Wood Residue-Derived Biochar as a Low-Cost, Lubricating Filler in Poly(butylene succinate-co-adipate) Biocomposites
Abstract
1. Introduction
2. Experimental
2.1. Materials
2.2. Composite Production
2.3. Characterization
2.3.1. Thermal Analysis
2.3.2. Rheological and Mechanical Analysis
2.3.3. Morphological Analysis
2.3.4. Fourier Transform Infrared Analysis
3. Results and Discussion
3.1. Thermal Properties
3.2. Fourier Transform Infrared Analysis
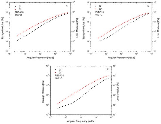
3.3. Rheological and Mechanical Properties
3.4. Morphological Tests
4. Conclusions
Author Contributions
Funding
Informed Consent Statement
Data Availability Statement
Acknowledgments
Conflicts of Interest
References
- Ratto, J.A.; Stenhouse, P.J.; Auerbach, M.; Mitchell, J.; Farrell, R. Processing, Performance and Biodegradability of a Thermoplastic Aliphatic Polyester/Starch System. Polymer 1999, 40, 6777–6788. [Google Scholar] [CrossRef]
- Fujimaki, T. Processability and Properties of Aliphatic Polyesters, “BIONOLLE”, Synthesized by Polycondensation Reaction. Polym. Degrad. Stab. 1998, 59, 209–214. [Google Scholar] [CrossRef]
- Ishioka, D.R.; Kitakuni, E.; Ichikawa, Y. Aliphatic Polyesters: Bionolle. Bipolymers, Polyesters III; Wiley: New York, NY, USA, 2002; p. 275. [Google Scholar]
- Elisa Zini, M.S. Green Composites: An Overview. Polym. Polym. Compos. 2011, 32, 1905–1915. [Google Scholar] [CrossRef]
- Muthuraj, R.; Misra, M.; Mohanty, A.K. Studies on Mechanical, Thermal, and Morphological Characteristics of Biocomposites from Biodegradable Polymer Blends and Natural Fibers. In Biocomposites: Design and Mechanical Performance; Elsevier Ltd.: Amsterdam, The Netherlands, 2015; pp. 93–140. ISBN 9781782423942. [Google Scholar]
- Phua, Y.J.; Pegoretti, A.; Araujo, T.M.; Ishak, Z.A.M. Mechanical and Thermal Properties of Poly(Butylene Succinate)/Poly(3-Hydroxybutyrate-Co-3-Hydroxyvalerate) Biodegradable Blends. J. Appl. Polym. Sci. 2015, 132, 1–10. [Google Scholar] [CrossRef]
- Mary, K.; Mitchell, T.; Ryder, D.H. Degradation of PBSA in Water. In Proceedings of the 75th Annual Technical Conference and Exhibition of the Society of Plastics Engineers, Anaheim, CA, USA, 8–10 May 2017; Volume 2017, pp. 426–430, ISBN 978-087849360-9/978-0-692-88309. [Google Scholar]
- Nishioka, T.M.; Tuzuki, Y.; Wanajyo, H.; Oonami, T.H. Biodegradation of BIONOLLE. Stud. Polym. Sci. 1994, 12, 584–590. [Google Scholar]
- Kasirajan, S.; Ngouajio, M. Polyethylene and Biodegradable Mulches for Agricultural Applications: A Review. Agron. Sustain. Dev. 2012, 32, 501–529. [Google Scholar] [CrossRef]
- Mitsubishi Chemical Group. Available online: www.mcpp-global.com/en/mcpp-europe/products/brand/biopbsTM (accessed on 1 November 2022).
- Dolza, C.; Gonga, E.; Fages, E.; Tejada-Oliveros, R.; Balart, R.; Quiles-Carrillo, L. Green Composites from Partially Bio-Based Poly(Butylene Succinate-Co-Adipate)-PBSA and Short Hemp Fibers with Itaconic Acid-Derived Compatibilizers and Plasticizers. Polymers 2022, 14, 1968. [Google Scholar] [CrossRef]
- Wang, X.L.; Yang, K.K.; Wang, Y.Z. Properties of Starch Blends with Biodegradable Polymers. J. Macromol. Sci. Polym. Rev. 2003, 43, 385–409. [Google Scholar] [CrossRef]
- Seggiani, M.; Altieri, R.; Cinelli, P.; Esposito, A.; Lazzeri, A. Thermoplastic Blends Based on Poly(Butylene Succinate-Co-Adipate) and Different Collagen Hydrolysates from Tanning Industry: I—Processing and Thermo-Mechanical Properties. J. Polym. Environ. 2021, 29, 392–403. [Google Scholar] [CrossRef]
- Robertson, C.G.; Hardman, N.J. Nature of Carbon Black Reinforcement of Rubber: Perspective on the Original Polymer Nanocomposite. Polymers 2021, 13, 538. [Google Scholar] [CrossRef]
- Spahr, M.E.; Rothon, R. Carbon Black as a Polymer Filler. In Encyclopedia of Polymers and Composites; Springer: Berlin/Heidelberg, Germany, 2015; pp. 1–24. [Google Scholar]
- Brockmann, M.; Fischer, M.; Müller, K.M. Exposure to Carbon Black: A Cancer Risk? Int. Arch. Occup. Environ. Health 1998, 71, 85–99. [Google Scholar] [CrossRef] [PubMed]
- Kuempel Eileen, D.; Sorahan, T. Identification of Research Needs to Resolve the Carcinogenicity of High-Priority IARC Carcinogens. In International Agency for Research on Cancer; International Agency for Research on Cancer: Lyon, France, 2010; Volume 42, pp. 61–72. ISBN 9789283224495. [Google Scholar]
- Tripathi, N.; Hills, C.D.; Singh, R.S.; Atkinson, C.J. Biomass Waste Utilisation in Low-Carbon Products: Harnessing a Major Potential Resource. npj Clim. Atmos. Sci. 2019, 2, 35. [Google Scholar] [CrossRef]
- Bolan, N.; Hoang, S.A.; Beiyuan, J.; Gupta, S.; Hou, D.; Karakoti, A.; Joseph, S.; Jung, S.; Kim, K.H.; Kirkham, M.B.; et al. Multifunctional Applications of Biochar beyond Carbon Storage. Int. Mater. Rev. 2022, 67, 150–200. [Google Scholar] [CrossRef]
- Tofighy, M.A.; Mohammadi, T. Barrier, Diffusion, and Transport Properties of Rubber Nanocomposites Containing Carbon Nanofillers. In Carbon-Based Nanofillers and Their Rubber Nanocomposites: Fundamentals and Applications; Elsevier Inc.: Amsterdam, The Netherlands, 2019; pp. 253–285. ISBN 9780128173428. [Google Scholar]
- Suman, S. Conversion of Solid Biomass into Biochar: Act as a Green, Eco-Friendly Energy Source and a Substitute of Fossil Fuel Inputs. In Proceedings of the First World Energies Forum, online, 14 September–5 October 2020; p. 34. [Google Scholar]
- Selvarajoo, A.; Tee, J.X.; Liew, Y.W.; Wong, Y.L. Potential Green Applications of Biochar Derived from Biomass. Mater. Today Proc. 2022, 64, 1616–1621. [Google Scholar] [CrossRef]
- Das, O.; Sarmah, A.K.; Bhattacharyya, D. A Novel Approach in Organic Waste Utilization through Biochar Addition in Wood/Polypropylene Composites. Waste Manag. 2015, 38, 132–140. [Google Scholar] [CrossRef]
- Bartoli, M.; Arrigo, R.; Malucelli, G.; Tagliaferro, A.; Duraccio, D. Recent Advances in Biochar Polymer Composites. Polymers 2022, 14, 2506. [Google Scholar] [CrossRef]
- Mohanty, A.; Manjusri, M.; Rodriguez-Uribe, A.; Bali, A. Renewable Replacement for Carbon Black in Composites and Methods of Making and Using Thereof. 2015, pp. 1–37. Available online: https://patents.google.com/patent/WO2015135080A1/en (accessed on 1 December 2022).
- Tengku Yasim-Anuar, T.A.; Yee-Foong, L.N.; Lawal, A.A.; Ahmad Farid, M.A.; Mohd Yusuf, M.Z.; Hassan, M.A.; Ariffin, H. Emerging Application of Biochar as a Renewable and Superior Filler in Polymer Composites. RSC Adv. 2022, 12, 13938–13949. [Google Scholar] [CrossRef]
- Giorcelli, M.; Khan, A.; Pugno, N.M.; Rosso, C.; Tagliaferro, A. Biochar as a Cheap and Environmental Friendly Filler Able to Improve Polymer Mechanical Properties. Biomass Bioenergy 2019, 120, 219–223. [Google Scholar] [CrossRef]
- Peterson, S.C.; Kim, S. Reducing Biochar Particle Size with Nanosilica and Its Effect on Rubber Composite Reinforcement. J. Polym. Environ. 2020, 28, 317–322. [Google Scholar] [CrossRef]
- Ge, F.; Wang, X.; Ran, X. Properties of Biodegradable Poly(Butylene Succinate) (PBS) Composites with Carbon Black. Polym. Sci. Ser. A 2017, 59, 416–424. [Google Scholar] [CrossRef]
- Pradeep, S.A.; Kharbas, H.; Turng, L.; Avalos, A.; Lawrence, J.G.; Pilla, S. Investigation of Thermal and Thermomechanical Properties of Biodegradable PLA/PBSA Composites Processed via Supercritical Fluid-Assisted Foam Injection Molding. Polymers 2017, 9, 22. [Google Scholar] [CrossRef] [PubMed]
- Das, O.; Kim, N.K.; Hedenqvist, M.S.; Lin, R.J.T.; Sarmah, A.K.; Bhattacharyya, D. An Attempt to Find a Suitable Biomass for Biochar-Based Polypropylene Biocomposites. Environ. Manag. 2018, 62, 403–413. [Google Scholar] [CrossRef]
- Elkhalifa, S.; Parthasarathy, P.; Mackey, H.R.; Al-Ansari, T.; Elhassan, O.; Mansour, S.; McKay, G. Biochar Development from Thermal TGA Studies of Individual Food Waste Vegetables and Their Blended Systems. Biomass Convers. Biorefinery 2022, 1–18, in press. [Google Scholar] [CrossRef]
- Bo, L.; Guan, T.; Wu, G.; Ye, F.; Weng, Y. Biodegradation Behavior of Degradable Mulch with Poly (Butylene Adipate-Co-Terephthalate) (PBAT) and Poly (Butylene Succinate) (PBS) in Simulation Marine Environment. Polymers 2022, 14, 1515. [Google Scholar] [CrossRef]
- Niaounakis, M. Biopolymers: Processing and Products. In PDL Handbook Series; William Andrew: Oxford, UK, 2015; ISBN 978-0-323-26698-7. [Google Scholar]
- Wang, X.; Zhou, J.; Li, L. Multiple Melting Behavior of Poly(Butylene Succinate). Eur. Polym. J. 2007, 43, 3163–3170. [Google Scholar] [CrossRef]
- Jiang, G.; Wang, H.; Yu, L.; Li, H. Improving Crystallization Properties of PBSA by Blending PBS as a Polymeric Nucleating Agent to Prepare High-Performance PPC/PBSA/AX8900 Blown Films. Polym. Eng. Sci. 2022, 62, 1166–1177. [Google Scholar] [CrossRef]
- Seggiani, M.; Gigante, V.; Cinelli, P.; Coltelli, M.B.; Sandroni, M.; Anguillesi, I.; Lazzeri, A. Processing and Mechanical Performances of Poly(Butylene Succinate-Co-Adipate) (PBSA) and Raw Hydrolyzed Collagen (HC) Thermoplastic Blends. Polym. Test. 2019, 77, 105900. [Google Scholar] [CrossRef]
- Poulose, A.M.; Elnour, A.Y.; Anis, A.; Shaikh, H.; Al-Zahrani, S.M.; George, J.; Al-Wabel, M.I.; Usman, A.R.; Ok, Y.S.; Tsang, D.C.W.; et al. Date Palm Biochar-Polymer Composites: An Investigation of Electrical, Mechanical, Thermal and Rheological Characteristics. Sci. Total Environ. 2018, 619–620, 311–318. [Google Scholar] [CrossRef]
- Zhang, Q.; Yi, W.; Li, Z.; Wang, L.; Cai, H. Mechanical Properties of Rice Husk Biochar Reinforced High Density Polyethylene Composites. Polymers 2018, 10, 286. [Google Scholar] [CrossRef]
- Li, S.; Xu, Y.; Jing, X.; Yilmaz, G.; Li, D.; Turng, L.S. Effect of Carbonization Temperature on Mechanical Properties and Biocompatibility of Biochar/Ultra-High Molecular Weight Polyethylene Composites. Compos. Part B Eng. 2020, 196, 108120. [Google Scholar] [CrossRef]
- Phua, Y.J.; Chow, W.S.; Mohd Ishak, Z.A. The Hydrolytic Effect of Moisture and Hygrothermal Aging on Poly(Butylene Succinate)/Organo-Montmorillonite Nanocomposites. Polym. Degrad. Stab. 2011, 96, 1194–1203. [Google Scholar] [CrossRef]
- Abdelwahab, M.A.; Rodriguez-Uribe, A.; Misra, M.; Mohanty, A.K. Injection Molded Novel Biocomposites from Polypropylene and Sustainable Biocarbon. Molecules 2019, 24, 4026. [Google Scholar] [CrossRef] [PubMed]
- Nan, N.; DeVallance, D.B.; Xie, X.; Wang, J. The Effect of Bio-Carbon Addition on the Electrical, Mechanical, and Thermal Properties of Polyvinyl Alcohol/Biochar Composites. J. Compos. Mater. 2016, 50, 1161–1168. [Google Scholar] [CrossRef]
- Kandanur, S.S.; Rafiee, M.A.; Yavari, F.; Schrameyer, M.; Yu, Z.Z.; Blanchet, T.A.; Koratkar, N. Suppression of Wear in Graphene Polymer Composites. Carbon N. Y. 2012, 50, 3178–3183. [Google Scholar] [CrossRef]
- Richard, S.; Selwin Rajadurai, J.; Manikandan, V. Effects of Particle Loading and Particle Size on Tribological Properties of Biochar Particulate Reinforced Polymer Composites. J. Tribol. 2017, 139, 012202. [Google Scholar] [CrossRef]
- Richard, S.; Selwin Rajadurai, J.; Manikandan, V.; Chithambara Thanu, M.; Arumugaprabu, V.; Deepak Joel Johnson, R. Study of Tribological Properties of Nano-Sized Red Mud Particle-Reinforced Polyester Composites. Trans. Indian Inst. Met. 2019, 72, 2417–2431. [Google Scholar] [CrossRef]
- Ferraro, G.; Pecori, G.; Rosi, L.; Bettucci, L.; Fratini, E.; Casini, D.; Rizzo, A.M.; Chiaramonti, D. Biochar from Lab-Scale Pyrolysis: Influence of Feedstock and Operational Temperature. Biomass Convers. Biorefinery 2021, 1–11. [Google Scholar] [CrossRef]
- Biodea Bio. Available online: www.biodea.bio/fertilizers-soil-conditioners/?lang=en (accessed on 1 November 2022).
- Birla Carbon. Available online: www.birlacarbon.com/plastics/# (accessed on 1 November 2022).
- Botta, L.; Teresi, R.; Titone, V.; Salvaggio, G.; La Mantia, F.P.; Lopresti, F. Use of Biochar as Filler for Biocomposite Blown Films: Structure-Processing-Properties Relationships. Polymers 2021, 13, 3953. [Google Scholar] [CrossRef]











| Feeder | Zone 1 | Zone 2 | Zone 3 | Head Zone |
|---|---|---|---|---|
| 45 °C | 150 °C | 165 °C | 160 °C | 155 °C |
| Sample | XC2 (%) | Tm2 (°C) | XC1 (%) | Tm1 (°C) | Xc (%) |
|---|---|---|---|---|---|
| PBSA | 0 | - | 0 | 87.8 | 34.4 |
| PBSA5 | 8.9 | 78.0 | 26.3 | 87.4 | 35.2 |
| PBSA10 | 11.2 | 77.2 | 23.7 | 87.2 | 34.9 |
| PBSA15 | 13.3 | 77.1 | 22.5 | 87.3 | 35.8 |
| PBSA20 | 15.4 | 76.3 | 19.3 | 87.3 | 34.7 |
| Sample | Young Modulus (GPa) | Yield Strength (MPa) | Elongation at Yield (%) | Stress at Break (MPa) | Elongation at Break (%) |
|---|---|---|---|---|---|
| PBSA | 0.29 ± 0.05 | 17.5 ± 1.1 | 14.5 ± 0.3 | 21.0 ± 0.5 | 400 ± 53 |
| PBSA5 | 0.39 ± 0.10 | 18.9 ± 1.2 | 13.1 ± 0.4 | 18.8 ± 0.4 | 247 ± 66 |
| PBSA10 | 0.53 ± 0.06 | 18.6 ± 0.6 | 12.0 ± 0.9 | 18.0 ± 0.5 | 188 ± 35 |
| PBSA15 | 0.56 ± 0.09 | 17.6 ± 0.8 | 9.3 ± 0.8 | 17.3 ± 0.4 | 11.6 ± 32 |
| PBSA20 | 0.71 ± 0.08 | * | * | 15.3 ± 0.6 | 5.2 ± 2 |
Disclaimer/Publisher’s Note: The statements, opinions and data contained in all publications are solely those of the individual author(s) and contributor(s) and not of MDPI and/or the editor(s). MDPI and/or the editor(s) disclaim responsibility for any injury to people or property resulting from any ideas, methods, instructions or products referred to in the content. |
© 2023 by the authors. Licensee MDPI, Basel, Switzerland. This article is an open access article distributed under the terms and conditions of the Creative Commons Attribution (CC BY) license (https://creativecommons.org/licenses/by/4.0/).
Share and Cite
Cappello, M.; Rossi, D.; Filippi, S.; Cinelli, P.; Seggiani, M. Wood Residue-Derived Biochar as a Low-Cost, Lubricating Filler in Poly(butylene succinate-co-adipate) Biocomposites. Materials 2023, 16, 570. https://doi.org/10.3390/ma16020570
Cappello M, Rossi D, Filippi S, Cinelli P, Seggiani M. Wood Residue-Derived Biochar as a Low-Cost, Lubricating Filler in Poly(butylene succinate-co-adipate) Biocomposites. Materials. 2023; 16(2):570. https://doi.org/10.3390/ma16020570
Chicago/Turabian StyleCappello, Miriam, Damiano Rossi, Sara Filippi, Patrizia Cinelli, and Maurizia Seggiani. 2023. "Wood Residue-Derived Biochar as a Low-Cost, Lubricating Filler in Poly(butylene succinate-co-adipate) Biocomposites" Materials 16, no. 2: 570. https://doi.org/10.3390/ma16020570
APA StyleCappello, M., Rossi, D., Filippi, S., Cinelli, P., & Seggiani, M. (2023). Wood Residue-Derived Biochar as a Low-Cost, Lubricating Filler in Poly(butylene succinate-co-adipate) Biocomposites. Materials, 16(2), 570. https://doi.org/10.3390/ma16020570

