 ceramics. J. Alloys Compd. 2017, 724, 163–168. [Google Scholar] [CrossRef]
- Zhang, K.; Xu, Y.; Fu, L.; Chen, L.; Jia, S. Effect of X (X = Al3+, V3+, Sc3+, In3+ and Y3+) Doping on the Dielectric Properties of Lead-Free BZT Ceramics. J. Ceram. Sci. Technol. 2021, 12, 29–36. [Google Scholar]
- Bentzen, M.; Maier, J.; Eckstein, U.; He, J.; Henss, A.; Khansur, N.; Glaum, J. Enhanced grain growth and dielectric properties in aerosol deposited BaTiO3. J. Eur. Ceram. Soc. 2023, 43, 4386–4394. [Google Scholar] [CrossRef]
- Ning, Y.; Pu, Y.; Wu, C.; Zhang, J.; Zhang, X.; Shang, Y. Achieving high energy storage performance below 200 kV/cm in BaTiO3-based medium-entropy ceramics. Ceram. Int. 2023, 49, 20326–20333. [Google Scholar] [CrossRef]
- Chauhan, V.; Wang, B.-X.; Ye, Z.-G. Structure, Antiferroelectricity and Energy-Storage Performance of Lead Hafnate in a Wide Temperature Range. Materials 2023, 16, 4144. [Google Scholar] [CrossRef]
- Rehman, M.U.; Manan, A.; Ullah, A.; Iqbal, Y.; Khan, M.A.; Muhammad, R. Structural, dielectric and complex impedance analysis of Pb-free BaTiO3-Bi(Mg0.5Ce0.5)O3 ceramics. J. Alloys Compd. 2023, 947, 169575. [Google Scholar] [CrossRef]
- Yuan, R.; Balachandran, P.V.; Xue, D.; Zhou, Y.; Ding, X.; Sun, J.; Lookman, T.; Xue, D. Role of cadmium on the phase transitions and electrical properties of BaTiO3 ceramics. Ceram. Int. 2017, 43, 1114–1120. [Google Scholar] [CrossRef]
- Shang, F.; Wei, J.; Deng, Y.; Tang, G.; Xu, J.; Zhou, D.; Xu, H.; Chen, G. A novel route to produce BaTiO3 glass-ceramics with nanosized cubic BaTiO3 phase precipitating for high energy-storage applications. J. Eur. Ceram. Soc. 2023, 43, 3307–3317. [Google Scholar] [CrossRef]
- Wang, W.; Wang, S.; Sun, J.; Wang, Q.; Fang, B. Low-Temperature Sintering of Bi(Ni0.5Ti0.5)O3-BiFeO3-Pb(Zr0.5Ti0.5)O3 Ceramics and Their Performance. Materials 2023, 16, 3459. [Google Scholar] [CrossRef]
- Wang, F.; Mao, H.; Chen, X.; Li, W.; Liu, Z.; Zhang, W.; Bai, S. Modification of BaTiO3 for diversified applications by single Nd element substitution with wide doping range. J. Mater. Sci. Mater. Electron. 2023, 34, 1062. [Google Scholar] [CrossRef]
- Luan, S.; Wang, P.; Zhang, L.; He, Y.; Huang, X.; Jian, G.; Liu, C.; Yu, S.; Sun, R.; Cao, X.; et al. Atmospherically hydrothermal assisted solid-state reaction synthesis of ultrafine BaTiO3 powder with high tetragonality. J. Electroceram. 2023, 50, 97–111. [Google Scholar] [CrossRef]
- Luan, S.; Wang, P.; Zhang, L.; He, Y.; Huang, X.; Jian, G.; Liu, C.; Yu, S.; Sun, R.; Cao, X.; et al. Optimisation of the Zr:Ti ratio in bulk lead zirconate titanate for templated grain growth using BaTiO3 seeds. J. Mater. Sci. 2023, 58, 5693–5704. [Google Scholar]
- Ma, S.; Wang, Z.; Yang, L.; He, D.; Yang, M.; Tong, L.; Zhou, X.; Fan, T. Effect of Sr doping and temperature on the optical properties of BaTiO3. Ceram. Int. 2023, 49, 26102–26109. [Google Scholar] [CrossRef]
- Liu, K.; Zhang, D.; Yang, Y.; Yin, Q.; Lei, Y.; Liu, C.; Li, J.; Jin, L.; Liao, Y.; Zhang, H. Sintering behavior, structural evolution, and dielectric properties of Li2+xMgTiO4Fx microwave dielectric ceramics. J. Eur. Ceram. Soc. 2023, 43, 6098–6106. [Google Scholar] [CrossRef]
- Suchanicz, J.; Sitko, D.; Stanuch, K.; Świerczek, K.; Jagło, G.; Kruk, A.; Kluczewska-Chmielarz, K.; Konieczny, K.; Czaja, P.; Aleksandrowicz, J.; et al. Temperature and E-Poling Evolution of Structural, Vibrational, Dielectric, and Ferroelectric Properties of Ba1−xSrxTiO3 Ceramics (x = 0, 0.1, 0.2, 0.3, 0.4 and 0.45). Materials 2023, 16, 6316. [Google Scholar] [CrossRef] [PubMed]
- Lai, X.; Wu, G. Temperature dependent Raman study of barium metaborate crystal. Spectrochim. Acta 1987, 43A, 1423. [Google Scholar]
- Thakur, S.; Thakur, V.; Kaur, A.; Singh, L. Synthesis and the study of structural, thermal and optical properties of (100-x)Bi2O3-x(BaO-TiO2) glass system. Optik 2020, 223, 165646. [Google Scholar] [CrossRef]
- Liu, G.; Li, Y.; Guo, B.; Tang, M.; Li, Q.; Dong, J.; Yu, L.; Yu, K.; Yan, Y.; Wang, D.; et al. Ultrahigh dielectric breakdown strength and excellent energy storage performance in lead-free barium titanate-based relaxor ferroelectric ceramics via a combined strategy of composition modification, viscous polymer processing, and liquid-phase sintering. Chem. Eng. J. 2020, 398, 125625. [Google Scholar] [CrossRef]
- Chaves, A.; Katiyar, R.S.; Porto, S.P.S. Coupled modes with A1 symmetry in tetragonal BaTiO3. Phys. Rev. B 1974, 10, 3522. [Google Scholar] [CrossRef]
- Pokorny, J.; Pasha, U.M.; Ben, L.; Thakur, O.P.; Sinclair, D.C.; Reaney, I.M. Use of Raman spectroscopy to determine the site occupancy of dopants in BaTiO3. J. Appl. Phys. 2011, 109, 114110. [Google Scholar] [CrossRef]
- Wei, M.; Zhang, J.; Wu, K.; Chen, H.; Yang, C. Effect of BiMO3 (M = al, in, y, sm, nd, and la) doping on the dielectric properties of BaTiO3 ceramics. Ceram. Int. 2017, 43, 9593–9599. [Google Scholar] [CrossRef]
- Shiratori, Y.; Pithan, C.; Dornseiffer, J.; Waser, R. Raman scattering studies on nanocrystalline BaTiO3, Part II-consolidated polycrystalline ceramics. J. Raman Spectrosc. 2007, 38, 1300–1306. [Google Scholar] [CrossRef]
- Kuang, H.; Liang, T.; He, X.; Wu, S.; Oleg, V.; Pang, D. Dielectric, ferroelectric, and piezoelectric properties of rare earth Sm-doped 0.94 Bi0.5Na0.5TiO3-0.06 BaTiO3 lead-free ceramics. J. Alloys Compd. 2023, 960, 170913. [Google Scholar] [CrossRef]
- Zhang, J.; Zhai, J.; Chou, X.; Shao, J.; Lu, X.; Yao, X. Microwave and infrared dielectric response of tunable Ba1−xSrxTi3 ceramics. Acta Mater. 2009, 57, 4491–4499. [Google Scholar] [CrossRef]
- Chen, Y.; Zhong, X.; Shui, A.; He, C. Effect of Bi0.2Sr0.7SnO3 doping on NaNbO3-based ceramics: Enhanced ferroelectric, dielectric, and energy storage performance. J. Mater. Sci. Mater. Electron. 2023, 34, 1301. [Google Scholar] [CrossRef]
- Li, H.N.; Li, J.H.; Shi, Y.C.; Zhang, B.H.; Lin, L.; Liu, R.; Wu, S.J.; Li, X.F.; Shang, J.; Hu, Y.C.; et al. Structure, dielectric, and ferroelectric properties of Ni doping on Ba0.85Ca0.15Zr0.1Ti0.9O3 ceramics. Appl. Phys. A 2023, 129, 474. [Google Scholar] [CrossRef]
- Li, H.; Wu, B.; Lin, C.; Wu, X.; Lin, T.; Gao, M.; Tao, H.; Wu, W.; Zhao, C. Microscopic origin and relevant grain size effect of discontinuous grain growth in BaTiO3-based ferroelectric ceramics. J. Mater. Sci. Technol. 2023, 164, 119–128. [Google Scholar] [CrossRef]
- Guan, P.; Zhang, Y.; Yang, J.; Zheng, M. Effect of Sm3+ doping on ferroelectric, energy storage and photoluminescence properties of BaTiO3 ceramics. Ceram. Int. 2023, 49, 11796–11802. [Google Scholar] [CrossRef]











Disclaimer/Publisher’s Note: The statements, opinions and data contained in all publications are solely those of the individual author(s) and contributor(s) and not of MDPI and/or the editor(s). MDPI and/or the editor(s) disclaim responsibility for any injury to people or property resulting from any ideas, methods, instructions or products referred to in the content. |
© 2023 by the authors. Licensee MDPI, Basel, Switzerland. This article is an open access article distributed under the terms and conditions of the Creative Commons Attribution (CC BY) license (https://creativecommons.org/licenses/by/4.0/).
Share and Cite
Zhang, K.; Li, T.; Xu, Y. Effect of A- or B-Site Sc Doping on Sintering Temperature, Crystal Structure, Microstructure, and Properties of BaZrxTi1−xO3 Ceramics. Materials 2023, 16, 6635. https://doi.org/10.3390/ma16206635
Zhang K, Li T, Xu Y. Effect of A- or B-Site Sc Doping on Sintering Temperature, Crystal Structure, Microstructure, and Properties of BaZrxTi1−xO3 Ceramics. Materials. 2023; 16(20):6635. https://doi.org/10.3390/ma16206635
Chicago/Turabian StyleZhang, Kaituo, Tiantian Li, and Yuan Xu. 2023. "Effect of A- or B-Site Sc Doping on Sintering Temperature, Crystal Structure, Microstructure, and Properties of BaZrxTi1−xO3 Ceramics" Materials 16, no. 20: 6635. https://doi.org/10.3390/ma16206635
APA StyleZhang, K., Li, T., & Xu, Y. (2023). Effect of A- or B-Site Sc Doping on Sintering Temperature, Crystal Structure, Microstructure, and Properties of BaZrxTi1−xO3 Ceramics. Materials, 16(20), 6635. https://doi.org/10.3390/ma16206635

