Low-Molecular-Weight Organogelators Based on N-dodecanoyl-L-amino Acids—Energy Frameworks and Supramolecular Synthons
Abstract
1. Introduction
2. Materials and Methods
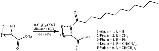
2.1. General Chemistry
2.2. Preparation of the Gels
2.3. X-ray Diffraction
2.4. Energy Framework Calculations
3. Results
Crystal Structure and Energetic Landscape Analysis
4. Conclusions
Supplementary Materials
Author Contributions
Funding
Conflicts of Interest
References
- Bajaj, S.; Singla, D.; Sakhuja, N. Stability testing of pharmaceutical products. J. Appl. Pharm. Sci. 2012, 2, 129–138. [Google Scholar]
- Kommanaboyina, B.; Rhodes, C.T. Trends in stability testing, with emphasis on stability during distribution and storage. Drug Dev. Ind. Pharm. 1999, 25, 857–868. [Google Scholar] [CrossRef] [PubMed]
- Dormont, F.; Brusini, R.; Cailleau, C.; Reynaud, F.; Reynaud, F.; Peramo, A.; Gendron, A.; Mougin, J.; Gaudin, F.; Gaudin, F.; et al. Squalene-based multidrug nanoparticles for improved mitigation of uncontrolled inflammation in rodents. Sci. Adv. 2020, 6, eaaz5466. [Google Scholar] [CrossRef] [PubMed]
- Ahmad, K.; Rabbani, G.; Baig, M.H.; Lim, J.H.; Khan, M.E.; Lee, E.J.; Ashraf, G.M.; Choi, I. Nanoparticle-based drugs: A potential armamentarium of effective anti-cancer therapies. Curr. Drug Metab. 2017, 19, 839–846. [Google Scholar] [CrossRef] [PubMed]
- Sharma, A.K.; Keservani, R.K. (Eds.) Nanoconjugate Nanocarriers for Drug Delivery; Apple Academic Press Inc.: Oakville, ON, Canada, 2019. [Google Scholar]
- McNeil, S.E. Characterization of Nanoparticles Intended for Drug Delivery; Methods in Molecular Biology; Humana Press: Totowa, NJ, USA, 2011; Volume 697, ISBN 978-1-60327-197-4. [Google Scholar]
- Maeda, H.; Wu, J.; Sawa, T.; Matsumura, Y.; Hori, K. Tumor vascular permeability and the EPR effect in macromolecular therapeutics: A review. J. Control Release 2000, 65, 271–284. [Google Scholar] [CrossRef]
- Sahoo, S.K.; Labhasetwar, V. Nanotech approaches to drug delivery and imaging. Drug Discov. Today 2003, 8, 1112–1120. [Google Scholar] [CrossRef]
- Efentakis, M.; Pagoni, I.; Vlachou, M.; Avgoustakis, K. Dimensional changes, gel layer evolution and drug release studies in hydrophilic matrices loaded with drugs of different solubility. Int. J. Pharm. 2007, 339, 66–75. [Google Scholar] [CrossRef]
- Milton Harris, J.; Chess, R.B. Effect of pegylation on pharmaceuticals. Nat. Rev. Drug Discov. 2003, 2, 214–221. [Google Scholar] [CrossRef]
- Jani, P.; Halbert, G.W.; Langridge, J.; Florence, A.T. Nanoparticle uptake by the rat gastrointestinal mucosa: Quantitation and particle size dependency. J. Pharm. Pharmacol. 1990, 42, 821–826. [Google Scholar] [CrossRef] [PubMed]
- Jani, P.; Halbert, G.W.; Langridge, J.; Florence, A.T. The uptake and translocation of latex nanospheres and microspheres after oral administration to rats. J. Pharm. Pharmacol. 1989, 41, 809–812. [Google Scholar] [CrossRef]
- Gupta, R.B.; Kompella, U.B. Nanoparticle Technology for Drug Delivery; Crc Press Inc: Baca Raton, FL, USA, 2006; ISBN 978-1-57444-857-3. [Google Scholar]
- Shapero, K.; Fenaroli, F.; Lynch, I.; Cottell, D.C.; Salvati, A.; Dawson, K.A. Time and space resolved uptake study of silica nanoparticles by human cells. Mol. Biosyst. 2011, 7, 371–378. [Google Scholar] [CrossRef]
- Schmid, G. Nanoparticles: From Theory to Application: Second Edition; Wiley: New York, NY, USA, 2010. [Google Scholar]
- Turkevich, J.; Kim, G. Palladium: Preparation and catalytic properties of particles of uniform size. Science 1970, 169, 873–879. [Google Scholar] [CrossRef] [PubMed]
- Reetz, M.T.; Maase, M. Redox-controlled size-selective fabrication of nanostructured transition metal colloids. Adv. Mater. 1999, 11, 773–777. [Google Scholar] [CrossRef]
- Tao, A.R.; Habas, S.; Yang, P. Shape control of colloidal metal nanocrystals. Small 2008, 4, 310–325. [Google Scholar] [CrossRef]
- Poinern, G.E.J. Laboratory Course in Nanoscience and Nanotechnology; CRC Press: Boca Raton, FL, USA, 2014; ISBN 978-1-4822-3104-5. [Google Scholar]
- McClements, D.J. Nanoparticle- and Microparticle-Based Delivery Systems; CRC Press: Boca Raton, FL, USA, 2014. [Google Scholar]
- Israelachvili, J. Intermolecular and Surface Forces; Elsevier Inc.: Amsterdam, The Netherlands, 2011; ISBN 9780123751829. [Google Scholar]
- Bastiat, G.; Leroux, J.C. Pharmaceutical organogels prepared from aromatic amino acid derivatives. J. Mater. Chem. 2009, 19, 3867–3877. [Google Scholar] [CrossRef] [PubMed]
- Gao, Z.H.; Crowley, W.R.; Shukla, A.J.; Johnson, J.R.; Reger, J.F. Controlled release of contraceptive steroids from biodegradable and injectable gel formulations: In vivo evaluation. Pharm. Res. 1995, 12, 864–868. [Google Scholar] [CrossRef] [PubMed]
- Vintiloiu, A.; Leroux, J.C. Organogels and their use in drug delivery—A review. J. Control Release 2008, 125, 179–192. [Google Scholar] [CrossRef]
- Bielejewski, M.; Łapiński, A.; Demchuk, O. Molecular interactions in high conductive gel electrolytes based on low molecular weight gelator. J. Colloid Interface Sci. 2017, 490, 279–286. [Google Scholar] [CrossRef]
- Bielejewski, M.; Kowalczuk, J.; Kaszyńska, J.; Łapiński, A.; Luboradzki, R.; Demchuk, O.; Tritt-Goc, J. Novel supramolecular organogels based on a hydrazide derivative: Non-polar solvent-assisted self-assembly, selective gelation properties, nanostructure, solvent dynamics. Soft Matter 2013, 9, 7501–7514. [Google Scholar] [CrossRef]
- Bhattacharya, S.; Krishnan-Ghosh, Y. First report of phase selective gelation of oil from oil/water mixtures. Possible implications toward containing oil spills. Chem. Commun. 2001, 2, 185–186. [Google Scholar] [CrossRef]
- Dasmandal, S.; Kundu, A.; Rudra, S.; Mahapatra, A. Binding interaction of an anionic amino acid surfactant with bovine serum albumin: Physicochemical and spectroscopic investigations combined with molecular docking study. RSC Adv. 2015, 5, 79107–79118. [Google Scholar] [CrossRef]
- Pal, A.; Ghosh, Y.K.; Bhattacharya, S. Molecular mechanism of physical gelation of hydrocarbons by fatty acid amides of natural amino acids. Tetrahedron 2007, 63, 7334–7348. [Google Scholar] [CrossRef]
- Chen, J.; Boott, C.E.; Lewis, L.; Siu, A.; Al-Debasi, R.; Carta, V.; Fogh, A.A.; Kurek, D.Z.; Wang, L.; Maclachlan, M.J.; et al. Amino acid-containing phase-selective organogelators: A water-based delivery system for oil spill treatment. ACS Omega 2020, 5, 18758–18765. [Google Scholar] [CrossRef] [PubMed]
- Oda, R. Safin gels with amphiphilic molecules. In Molecular Gels: Materials with Self-Assembled Fibrillar Networks; Springer: Dordrecht, The Netherlands, 2006; pp. 577–609. [Google Scholar]
- Dastidar, P. Supramolecular gelling agents: Can they be designed? Chem. Soc. Rev. 2008, 37, 2699–2715. [Google Scholar] [CrossRef] [PubMed]
- Datta, S.; Bhattacharya, S. Multifarious facets of sugar-derived molecular gels: Molecular features, mechanisms of self-assembly and emerging applications. Chem. Soc. Rev. 2015, 44, 5596–5637. [Google Scholar] [CrossRef] [PubMed]
- Lombardo, D.; Kiselev, M.A.; Magazù, S.; Calandra, P. Amphiphiles self-assembly: Basic concepts and future perspectives of supramolecular approaches. Adv. Condens. Matter Phys. 2015, 2015, 151683. [Google Scholar] [CrossRef]
- Abdellatif, M.M.; Ibrahim, S.; Nomura, K. Efficient and eco-friendly low-molecular-weight gelators based on l-phenylalanine as promising remediation tool for oil pollution. J. King Saud Univ. -Sci. 2020, 32, 946–951. [Google Scholar] [CrossRef]
- Du, X.; Zhou, J.; Shi, J.; Xu, B. Supramolecular hydrogelators and hydrogels: From soft matter to molecular biomaterials. Chem. Rev. 2015, 115, 13165–13307. [Google Scholar] [CrossRef]
- Mongkholkeaw, S.; Songsasen, A.; Duangthongyou, T.; Chainok, K.; Suramitr, S.; Wattanathana, W.; Wannalerse, B. Crystal structure, Hirshfeld surface analysis and computational study of 2-chloro-N-[4-(methylsulfanyl)phenyl]acetamide. Acta Crystallogr. Sect. E Crystallogr. Commun. 2020, 76, 594–598. [Google Scholar] [CrossRef]
- Bojarska, J.; Remko, M.; Madura, I.D.; Wojciechowski, J.M.; Olczak, A.; Kaczmarek, K.; Zabrocki, J.; Wolf, W.M. Supramolecular synthon polymorphism in modified amino acids. Structural, conformational and energy landscapes of N-benzoyl-2′-hydroxy-3-methylisovaline. J. Mol. Struct. 2019, 1190, 11–22. [Google Scholar] [CrossRef]
- Suresh, M.; Srinivasan, K. Crystal structure and Hirshfeld surface analysis of dl-methionine polymorphs (α and β). J. Mol. Struct. 2022, 1250, 131721. [Google Scholar] [CrossRef]
- Pierri, G.; Corno, M.; Macedi, E.; Voccia, M.; Tedesco, C. Solid-state conformational flexibility at work: Energetic landscape of a single crystal-to-single crystal transformation in a cyclic hexapeptoid. Cryst. Growth Des. 2021, 21, 897–907. [Google Scholar] [CrossRef] [PubMed]
- Thomas, S.P.; Spackman, P.R.; Jayatilaka, D.; Spackman, M.A. accurate lattice energies for molecular crystals from experimental crystal structures. J. Chem. Theory Comput. 2018, 14, 1614–1623. [Google Scholar] [CrossRef]
- Dey, D.; Bhandary, S.; Thomas, S.P.; Spackman, M.A.; Chopra, D. Energy frameworks and a topological analysis of the supramolecular features in in situ cryocrystallized liquids: Tuning the weak interaction landscape via fluorination. Phys. Chem. Chem. Phys. 2016, 18, 31811–31820. [Google Scholar] [CrossRef]
- Torubaev, Y.V.; Rai, D.K.; Skabitsky, I.V.; Pakhira, S.; Dmitrienko, A. Energy framework approach to the supramolecular reactions: Interplay of the secondary bonding interaction in Ph2E2 (E = Se, Te)/p-I-C6F4-I co-crystals. New J. Chem. 2019, 43, 7941–7949. [Google Scholar] [CrossRef]
- Poirier, A.; Le Griel, P.; Zinn, T.; Pernot, P.; Roelants, S.L.K.W.; Soetaert, W.; Baccile, N. Energy landscape of the sugar conformation controls the sol-to-gel transition in self-assembled bola glycolipid hydrogels. Chem. Mater. 2022, 34, 5546–5557. [Google Scholar] [CrossRef]
- Groom, C.R.; Bruno, I.J.; Lightfoot, M.P.; Ward, S.C. The Cambridge structural database. Acta Crystallogr. Sect. B Struct. Sci. Cryst. Eng. Mater. 2016, 72, 171–179. [Google Scholar] [CrossRef] [PubMed]
- Schade, B.; Fuhrhop, J.H.; Hubert, V.; Weber, M.; Luger, P. Hydrogen-Bonding Networks Involving Water in Amphiphilic N-Dodecanoyl-l-serine Monohydrate. Acta Crystallogr. Sect. C Cryst. Struct. Commun. 1997, 53, 1070–1073. [Google Scholar] [CrossRef]
- Ogawa, T.; Ohta, A.; Hata, Y.; Miyagishi, S.; Kunimoto, K.K. (R)-1-phenylethylammonium N-tetradecanoyl-L-phenylalaninate monohydrate. Acta Crystallogr. Sect. E Struct. Rep. Online 2006, 62, o153–o155. [Google Scholar] [CrossRef]
- Borkowski, M.; Orvalho, S.; Warszyński, P.; Demchuk, O.M.; Jarek, E.; Zawala, J. Experimental and theoretical study of adsorption of synthesized amino acid core derived surfactants at an air/water interface. Phys. Chem. Chem. Phys. 2022, 24, 3854–3864. [Google Scholar] [CrossRef]
- Hubalek, F.; Foger, F.A. Fatty Acid Acylated D-Amino Acids for Oral Peptide Delivery, Patent no WO2014060447A1—World International Patent Organization 2014. Available online: https://patents.google.com/patent/WO2014060447A1/en (accessed on 13 December 2022).
- Sheldrick, G.M. IUCr A short history of SHELX. Acta Crystallogr. Sect. A Found. Crystallogr. 2008, 64, 112–122. [Google Scholar] [CrossRef]
- Dolomanov, O.V.; Bourhis, L.J.; Gildea, R.J.; Howard, J.A.K.; Puschmann, H. OLEX2: A complete structure solution, refinement and analysis program. J. Appl. Crystallogr. 2009, 42, 339–341. [Google Scholar] [CrossRef]
- Spackman, M.A.; Jayatilaka, D. Hirshfeld surface analysis. CrystEngComm 2009, 11, 19–32. [Google Scholar] [CrossRef]
- Sahoo, P.R.; Kumar, A.; Kumar, A.; Kumar, S. Experimental and computational investigation of polymorphism in methyl 3-hydroxy-4-(piperidin-1-ylmethyl)-2-naphthoate. J. Mol. Struct. 2020, 1219, 128619. [Google Scholar] [CrossRef]
- Miroslaw, B.; Cristóvão, B.; Hnatejko, Z. Halogen bonded lamellar motifs in crystals of Schiff base ZnII–LnIII–ZnII coordination compounds—Synthesis, structure, Hirshfeld surface analysis and physicochemical properties. Polyhedron 2019, 166, 83–90. [Google Scholar] [CrossRef]
- Mahmoudi, G.; Bauzá, A.; Rodríguez-Diéguez, A.; Garczarek, P.; Kaminsky, W.; Frontera, A. Synthesis, X-ray characterization, DFT calculations and Hirshfeld surface analysis studies of carbohydrazone based on Zn(II) complexes. CrystEngComm 2015, 18, 102–112. [Google Scholar] [CrossRef]
- Spackman, P.R.; Turner, M.J.; McKinnon, J.J.; Wolff, S.K.; Grimwood, D.J.; Jayatilaka, D.; Spackman, M.A. CrystalExplorer: A program for Hirshfeld surface analysis, visualization and quantitative analysis of molecular crystals. J. Appl. Crystallogr. 2021, 54, 1006–1011. [Google Scholar] [CrossRef] [PubMed]
- Tan, S.L.; Jotani, M.M.; Tiekink, E.R.T. Utilizing Hirshfeld surface calculations, non-covalent inter action (NCI) plots and the calculation of inter action energies in the analysis of mol ecular packing. Acta Crystallogr. Sect. E Crystallogr. Commun. 2019, 75, 308–318. [Google Scholar] [CrossRef]
- Mackenzie, C.F.; Spackman, P.R.; Jayatilaka, D.; Spackman, M.A. CrystalExplorer model energies and energy frame-works: Extension to metal coordination compounds, organic salts, solvates and open-shell systems. IUCrJ 2017, 4, 575–587. [Google Scholar] [CrossRef]
- Frisch, M.J.; Trucks, G.W.; Schlegel, H.B.; Scuseria, G.E.; Robb, M.A.; Cheeseman, J.R.; Scalmani, G.; Barone, V.; Petersson, G.A.; Nakatsuji, H.; et al. Gaussian 09, Revision A.02; Gaussian Inc.: Wallingford, CT, USA, 2016. [Google Scholar]
- Johansson, S.J.R.; Johannessen, T.; Ellefsen, C.F.; Ristun, M.S.; Antonsen, S.; Hansen, T.V.; Stenstrom, Y.; Nolsoe, J.M.J. A convenient protocol for the synthesis of fatty acid amides. Synlett 2019, 30, 213–217. [Google Scholar]
- Kalek, M.; Fu, G.C. Phosphine-catalyzed doubly stereoconvergent γ-additions of racemic heterocycles to racemic allenoates: The catalytic enantioselective synthesis of protected α,α-disubstituted α-amino acid derivatives. J. Am. Chem. Soc. 2015, 137, 9438–9442. [Google Scholar] [CrossRef] [PubMed]
- Kowalczuk, J.; Łapiński, A.; Stolarczyk, E.; Demchuk, O.M.; Kubiński, K.; Janeczko, M.; Martyna, A.; Masłyk, M.; Turczyniak-Surdacka, S. New Supramolecular Drug Carriers: The Study of Organogel Conjugated Gold Nanoparticles. Molecules 2021, 26, 7462. [Google Scholar] [CrossRef] [PubMed]
- Etter, M.C.; MacDonald, J.C.; Bernstein, J. Graph-set analysis of hydrogen-bond patterns in organic crystals. Acta Crystallogr. Sect. B Struct. Sci. 1990, 46, 256–262. [Google Scholar] [CrossRef] [PubMed]
- Grell, J.; Bernstein, J.; Tinhofer, G. Graph-set analysis of hydrogen-bond patterns: Some mathematical concepts. Acta Crystallogr. Sect. B Struct. Sci. 1999, 55, 1030–1043. [Google Scholar] [CrossRef] [PubMed]








| Crystal | Symmetry Code | R [Å] | E_Coul | E_pol | E_dis | E_rep | E_tot |
|---|---|---|---|---|---|---|---|
| 1-Ala | − | 14.43 | 6.13 | −0.96 | −6.53 | 0.00 | −1.36 |
| x, y, z | 6.36 | −6.24 | −2.15 | −31.70 | 15.51 | −24.57 | |
| x, y, z | 4.89 | −37.73 | −7.03 | −40.07 | 29.23 | −55.60 | |
| − | 20.79 | 0.00 | 0.00 | −1.65 | 0.00 | −1.65 | |
| x, y, z | 5.60 | −8.88 | −2.22 | −61.84 | 21.57 | −51.37 | |
| − | 20.53 | −1.69 | 0.00 | −9.49 | 0.00 | −11.19 | |
| − | 14.50 | −84.67 | −19.91 | −11.93 | 0.00 | −116.50 | |
| − | 17.57 | 10.46 | −1.04 | −2.00 | 0.00 | 7.43 | |
| − | 17.09 | −11.42 | −2.00 | −8.54 | 0.00 | −21.95 | |
| 2-Pro | −x, y + 1/2, −z | 10.56 | −7.40 | −0.59 | −40.94 | 16.50 | −32.43 |
| x, y, z | 6.66 | −14.59 | −3.70 | −50.87 | 22.99 | −46.16 | |
| −x, y + 1/2, −z | 15.22 | −0.95 | −0.07 | −16.64 | 0.00 | −17.66 | |
| −x, y + 1/2, −z | 8.95 | −0.53 | −0.22 | −6.01 | 0.62 | −6.14 | |
| x, y, z | 8.08 | −0.63 | −0.52 | −15.77 | 6.74 | −10.18 | |
| x, y, z | 10.47 | −2.01 | −0.30 | −10.10 | 3.21 | −9.19 | |
| −x, y + 1/2, −z | 9.09 | −60.14 | −10.58 | −14.37 | 43.20 | −41.90 | |
| −x, y + 1/2, −z | 11.89 | −14.38 | −3.63 | −20.21 | 12.30 | −25.91 | |
| 3-Phe | x + 1/2, −y + 1/2, −z | 11.37 | −8.4 | −2.8 | −55.7 | 31.8 | −39.8 |
| x, y, z | 5.34 | −36.6 | −10.4 | −60.3 | 58.7 | −62.7 | |
| −x, y + 1/2, −z + 1/2 | 8.17 | −3.4 | −0.6 | −20.3 | 12.0 | −14.3 | |
| −x + 1/2, −y, z + 1/2 | 15.28 | 1.5 | −1.1 | −35.0 | 0.0 | −29.7 | |
| −x, y + 1/2, -z + 1/2 | 7.49 | −87.1 | −20.7 | −32.9 | 109.1 | −68.7 | |
| x + 1/2, −y + 1/2, −z | 18.32 | −2.3 | −0.5 | −13.4 | 0.0 | −14.5 | |
| −x + 1/2, −y, z + 1/2 | 15.85 | 1.2 | −1.5 | −13.1 | 0.0 | −11.3 | |
| 4-Leu | x, y, z | 5.33 | −31.50 | −6.59 | −52.61 | 33.06 | −57.63 |
| −x, y + 1/2, −z + 1/2 | 9.66 | −77.06 | −13.54 | −14.46 | 50.55 | −54.50 | |
| −x, −y + 1/2, z + 1/2 | 14.83 | −1.16 | −0.74 | −11.93 | 0.00 | −13.84 | |
| −x, −y + 1/2, z + 1/2 | 15.69 | 5.92 | −0.81 | −14.63 | 0.00 | −9.53 | |
| x, −y, −z | 17.76 | 2.43 | −0.07 | −6.62 | 0.00 | −4.26 | |
| −x, y + 1/2, −z + 1/2 | 7.93 | −4.76 | −0.44 | −24.56 | 10.44 | −19.32 | |
| x, −y, −z | 18.54 | 0.21 | 0.00 | −0.87 | 0.00 | −0.66 | |
| x, −y, −z | 10.74 | −3.81 | −0.37 | −25.96 | 8.96 | −21.17 | |
| x, −y, −z | 14.16 | −2.22 | −1.04 | −6.62 | 0.00 | −9.88 | |
| −x, y + 1/2, −z + 1/2 | 9.44 | 0.42 | −0.07 | −3.75 | 0.31 | −3.09 | |
| x, −y, −z | 9.32 | −6.02 | −0.15 | −33.19 | 14.09 | −25.27 | |
| 5-Val | x, y, z | 5.68 | −43.44 | −8.44 | −45.64 | 45.42 | −52.10 |
| −x, y + 1/2, −z + 1/2 | 6.80 | −6.87 | −1.18 | −39.63 | 16.93 | −30.75 | |
| x + 1/2, −y + 1/2, −z | 17.32 | 0.11 | −0.15 | −10.19 | 0.00 | −10.23 | |
| −x, y + 1/2, −z + 1/2 | 5.73 | −91.96 | −15.69 | −46.60 | 80.53 | −73.72 | |
| x + 1/2, −y + 1/2, −z | 17.85 | −3.91 | −0.96 | −13.85 | 0.00 | −18.72 | |
| −x + 1/2, −y, z + 1/2 | 14.41 | 3.81 | −0.07 | −18.81 | 0.00 | −15.08 | |
| −x + 1/2, −y, z + 1/2 | 17.81 | −1.27 | 0.00 | −3.48 | 0.00 | −4.75 |
Disclaimer/Publisher’s Note: The statements, opinions and data contained in all publications are solely those of the individual author(s) and contributor(s) and not of MDPI and/or the editor(s). MDPI and/or the editor(s) disclaim responsibility for any injury to people or property resulting from any ideas, methods, instructions or products referred to in the content. |
© 2023 by the authors. Licensee MDPI, Basel, Switzerland. This article is an open access article distributed under the terms and conditions of the Creative Commons Attribution (CC BY) license (https://creativecommons.org/licenses/by/4.0/).
Share and Cite
Miroslaw, B.; Demchuk, O.M.; Luboradzki, R.; Tyszczuk-Rotko, K. Low-Molecular-Weight Organogelators Based on N-dodecanoyl-L-amino Acids—Energy Frameworks and Supramolecular Synthons. Materials 2023, 16, 702. https://doi.org/10.3390/ma16020702
Miroslaw B, Demchuk OM, Luboradzki R, Tyszczuk-Rotko K. Low-Molecular-Weight Organogelators Based on N-dodecanoyl-L-amino Acids—Energy Frameworks and Supramolecular Synthons. Materials. 2023; 16(2):702. https://doi.org/10.3390/ma16020702
Chicago/Turabian StyleMiroslaw, Barbara, Oleg M. Demchuk, Roman Luboradzki, and Katarzyna Tyszczuk-Rotko. 2023. "Low-Molecular-Weight Organogelators Based on N-dodecanoyl-L-amino Acids—Energy Frameworks and Supramolecular Synthons" Materials 16, no. 2: 702. https://doi.org/10.3390/ma16020702
APA StyleMiroslaw, B., Demchuk, O. M., Luboradzki, R., & Tyszczuk-Rotko, K. (2023). Low-Molecular-Weight Organogelators Based on N-dodecanoyl-L-amino Acids—Energy Frameworks and Supramolecular Synthons. Materials, 16(2), 702. https://doi.org/10.3390/ma16020702

