Development of High-Performance Hot-Deformed Neodymium–Iron–Boron Magnets without Heavy Rare-Earth Elements
Abstract
1. Introduction
2. Production Process of Hot-Deformed Nd-Fe-B Magnets
2.1. Production Process
2.2. Crystal Orientation Mechanism
2.3. Efforts for Manufacturing Commercial Products
3. Features of Hot-Deformed Magnets
3.1. Microstructure
3.2. Magnetization Curve and Magnetic Domain Pattern
4. Recent Developments in Hot-Deformed Magnets
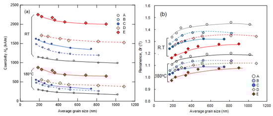
4.1. Effects of Microstructure and Composition on Magnetic Properties
4.2. Improving Uniformity of Microstructure
5. Conclusions and Future Developments
- (1)
- The development of hot-deformation techniques to produce various magnet shapes with different grain orientations, as described in Section 2.3, to provide magnets for newly designed motors [33].
- (2)
- (3)
- The use of abundant and low-cost rare-earth elements, such as Ce and La, in a well-balanced manner to reduce the use of not only HREEs but also Nd and Pr. Although the physical properties of R2Fe14B phases with R=Ce are lower than those of R=Nd, Pr, the use of Ce was shown to improve formability and reduce grain growth during hot deformation, resulting in a finer microstructure [37,38,39].
- (4)
- Increasing the electrical resistivity of magnet materials is necessary. During motor operation, the temperature on the surface of a magnet increases due to eddy currents. One effective method to reduce this is increasing the electrical resistivity of magnet materials. Studies have shown that mixing high-electrical-resistivity materials with raw powders, followed by magnet fabrication, can achieve this increase for hot-deformed magnets [40,41].
Funding
Institutional Review Board Statement
Informed Consent Statement
Data Availability Statement
Conflicts of Interest
References
- Fujitani, K. Automotive Motors Market 2022; Yano Research Institute Ltd.: Tokyo, Japan, 2022; pp. 17, 293. Available online: https://www.yanoresearch.com/market_reports/C63121900 (accessed on 3 October 2023).
- Sagawa, M.; Fujimura, S.; Togawa, N.; Yamamoto, H.; Matsuura, Y. New material for permanent magnets on a base of Nd and Fe. J. Appl. Phys. 1984, 55, 2083–2087. [Google Scholar] [CrossRef]
- Hirosawa, S.; Matsuura, Y.; Yamamoto, H.; Fujimura, S.; Sagawa, M. Magnetization and magnetic anisotropy of R2Fe14B measured on single crystals. J. Appl. Phys. 1986, 59, 873–879. [Google Scholar] [CrossRef]
- Park, K.T.; Hiraga, K.; Sagawa, M. Effect of metal-coating and consecutive heat treatment on coercivity of thin Nd-Fe-B sintered magnets. In Proceedings of the 16th International Workshop on Rare-Earth Permanent Magnets and their Applications, Sendai, Japan, 10–14 September 2000; pp. 257–264, ISBN 488903403X. [Google Scholar]
- Hirota, K.; Nakamura, H.; Minowa, T.; Honshima, M. Coercivity enhancement by the grain boundary diffusion process to Nd-Fe-B sintered magnets. IEEE Trans. Magn. 2006, 42, 2909–2911. [Google Scholar] [CrossRef]
- Une, Y.; Sagawa, M. Enhancement of coercivity of Nd-Fe-B sintered magnets by grain size reduction. J. Jpn. Inst. Met. Mater. 2012, 76, 12–16. (In Japanese) [Google Scholar] [CrossRef]
- Cui, W.B.; Takahashi, Y.K.; Hono, K. Microstructure optimization for achieving high coercivity in anisotropic Nd-Fe-B thin films. Acta. Mater. 2011, 59, 7768–7775. [Google Scholar] [CrossRef]
- Sepehri-Amin, H.; Ohkubo, T.; Nishiuchi, T.; Hirosawa, S.; Hono, K. Coercivity enhancement of hydrogenation-disproportionation-desorption-recombination processed Nd-Fe-B powders by the diffusion of Nd-Cu eutectic alloys. Scr. Mater. 2010, 63, 1124–1127. [Google Scholar] [CrossRef]
- Sasaki, T.T.; Ohkubo, T.; Takada, Y.; Sato, T.; Kato, A.; Kaneko, Y.; Hono, K. Formation of non-ferromagnetic grain boundary phase in a Ga-doped Nd-rich Nd-Fe-B sintered magnet. Scr. Mater. 2016, 113, 218–221. [Google Scholar] [CrossRef]
- Croat, J.J.; Herbst, J.F.; Lee, R.W.; Pinkerton, F.E. Pr-Fe and Nd-Fe-based materials: A new class of high-performance permanent magnets. J. Appl. Phys. 1984, 55, 2078–2082. [Google Scholar] [CrossRef]
- Lee, R.W. Hot-pressed neodymium-iron-boron magnets. Appl. Phys. Lett. 1985, 46, 790–791. [Google Scholar] [CrossRef]
- Hono, K.; Sepehri-Amin, H. Strategy for high-coercivity Nd-Fe-B magnets. Scr. Mater. 2012, 67, 530–535. [Google Scholar] [CrossRef]
- Mishra, R.K.; Brewer, E.G.; Lee, R.W. Grain growth and alignment in hot deformed Nd-Fe-B magnets. J. Appl. Phys. 1988, 63, 3528–3530. [Google Scholar] [CrossRef]
- Mishra, R.K.; Chu, T.Y.; Rabenberg, L.K. The development of the microstructure of die-upset Nd-Fe-B magnets. J. Magn. Magn. Mater. 1990, 84, 88–94. [Google Scholar] [CrossRef]
- Shioi, R.; Miyawaki, H.; Morita, T. Orientation mechanism of hot-deformed anisotropic RE-Fe-B magnets. Denkiseiko 2011, 82, 31–37. Available online: https://www.daido.co.jp/common/pdf/pages/technology/journal/backno/2011/06_technical_paper.pdf (accessed on 3 October 2023). (In Japanese).
- Tenaud, P.; Chamberod, A.; Vanoni, F. Texture in Nd-Fe-B magnets analysed on the basis of the determination of Nd2Fe14B single crystals easy growth axis. Solid State Commun. 1987, 63, 303–305. [Google Scholar] [CrossRef]
- Hioki, K.; Takano, T.; Yamamoto, T. Influence of process conditions on the magnetic properties for hot deformed magnets. Denkiseiko 2008, 79, 119–125. (In Japanese) [Google Scholar] [CrossRef][Green Version]
- Mishra, R.K. Microstructure of hot-pressed and die-upset NdFeB magnets. J. Appl. Phys. 1987, 62, 967–971. [Google Scholar] [CrossRef]
- Liu, J.; Sepehri-Amin, H.; Ohkubo, T.; Hono, K. Suppression of non-oriented grains in Nd-Fe-B hot-deformed magnets by Nb doping. Scr. Mater. 2018, 147, 108–113. [Google Scholar] [CrossRef]
- Grünberger, W.; Hinz, D.; Kirchner, A.; Müller, K.-H.; Schultzet, L. Hot deformation of nanocrystalline Nd-Fe-B alloys. J. Alloys Compd. 1997, 257, 293–301. [Google Scholar] [CrossRef]
- Grünberger, W. The solution-precipitation creep-a model for deformation and texturing mechanisms of nanocrystalline NdFeB alloys. In Proceedings of the 15th International Workshop on Rare-Earth Permanent Magnets and their Applications, Dresden, Germany, 30 August–4 September 1998; pp. 333–348, ISBN 3-88355-264-X. [Google Scholar]
- Kojima, K.; Ibara, A.; Kojima, S. Magnetic properties and crystal orientation of extruded Nd-Fe-B magnets. IEEE Transl. J. Magn. Jpn. 1989, 4, 263–269. [Google Scholar] [CrossRef]
- Yoshida, Y.; Kinami, T.; Yoshikawa, N.; Yahagi, S.; Watanabe, T. Magnetic properties and plastic strains of hot formed Nd-Fe-B magnets. Denkiseiko 1990, 61, 193–200. (In Japanese) [Google Scholar] [CrossRef]
- Haizuka, H.; Hattori, A. Hot-Deformed Magnet Showing World’s Highest Performance and Conserving Dysprosium. Denkiseiko 2011, 86, 85–88. Available online: https://www.daido.co.jp/common/pdf/pages/technology/journal/backno/2011/13_products.pdf (accessed on 3 October 2023). (In Japanese).
- Livingston, J.D. Magnetic domains in sintered Fe-Nd-B magnets. J. Appl. Phys. 1985, 57, 4137–4139. [Google Scholar] [CrossRef]
- Hioki, K.; Morita, T.; Hattori, A.; Iriyama, T. Magnetic Domain Observation of Hot-deformed Dy-free Nd-Fe-B magnet. Denkiseiko 2016, 86, 83–92. Available online: https://www.daido.co.jp/common/pdf/pages/technology/journal/backno/2015/86_2/02_technicalpaper.pdf (accessed on 3 October 2023). (In Japanese).
- Takeuchi, M.; Yomogita, T.; Kikuchi, N.; Toyoki, K.; Kobayashi, S.; Kotani, Y.; Nakamura, T.; Hioki, K.; Okamoto, S. Magnetic Domain Structure Observation for Initial Magnetization and Demagnetization Processes of a Nd-Fe-B Hot-Deformed Magnet Using Soft X-ray Magnetic Circular Dichroism Microscopy. J. Jpn. Inst. Met. 2022, 86, 1–7. [Google Scholar] [CrossRef]
- Hioki, K.; Hattori, A.; Iriyama, T. Development of Dy-free hot-deformed Nd-Fe-B magnets by optimizing chemical composition and microstructure. J. Magn. Soc. Jpn. 2014, 38, 79–82. [Google Scholar] [CrossRef]
- Weizhong, T.; Shouzeng, Z.; Bing, H. Grain size dependence of coercivity of sintered Nd-Fe-B permanent magnets. J. Magn. Magn. Mater. 1991, 94, 67–73. [Google Scholar] [CrossRef]
- Liu, J.; Sepehri-Amin, H.; Ohkubo, T.; Hioki, K.; Hattori, A.; Schrefl, T.; Hono, K. Effect of Nd content on the microstructure and coercivity of hot-deformed Nd–Fe–B permanent magnets. Acta Mater. 2013, 61, 5387–5399. [Google Scholar] [CrossRef]
- Liu, J.; Sepehri-Amin, H.; Ohkubo, T.; Hioki, K.; Hattori, A.; Schrefl, T.; Hono, K. Grain size dependence of coercivity of hot-deformed Nd–Fe–B anisotropic magnets. Acta Mater. 2015, 82, 336–343. [Google Scholar] [CrossRef]
- Soma, S.; Shimizu, H.; Shirado, E.; Shirado, E.; Fujishiro, S. Magnetic form of heavy rare-earth free motor for hybrid electric vehicle. SAE Int. J. Alt. Power. 2017, 6, 290–297. [Google Scholar] [CrossRef]
- Kano, Y.; Yabumi, T. Design Studies on IPMSM with Radially Oriented Arc-Shaped Metal Magnet for Automotive Traction Drives. IEEE Trans. Ind. Appl. 2020, 140, 255–264. (In Japanese) [Google Scholar] [CrossRef]
- Wei, G.; Zhao, M.; Xia, X.; Ju, J.; Du, Y.; Huang, Y.; Tang, X.; Yin, W.; Chen, R.; Yan, A. Ultrahigh coercivity and excellent thermal stability of hot-deformed Nd-Fe-B magnets by the diffusion of (Pr,Nd)-Dy-Cu-Al. J. Alloys Compd. 2023, 960, 170756. [Google Scholar] [CrossRef]
- Zhang, T.; Xing, W.; Chen, F.; Zhang, L.; Yu, R. Improvement of coercivity and its thermal stability of hot-deformed Nd-Fe-B magnets processed by Tb70Cu30 doping and subsequent Nd85Cu15 diffusion. Acta Mater. 2021, 220, 117296. [Google Scholar] [CrossRef]
- Hou, H.; Liu, N.; Du, Y.; Ju, J.; Yin, W.; Tang, X.; Xia, A.; Chen, R.; Yan, A. Effective coercivity enhancement of hot-deformed PrNd-Fe-B magnets by dual-diffusions of Pr-Ga alloy. J. Magn. Magn. Mater. 2022, 564, 170155. [Google Scholar] [CrossRef]
- Jin, J.; Bai, G.; Zhang, Z.; Yan, M. Coercivity enhancement for Nd-La-Ce-Fe-B sintered magnets by tailoring La and Ce distributions. J. Alloys Compd. 2018, 763, 854–860. [Google Scholar] [CrossRef]
- Tang, X.; Song, S.Y.; Li, J.; Sepehri-Amin, H.; Ohkubo, T.; Hono, K. Thermally-stable high coercivity Ce-substituted hot-deformed magnets with 20% Nd reduction. Acta Mater. 2020, 190, 8–15. [Google Scholar] [CrossRef]
- Poenarua, I.; Lixandrua, A.; Riegg, S.; Fayyazi, B.; Taubel, A.; Güth, K.; Gauß, R.; Gutfleischet, O. Ce and La as substitutes for Nd in Nd2Fe14B-based melt-spun alloys and hot-deformed magnets: A comparison of structural and magnetic properties. J. Magn. Magn. Mater. 2019, 478, 198–205. [Google Scholar] [CrossRef]
- Marinescu, M.; Gabay, A.M.; Liu, J.F.; Hadjipanayis, G.C. Fluoride-added Pr-Fe-B die-upset magnets with increased electrical resistivity. J. Appl. Phys. 2009, 105, 07A711. [Google Scholar] [CrossRef]
- Kang, M.S.; Kim, K.M.; Kwon, H.W.; Kim, D.H.; Lee, J.G.; Shin, K.H. Electrical Resistivity and Magnetic Performance of Ceramics-Bonded Nd-Fe-B-Type Magnet Consolidated Using Dielectric Oxide Binder. IEEE Trans. Magn. 2019, 55, 2101405. [Google Scholar] [CrossRef]




















| Sample | Chemical Composition (at.%) | Hot-Deformation Temperature | |||||
|---|---|---|---|---|---|---|---|
| Nd | Dy | Fe | Co | B | Ga | (°C) | |
| A | 12.8 | 0 | Bal. | 3.85 | 5.65 | 0.46 | 750, 775, 800, 825, 850, 825, 850 |
| B | 13.5 | 0 | Bal. | 3.82 | 5.64 | 0.57 | 750, 775, 800, 825, 850, 875 |
| C | 14.2 | 0 | Bal. | 3.81 | 5.66 | 0.71 | 725, 750, 775, 800, 825, 850 |
| D | 12.4 | 1 | Bal. | 3.85 | 5.59 | 0.57 | 775, 800, 825, 850, 875, 900 |
| E | 11.5 | 2 | Bal. | 3.91 | 5.56 | 0.58 | 750, 775, 800, 825, 850, 875, 900 |
Disclaimer/Publisher’s Note: The statements, opinions and data contained in all publications are solely those of the individual author(s) and contributor(s) and not of MDPI and/or the editor(s). MDPI and/or the editor(s) disclaim responsibility for any injury to people or property resulting from any ideas, methods, instructions or products referred to in the content. |
© 2023 by the author. Licensee MDPI, Basel, Switzerland. This article is an open access article distributed under the terms and conditions of the Creative Commons Attribution (CC BY) license (https://creativecommons.org/licenses/by/4.0/).
Share and Cite
Hioki, K. Development of High-Performance Hot-Deformed Neodymium–Iron–Boron Magnets without Heavy Rare-Earth Elements. Materials 2023, 16, 6581. https://doi.org/10.3390/ma16196581
Hioki K. Development of High-Performance Hot-Deformed Neodymium–Iron–Boron Magnets without Heavy Rare-Earth Elements. Materials. 2023; 16(19):6581. https://doi.org/10.3390/ma16196581
Chicago/Turabian StyleHioki, Keiko. 2023. "Development of High-Performance Hot-Deformed Neodymium–Iron–Boron Magnets without Heavy Rare-Earth Elements" Materials 16, no. 19: 6581. https://doi.org/10.3390/ma16196581
APA StyleHioki, K. (2023). Development of High-Performance Hot-Deformed Neodymium–Iron–Boron Magnets without Heavy Rare-Earth Elements. Materials, 16(19), 6581. https://doi.org/10.3390/ma16196581
