Effect of Carbonation Treatment on the Strength and CO2 Uptake Rate of Composite Cementitious Material with a High Steel Slag Powder Content
Abstract
:1. Introduction
2. Materials and Methods
2.1. Raw Materials
2.2. Sample Preparation
2.3. Test Method
2.3.1. Compressive and Flexural Strength
2.3.2. Carbonated Area
2.3.3. Soundness
2.3.4. Pore Structures
2.3.5. Carbonation Products
2.3.6. Microstructure
3. Results and Discussion
3.1. Compressive and Flexural Strength
3.2. Carbonated Area and CO2 Uptake
3.2.1. Carbonized Area
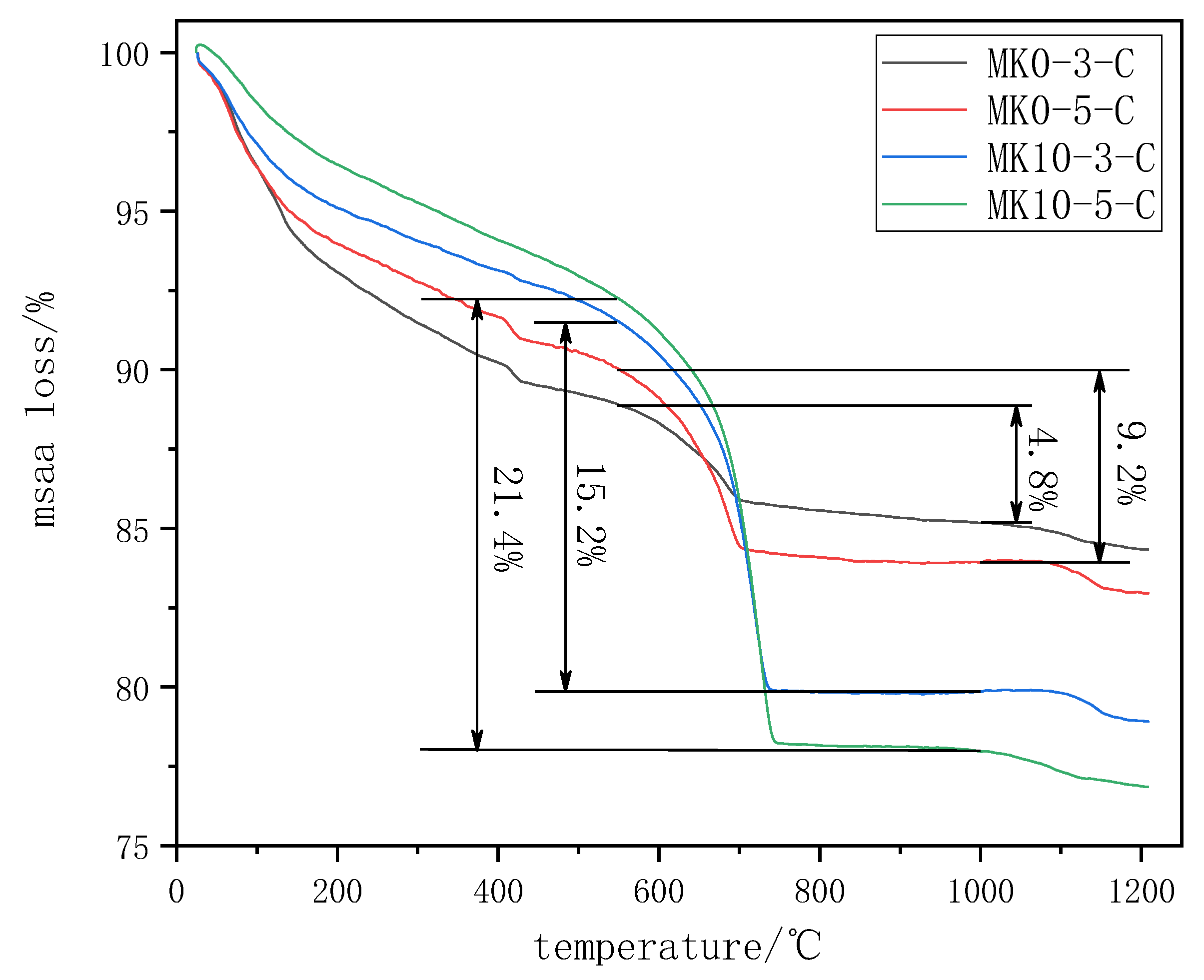
3.2.2. CO2 Uptake
3.3. The Soundness Evaluation
3.4. Porosity Profiles
3.5. Carbonation Products
3.6. Microstructure
4. Conclusions
- The incorporation of metakaolin effectively improved the strength development rate of the steel slag powder composite cementitious material after carbonation. With a metakaolin content of 15%, the compressive strength development rate after carbonation reached a maximum of 47.2%. At low water-to-binder ratio conditions, the strength of the slag cement mortar after carbonation increased with an increase in the metakaolin content. Carbonation also enhanced the early strength of the specimens. For the specimens with 15% metakaolin content and a water-to-binder ratio of 0.2, the 3-day strength after carbonation achieved 44.2 MPa. Carbonation improved the early strength of the specimens, providing a basis for the use of steel slag powder specimens as bricks, blocks, etc. The development of further strength will continue to be investigated.
- The cementitious system of steel slag powder–cement–paraffin showed an excellent CO2 uptake performance. The CO2 uptake of the specimen with a 10% metakaolin content at a 0.5 water-to-binder ratio reached 21.4%. The CO2 uptake and carbonized area of the specimen was increased by increasing the water-to-binder ratio or metakaolin content. The carbonated area of the specimen with a 0.5 water-to-binder ratio and a 15% metakaolin content achieved 88.57%, indicating that the utilization of steel slag for CO2 sequestration as a building material is a feasible approach towards carbon neutralization.
- CO2 curing managed to reduce the content of f-CaO and f-MgO in the steel slag powder and improve the soundness of the steel slag powder cement mortar. The Le Chatelier opening distance of the carbonated steel slag powder specimens were smaller than 3.5 mm. Moreover, the incorporation of metakaolin also enhanced the soundness of the slag cement mortar. However, the durability of the carbonization specimens deserves a subsequent study.
- The formation of calcium carbonate crystals during CO2 curing filled the internal pores of the specimens. The pozzolanic activity and filling effect of metakaolin also contributed to the reduction in the porosity. As a result, the total porosity and macropore volume significantly decreased. Therefore, the strength of the specimens was enhanced. The lowest porosity was achieved at a 10% metakaolin content.
Author Contributions
Funding
Institutional Review Board Statement
Informed Consent Statement
Data Availability Statement
Conflicts of Interest
References
- Liu, P.; Zhong, J.; Zhang, M.; Mo, L.; Deng, M. Effect of CO2 treatment on the microstructure and properties of steel slag supplementary cementitous materials. Constr. Build. Mater. 2021, 309, 125171. [Google Scholar] [CrossRef]
- Song, Q.; Guo, M.-Z.; Wang, L.; Ling, T.-C. Use of steel slag as sustainable construction materials: A review of accelerated carbonation treatment. Resour. Conserv. Recycl. 2021, 173, 105740. [Google Scholar] [CrossRef]
- Gao, W.; Zhou, W.; Lyu, X.; Liu, X.; Su, H.; Li, C.; Wang, H. Comprehensive utilization of steel slag: A review. Powder Technol. 2023, 422, 118449. [Google Scholar] [CrossRef]
- Rui, Y.; Qian, C. CO2-fixing steel slag on hydration characteristics of cement-based materials. Constr. Build. Mater. 2022, 354, 129193. [Google Scholar] [CrossRef]
- Chen, G.; Wang, S. Research on macro-microscopic mechanical evolution mechanism of cement-stabilized steel slag. J. Build. Eng. 2023, 75, 107047. [Google Scholar] [CrossRef]
- Wang, X.; Wang, K.; Li, J.; Wang, W.; Mao, Y.; Wu, S.; Yang, S. Heavy metals migration during the preparation and hydration of an eco-friendly steel slag-based cementitious material. J. Clean. Prod. 2021, 329, 129715. [Google Scholar] [CrossRef]
- Li, M.; Lu, Y.; Yang, S.; Chu, J.; Liu, Y. Study on the Early Effect of Excitation Method on the Alkaline Steel Slag. Sustainability 2023, 15, 4714. [Google Scholar] [CrossRef]
- Guo, J.; Bao, Y.; Wang, M. Steel slag in China: Treatment, recycling, and management. Waste Manag. 2018, 78, 318–330. [Google Scholar] [CrossRef]
- Yildirim, I.Z.; Prezzi, M. Chemical, Mineralogical, and Morphological Properties of Steel Slag. Adv. Civ. Eng. 2011, 2011, 463638. [Google Scholar] [CrossRef]
- Li, W.; Cao, M.; Wang, D.; Zhao, J.; Chang, J. Improving the hydration activity and volume stability of the RO phases in steel slag by combining alkali and wet carbonation treatments. Cem. Concr. Res. 2023, 172, 107236. [Google Scholar] [CrossRef]
- Brand, A.S.; Roesler, J.R. Steel furnace slag aggregate expansion and hardened concrete properties. Cem. Concr. Compos. 2015, 60, 1–9. [Google Scholar] [CrossRef]
- Humbert, P.S.; Castro-Gomes, J.P.; Savastano, H. Clinker-free CO2 cured steel slag based binder: Optimal conditions and potential applications. Constr. Build. Mater. 2019, 210, 413–421. [Google Scholar] [CrossRef]
- Zhang, X.; Qian, C.; Ma, Z.; Li, F. Study on preparation of supplementary cementitious material using microbial CO2 fixation of steel slag powder. Constr. Build. Mater. 2022, 326, 126864. [Google Scholar] [CrossRef]
- Zhang, S.; Ghouleh, Z.; Mucci, A.; Bahn, O.; Provençal, R.; Shao, Y. Production of cleaner high-strength cementing material using steel slag under elevated-temperature carbonation. J. Clean. Prod. 2022, 342, 130948. [Google Scholar] [CrossRef]
- Park, B.; Choi, Y.C. Effect of Carbonation Curing on Physical and Durability Properties of Cementitious Materials Containing AOD Slag. Appl. Sci. 2020, 10, 6646. [Google Scholar] [CrossRef]
- Chang, J.; Gu, Y.; Ansari, W.S. Mechanism of blended steel slag mortar with CO2 curing exposed to sulfate attack. Constr. Build. Mater. 2020, 251, 118880. [Google Scholar] [CrossRef]
- Moon, E.-J.; Choi, Y.C. Development of carbon-capture binder using stainless steel argon oxygen decarburization slag activated by carbonation. J. Clean. Prod. 2018, 180, 642–654. [Google Scholar] [CrossRef]
- Librandi, P.; Nielsen, P.; Costa, G.; Snellings, R.; Quaghebeur, M.; Baciocchi, R. Mechanical and environmental properties of carbonated steel slag compacts as a function of mineralogy and CO2 uptake. J. CO2 Util. 2019, 33, 201–214. [Google Scholar] [CrossRef]
- Wang, D.; Zhang, H.; Liu, M.; Fu, Y.; Si, Z.; Zhang, X.; Zhong, Q. The characterization and mechanism of carbonated steel slag and its products under low CO2 pressure. Mater. Today Commun. 2023, 35, 105827. [Google Scholar] [CrossRef]
- Polettini, A. CO2 sequestration through aqueous accelerated carbonation of BOF slag: A factorial study of parameters effects. J. Environ. Manag. 2016, 167, 185–195. [Google Scholar] [CrossRef]
- Mo, L.; Zhang, F.; Deng, M.; Jin, F.; Al-Tabbaa, A.; Wang, A. Accelerated carbonation and performance of concrete made with steel slag as binding materials and aggregates. Cem. Concr. Compos. 2017, 83, 138–145. [Google Scholar] [CrossRef]
- Mo, L.; Zhang, F.; Deng, M. Mechanical performance and microstructure of the calcium carbonate binders produced by carbonating steel slag paste under CO2 curing. Cem. Concr. Res. 2016, 88, 217–226. [Google Scholar] [CrossRef]
- Liu, P.; Mo, L.; Zhang, Z. Effects of carbonation degree on the hydration reactivity of steel slag in cement-based materials. Constr. Build. Mater. 2023, 370, 130653. [Google Scholar] [CrossRef]
- Liu, P.; Zhang, M.; Mo, L.; Zhong, J.; Xu, M.; Deng, M. Probe into carbonation mechanism of steel slag via FIB-TEM: The roles of various mineral phases. Cem. Concr. Res. 2022, 162, 106991. [Google Scholar] [CrossRef]
- Chen, Z.; Li, R.; Liu, J. Preparation and properties of carbonated steel slag used in cement cementitious materials. Constr. Build. Mater. 2021, 283, 122667. [Google Scholar] [CrossRef]
- Salman, M.; Cizer, Ö.; Pontikes, Y.; Santos, R.M.; Snellings, R.; Vandewalle, L.; Blanpain, B.; Van Balen, K. Effect of accelerated carbonation on AOD stainless steel slag for its valorisation as a CO2-sequestering construction material. Chem. Eng. J. 2014, 246, 39–52. [Google Scholar] [CrossRef]
- Furlani, E.; Maschio, S.; Magnan, M.; Aneggi, E.; Andreatta, F.; Lekka, M.; Lanzutti, A.; Fedrizzi, L. Synthesis and characterization of geopolymers containing blends of unprocessed steel slag and metakaolin: The role of slag particle size. Ceram. Int. 2018, 44, 5226–5232. [Google Scholar] [CrossRef]
- Sun, K.; Peng, X.; Chu, S.H.; Wang, S.; Zeng, L.; Ji, G. Utilization of BOF steel slag aggregate in metakaolin-based geopolymer. Constr. Build. Mater. 2021, 300, 124024. [Google Scholar] [CrossRef]
- Bai, T.; Song, Z.-G.; Wu, Y.-G.; Hu, X.-D.; Bai, H. Influence of steel slag on the mechanical properties and curing time of metakaolin geopolymer. Ceram. Int. 2018, 44, 15706–15713. [Google Scholar] [CrossRef]
- Huang, S. Hydration Mechanism and Long-Term Performance of Steel Slag-Metakaolin-Cement Ternary Composite Cementtious Materials under Autoclave Condition. Master’s Thesis, Southeast University, Jiangsu, China, 2021. Available online: https://kns.cnki.net/KCMS/detail/detail.aspx?dbcode=CMFD&dbname=CMFD202201&filename=1022467937.nh&v= (accessed on 10 July 2023).
- Bucher, R.; Diederich, P.; Escadeillas, G.; Cyr, M. Service life of metakaolin-based concrete exposed to carbonation. Cem. Concr. Res. 2017, 99, 18–29. [Google Scholar] [CrossRef]
- Hameed, R.; Seo, J.; Park, S.; Amr, I.T.; Lee, H.K. CO2 Uptake and Physicochemical Properties of Carbonation-Cured Ternary Blend Portland Cement–Metakaolin–Limestone Pastes. Materials 2020, 13, 4656. [Google Scholar] [CrossRef]
- GB/T17671-2021; Cement Mortar Strength Test Method. China Standard Publishing House: Beijing, China, 2021.
- GB/T1346-2011; Standard Test Method for Water Requirement of Normal Consistency Setting Time and Soundness of The Portland Cement. China Standard Publishing House: Beijing, China, 2011.
- He, Z. Research on Thermal Damage Effect of Autoclaved Concrete and Its Improvement Measures. Ph.D. Thesis, Central South University, Hunan, China, 2012. Available online: https://kns.cnki.net/KCMS/de-tail/detail.aspx?dbcode=CDFD&dbname=CDFD1214&filename=1013358432.nh&v= (accessed on 10 July 2023).
- Zhong, X.; Li, L.; Jiang, Y.; Lin, Z. Study on high temperature resistance of steel slag-accelerated carbonized products. Silic. Bull. 2021, 40, 3677–3684+3692. [Google Scholar] [CrossRef]
- Wang, X.; Ni, W.; Li, J.; Zhang, S.; Hitch, M.; Pascual, R. Carbonation of steel slag and gypsum for building materials and associated reaction mechanisms. Cem. Concr. Res. 2019, 125, 105893. [Google Scholar] [CrossRef]
- Liu, Y.; Fang, J.; Liu, S.; An, X.; Kang, Y.; Wang, L. Effect of Different CO2 Treatments on the Metal Leaching in Steel Slag Binders. Front. Energy Res. 2021, 9, 765519. [Google Scholar] [CrossRef]
- Bernal, S.A.; De Gutierrez, R.M.; Provis, J.L.; Rose, V. Effect of silicate modulus and metakaolin incorporation on the carbonation of alkali silicate-activated slags. Cem. Concr. Res. 2010, 40, 898–907. [Google Scholar] [CrossRef]
- Bernal, S.A.; Provis, J.L.; Mejía De Gutiérrez, R.; Van Deventer, J.S.J. Accelerated carbonation testing of alkali-activated slag/metakaolin blended concretes: Effect of exposure conditions. Mater. Struct. 2015, 48, 653–669. [Google Scholar] [CrossRef]
- Ukwattage, N.L.; Ranjith, P.G.; Li, X. Steel-making slag for mineral sequestration of carbon dioxide by accelerated carbonation. Measurement 2017, 97, 15–22. [Google Scholar] [CrossRef]
- Peng, Y.; Tang, S.; Huang, J.; Tang, C.; Wang, L.; Liu, Y. Fractal Analysis on Pore Structure and Modeling of Hydration of Magnesium Phosphate Cement Paste. Fractal Fract. 2022, 6, 337. [Google Scholar] [CrossRef]
- Huang, J.; Li, W.; Huang, D.; Wang, L.; Chen, E.; Wu, C.; Wang, B.; Deng, H.; Tang, S.; Shi, Y.; et al. Fractal Analysis on Pore Structure and Hydration of Magnesium Oxysulfate Cements by First Principle, Thermodynamic and Microstructure-Based Methods. Fractal Fract. 2021, 5, 164. [Google Scholar] [CrossRef]
- Zeng, H.; Liu, Z.; Wang, F. Effect of carbonation maintenance on mechanical properties and microstructure of heavily dosed steel slag mortar. J. Silic. 2020, 48, 1801–1807. [Google Scholar] [CrossRef]
- Jang, J.G.; Lee, H.K. Microstructural densification and CO2 uptake promoted by the carbonation curing of belite-rich Portland cement. Cem. Concr. Res. 2016, 82, 50–57. [Google Scholar] [CrossRef]
- GB/T20491-2017; Steel Slag Powder Used in Cement and Concrete. China Standard Publishing House: Beijing, China, 2017.
- Wang, L.; Luo, R.; Zhang, W.; Jin, M.; Tang, S. Effects of fineness and content of phosphorus slag on cement hydration, permeability, pore structure and fractal dimension of concrete. Fractals 2021, 29, 2140004. [Google Scholar] [CrossRef]











| CaO | SiO2 | Fe2O3 | Al2O3 | MgO | SO3 | |
|---|---|---|---|---|---|---|
| PC | 55.2 | 24.5 | 3.5 | 4.5 | 4.0 | 2.0 |
| SS | 42.5 | 13.1 | 29.5 | 3.0 | 5.9 | 0.3 |
| MK | 0.3 | 64.8 | 1.0 | 29.1 | 1.6 | 0.2 |
| Specimen | Steel Slag Powder (wt%) | Cement (wt%) | Metakaolin (wt%) | Water-to-Binder Ratio | Sand-to-Binder Ratio |
|---|---|---|---|---|---|
| MK0-2 1 | 50 | 50 | 0 | 0.2/0.3/0.4/0.5 | 2 |
| MK5-2 | 45 | 5 | |||
| MK10-2 | 40 | 10 | |||
| MK15-2 | 35 | 15 |
| Water-to-Binder Ratio | 0.2 | 0.3 | 0.4 | 0.5 |
|---|---|---|---|---|
| 0% metakaolin | ![]() | ![]() | ![]() | ![]() |
| 36.87% | 41.87% | 49.19% | 62.20% | |
| 5% metakaolin | ![]() | ![]() | ![]() | ![]() |
| 39.72% | 45.42% | 57.35% | 73.78% | |
| 10% metakaolin | ![]() | ![]() | ![]() | ![]() |
| 58.25% | 56.36% | 63.81% | 82.37% | |
| 15% metakaolin | ![]() | ![]() | ![]() | ![]() |
| 56.77% | 57.16% | 72.58% | 88.57% |
| Specimens | before Carbon Curing | after Carbon Curing | ||
|---|---|---|---|---|
| Opening Distance | Whether the Soundness Is Qualified | Opening Distance | Whether the Soundness Is Qualified | |
| MK0-3 | 7.8 mm | no | 3.5 mm | yes |
| MK5-3 | 7.5 mm | no | 3.2 mm | yes |
| MK10-3 | 7.0 mm | no | 3.1 mm | yes |
| MK15-3 | 7.1 mm | no | 2.5 mm | yes |
| Number | Macropore (>30 nm) | Microporous (≤30 nm) | Total Porosity (%) | |||
|---|---|---|---|---|---|---|
| Porosity (%) | Percentage | Porosity (%) | Percentage | |||
| Standard curing | MK0-3 | 1.124 | 10.47% | 9.617 | 89.53% | 10.742 |
| MK5-3 | 0.750 | 9.08% | 7.513 | 90.92% | 8.263 | |
| MK10-3 | 0.552 | 8.22% | 6.163 | 91.78% | 6.715 | |
| MK15-3 | 0.528 | 8.11% | 5.982 | 91.89% | 6.510 | |
| MK0-4 | 2.145 | 15.12% | 12.044 | 84.88% | 14.189 | |
| MK5-4 | 1.628 | 14.27% | 9.775 | 85.73% | 11.403 | |
| MK10-4 | 1.052 | 13.36% | 6.824 | 86.64% | 7.876 | |
| MK15-4 | 1.177 | 13.87% | 7.310 | 86.13% | 8.487 | |
| CO2 curing | MK0-3 | 0.515 | 5.29% | 9.213 | 94.71% | 9.728 |
| MK5-3 | 0.353 | 4.75% | 7.090 | 95.25% | 7.443 | |
| MK10-3 | 0.131 | 2.46% | 5.188 | 97.54% | 5.319 | |
| MK15-3 | 0.233 | 4.04% | 5.534 | 95.96% | 5.767 | |
| MK0-4 | 1.612 | 12.80% | 10.982 | 87.20% | 12.594 | |
| MK5-4 | 1.213 | 11.11% | 9.705 | 88.89% | 10.918 | |
| MK10-4 | 0.655 | 9.77% | 6.045 | 90.23% | 6.700 | |
| MK15-4 | 0.744 | 9.94% | 6.736 | 90.06% | 7.480 | |
Disclaimer/Publisher’s Note: The statements, opinions and data contained in all publications are solely those of the individual author(s) and contributor(s) and not of MDPI and/or the editor(s). MDPI and/or the editor(s) disclaim responsibility for any injury to people or property resulting from any ideas, methods, instructions or products referred to in the content. |
© 2023 by the authors. Licensee MDPI, Basel, Switzerland. This article is an open access article distributed under the terms and conditions of the Creative Commons Attribution (CC BY) license (https://creativecommons.org/licenses/by/4.0/).
Share and Cite
He, Z.; Shao, X.; Chen, X. Effect of Carbonation Treatment on the Strength and CO2 Uptake Rate of Composite Cementitious Material with a High Steel Slag Powder Content. Materials 2023, 16, 6204. https://doi.org/10.3390/ma16186204
He Z, Shao X, Chen X. Effect of Carbonation Treatment on the Strength and CO2 Uptake Rate of Composite Cementitious Material with a High Steel Slag Powder Content. Materials. 2023; 16(18):6204. https://doi.org/10.3390/ma16186204
Chicago/Turabian StyleHe, Zhimin, Xuyang Shao, and Xin Chen. 2023. "Effect of Carbonation Treatment on the Strength and CO2 Uptake Rate of Composite Cementitious Material with a High Steel Slag Powder Content" Materials 16, no. 18: 6204. https://doi.org/10.3390/ma16186204
APA StyleHe, Z., Shao, X., & Chen, X. (2023). Effect of Carbonation Treatment on the Strength and CO2 Uptake Rate of Composite Cementitious Material with a High Steel Slag Powder Content. Materials, 16(18), 6204. https://doi.org/10.3390/ma16186204
















