Critical Evaluation of the Methods for the Characterization of the Degree of Sulfonation for Electron Beam Irradiated and Non-Irradiated Sulfonated Poly(ether ether ketone) Membranes
Abstract
1. Introduction
- Low operational costs.
- Reduced harmful emissions down to zero.
- Robust technology.
- Improvements of efficiency with the change of fuel cell materials [4].
2. Materials and Methods
2.1. SPEEK Synthesis
2.2. SPEEK Irradiation
2.3. Impedance Analysis
2.4. Thermogravimetry Analysis (TGA)
2.5. Fourier-Transform Infrared (FT-IR) Spectrometry and FT-IR-TGA
2.6. Nuclear Magnetic Resonance Spectroscopy
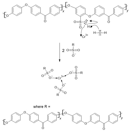
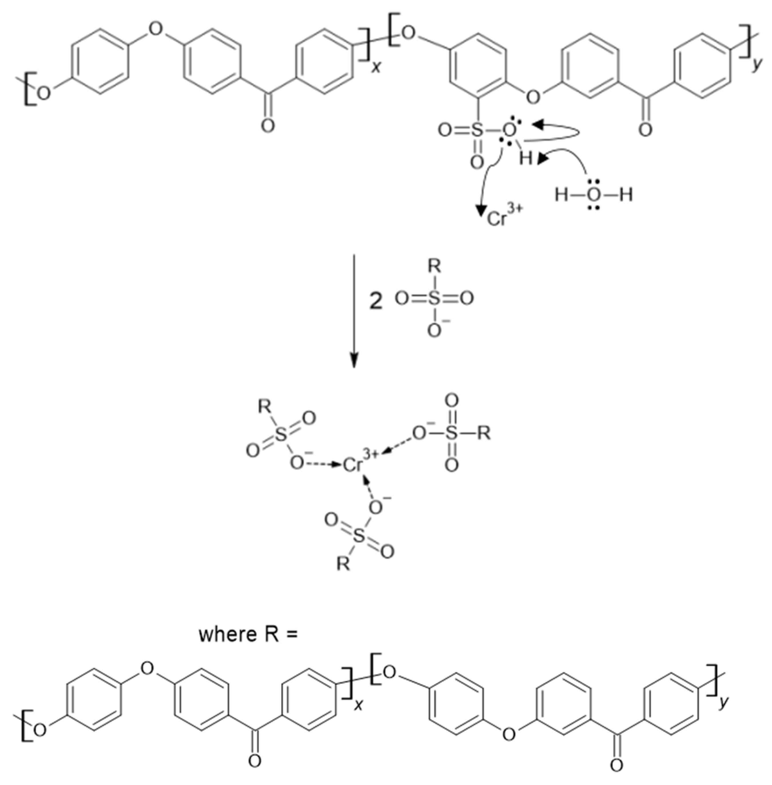
2.7. Spectrophotometry with Cr(III)
3. Results and Discussion
3.1. Impendence Analysis
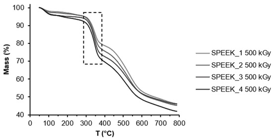
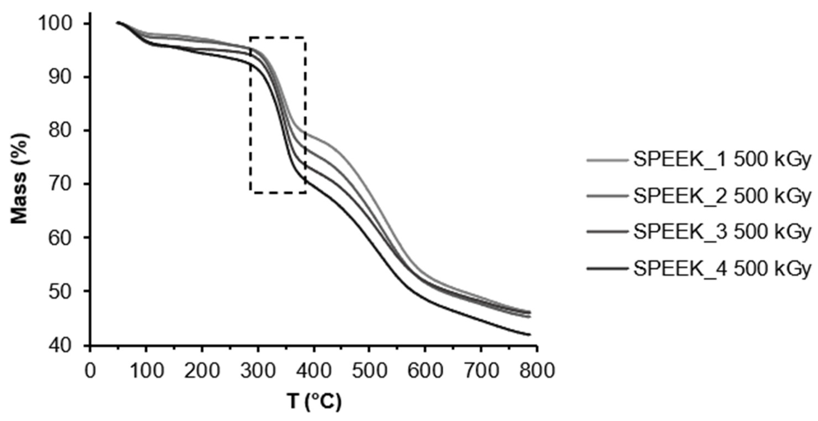
3.2. Thermogravimetry Analysis (TGA)
3.3. Fourier-Transform Infrared (FT-IR) Spectroscopy and FT-IR-TGA
3.4. 1H-NMR
3.5. Spectrophotometry with Cr(III)
3.6. Summary of the Results
4. Conclusions
Author Contributions
Funding
Institutional Review Board Statement
Informed Consent Statement
Data Availability Statement
Acknowledgments
Conflicts of Interest
References
- Midilli, A.; Dincer, I. Hydrogen as a renewable and sustainable solution in reducing global fossil fuel consumption. Int. J. Hydrogen Energy 2008, 33, 4209–4222. [Google Scholar] [CrossRef]
- Stephens, J.C. Time to stop investing in carbon capture and storage and reduce government subsidies of fossil-fuels. Wiley Interdiscip. Rev. Clim. Change 2013, 5, 169–173. [Google Scholar] [CrossRef]
- Likhanov, V.A.; Lopatin, O.P. Use of natural gas, methanol, and ethanol fuel emulsions as environmentally friendly energy carriers for mobile heat power plants. Therm. Eng. 2017, 64, 935–944. [Google Scholar] [CrossRef]
- Grigoriev, S.A.; Fateev, V.N.; Bessarabov, D.G.; Millet, P. Current status, research trends, and challenges in water electrolysis science and technology. Int. J. Hydrogen Energy 2020, 45, 26036–26058. [Google Scholar] [CrossRef]
- Peighambardoust, S.J.; Rowshanzamir, S.; Amjadi, M. Review of the proton exchange membranes for fuel cell applications. Int. J. Hydrogen Energy 2010, 35, 9349–9384. [Google Scholar] [CrossRef]
- Şengül, E.; Erdener, H.; Akay, R.G.; Yücel, H.; Baç, N.; Eroğlu, İ. Effects of sulfonated polyether-etherketone (SPEEK) and composite membranes on the proton exchange membrane fuel cell (PEMFC) performance. Int. J. Hydrogen Energy 2009, 34, 4645–4652. [Google Scholar] [CrossRef]
- Zhao, C.; Lin, H.; Shao, K.; Li, X.; Ni, H.; Wang, Z.; Na, H. Block sulfonated poly(ether ether ketone)s (SPEEK) ionomers with high ion-exchange capacities for proton exchange membranes. J. Power Sources 2006, 162, 1003–1009. [Google Scholar] [CrossRef]
- Harun, N.A.M.; Shaari, N.; Zaiman, N.F.H.N. A review of alternative polymer electrolyte membrane for fuel cell application based on sulfonated poly(ether ether ketone). Int. J. Hydrogen Energy 2021, 45, 19671–19708. [Google Scholar] [CrossRef]
- Gil, M.; Ji, X.; Li, X.; Na, H.; Eric Hampsey, J.; Lu, Y. Direct synthesis of sulfonated aromatic poly(ether ether ketone) proton exchange membranes for fuel cell applications. J. Membr. Sci. 2004, 234, 75–81. [Google Scholar] [CrossRef]
- Hamrock, S.J.; Yandrasits, M.A. Proton Exchange Membranes for Fuel Cell Applications. J. Macromol. Sci. Part C Polym. Rev. 2006, 46, 219–244. [Google Scholar] [CrossRef]
- Cao, N.; Zhou, C.; Wang, Y.; Ju, H.; Tan, D.; Li, J. Synthesis and Characterization of Sulfonated Graphene Oxide Reinforced Sulfonated Poly (Ether Ether Ketone) (SPEEK) Composites for Proton Exchange Membrane Materials. Materials 2018, 11, 516. [Google Scholar] [CrossRef] [PubMed]
- Takata, H.; Nishikawa, M.; Egawa, T.; Mizuno, N. HTO electrolysis method by using proton exchange membrane fuel cell. J. Nucl. Mater. 2007, 367, 1102–1106. [Google Scholar] [CrossRef]
- Wassenaar, L.I.; Han, L.F.; Schiefer, T.; Kainz, G.; Araguas-Araguas, L.; Aggarwal, P.K. A simple polymer electrolyte membrane system for enrichment of low-level tritium (3H) in environmental water samples. Isot. Environ. Health Stud. 2018, 54, 274–287. [Google Scholar] [CrossRef]
- Pajuste, E.; Reinholds, I.; Vaivars, G.; Antuzevičs, A.; Avotiņa, L.; Sprūģis, E.; Mikko, R.; Heikki, K.; Meri, R.; Kaparkalējs, R. Evaluation of radiation stability of electron beam irradiated Nafion® and sulfonated poly(ether ether ketone) membranes. Polym. Degrad. Stab. 2022, 200, 109970. [Google Scholar] [CrossRef]
- Yagizatli, Y.; Ulas, B.; Sahin, A.; Ar, I. Investigation of sulfonation reaction kinetics and effect of sulfonation degree on membrane characteristics for PEMFC performance. Ionics 2022, 28, 2323–2336. [Google Scholar] [CrossRef]
- Parnian, M.J.; Rowshanzamir, S.; Gashoul, F. Comprehensive investigation of physicochemical and electrochemical properties of sulfonated poly (ether ether ketone) membranes with different degrees of sulfonation for proton exchange membrane fuel cell applications. Energy 2017, 125, 614–628. [Google Scholar] [CrossRef]
- Yuan, Z.; Li, X.; Hu, J.; Xu, W.; Cao, J.; Zhang, H. Degradation mechanism of sulfonated poly(ether ether ketone) (SPEEK) ion exchange membranes under vanadium flow battery medium. Phys. Chem. Chem. Phys. 2014, 16, 19841–19847. [Google Scholar] [CrossRef]
- Zawodzinski, T.A., Jr.; Springer, T.E.; Davey, J.; Valerio, J.; Gottesfeld, S. Water transport properties of fuel cell ionomer. In Proceedings of the Symposium on Modeling of Batteries and Fuel Cells, The Electrochemical Society, Phoenix, AZ, USA, 13–18 October 1991. [Google Scholar]
- Di Vona, M.L.; Licoccia, S.; Knauth, P. Organic–inorganic hybrid membranes based on sulfonated polyaryl–ether–ketones: Correlation between water uptake and electrical conductivity. Solid State Ionics 2008, 179, 1161. [Google Scholar] [CrossRef]
- Huang, R.Y.M.; Shao, P.; Burns, C.M.; Feng, X. Sulfonation of Poly(Ether Ether Ketone)(PEEK): Kinetic Study and Characterisation. J. Appl. Polym. Sci. 2001, 82, 2651–2660. [Google Scholar] [CrossRef]
- Suzuki, K.; Owen, R.; Mok, J.; Mochihara, H.; Hosokawa, T.; Kubota, H.; Sakamoto, H.; Matsuda, A.; Tashiro, Y.; Futamata, H. Comparison of electrochemical and microbiological characterization of microbial fuel cells equipped with SPEEK and Nafion membrane electrode assemblies. J. Biosci. Bioeng. 2016, 122, 322–328. [Google Scholar] [CrossRef]
- Do KN, T.; Kim, D. Synthesis and characterization of homogeneously sulfonated poly(ether ether ketone) membranes: Effect of casting solvent. J. Appl. Polym. Sci. 2008, 110, 1763–1770. [Google Scholar] [CrossRef]
- Yee, R.; Zhang, K.; Ladewig, B. The Effects of Sulfonated Poly(ether ether ketone) Ion Exchange Preparation Conditions on Membrane Properties. Membranes 2013, 3, 182–195. [Google Scholar] [CrossRef]
- Wilski, H. Radiation stability of polymers. Int. J. Radiat. Appl. Instrument. Part C Radiat. Phys. Chem. 1990, 35, 186–189. [Google Scholar] [CrossRef]
- Pajuste, E.; Vaivars, G.; Reinholds, I.; Lescinskis, A.; Avotina, L.; Teimane, A.S.; Kizilovs, A.; Zabolockis, R.J.; Kalnina, P. Extraction and Separation of Tritium. The Nuclear Fusion Fuel and the By-product of Fission. In Proceedings of the Technical Meeting on Synergies between Nuclear Fusion Technology Developments and Advanced Nuclear Fission Technologies, IAEA HQ, Vienna, Austria, 6–10 June 2022; Available online: https://conferences.iaea.org/event/285/contributions/21951/attachments/11825/19640/Pajuste_synergies.pdf (accessed on 11 August 2023).
- Luo, H.; Ji, S.; Vaivars, G.; Bladergroen, B.; Linkov, V. Preparation and characterization of sulfonated poly (ether ether ketone)/phosphated zirconia nanoparticles composite proton-conducting membranes. S. Afr. J. Chem. 2007, 60, 85–90. [Google Scholar]
- Vaivars, G.; Krūkle-Bērziņa, K.; Markus, M. Modelling IR Spectra of Sulfonated Polyether Ether Ketone (SPEEK) Membranes for Fuel Cells. Key Eng. Mater. 2020, 850, 138–143. [Google Scholar] [CrossRef]
- Fedorenko, D.; Vaivars, G. Different Approaches in Sulfonated Poly (Ether Ether Ketone) Conductivity Measurements. IOP Conf. Ser. Mater. Sci. Eng. 2019, 503, 012030. [Google Scholar] [CrossRef]
- International Organization for Standardization. Practice for Use of Calorimetric Dosimetry Systems for Dose Measurements and Dosimetry System Calibration in Electron Beams (ISO/ASTM 51631:2013). 2013. Available online: https://www.iso.org/standard/60212.html (accessed on 11 June 2023).
- Fedorenko, D.; Vaivars, G. Composite Membranes of Sulfonated Poly(ether ether ketone) with Active Carbon: Composite Preparation and Investigation of their Properties for Potential Application for CO2 Electrochemical Reduction. Mater. Sci.—Medzg. 2020, 26, 444–450. [Google Scholar] [CrossRef]
- Hasani-Sadrabadi, M.M.; Dashtimoghadam, E.; Sarikhani, K.; Majedi, F.S.; Khanbabaei, G. Electrochemical investigation of sulfonated poly(ether ether ketone)/clay nanocomposite membranes for moderate temperature fuel cell applications. J. Power Sources 2010, 195, 2450–2456. [Google Scholar] [CrossRef]
- Schalenbach, M.; Keller, L.; Janotta, B.; Bauer, A.; Tempel, H.; Kungl, H.; Bonnet, M.; Eichel, R.-A. The Effect of Ion Exchange Poisoning on the Ion Transport and Conduction in Polymer Electrolyte Membranes (PEMs) for Water Electrolysis. J. Electrochem. Soc. 2022, 169, 094510. [Google Scholar] [CrossRef]
- Shabani, B.; Hafttananian, M.; Khamani, S.; Ramiar, A.; Ranjbar, A.A. Poisoning of proton exchange membrane fuel cells by contaminants and impurities: Review of mechanisms, effects, and mitigation strategies. J. Power Sources 2019, 427, 21–48. [Google Scholar] [CrossRef]
- Kanwal, F.; Imran, M.; Mitu, L.; Rashid, Z.; Razzaq, H. Removal of chromium (III) using synthetic polymers, copolymers and their sulfonated derivatives as adsorbents. J. Chem. 2012, 9, 621–630. [Google Scholar] [CrossRef][Green Version]
- Den Boef, G.; De Jong, W.J.; Krijin, G.C.; Poppe, H. Spectrophotometric determination of chromium(III) with EDTA. Anal. Chim. Acta 1960, 23, 557–564. [Google Scholar] [CrossRef]
- Narayanaswamy Venkatesan, P.; Dharmalingam, S. Characterization and performance study of phase inversed Sulfonated Poly Ether Ether Ketone–Silico tungstic composite membrane as an electrolyte for microbial fuel cell applications. Renew. Energy 2017, 102, 77–86. [Google Scholar] [CrossRef]
- Li, H.; Zhang, Q.; Liu, X.; Chang, F.; Zhang, Y.; Xue, W.; Yang, S. Immobilizing Cr3+ with SO3H-functionalized solid polymeric ionic liquids as efficient and reusable catalysts for selective transformation of carbohydrates into 5-hydroxymethylfurfural. Bioresour. Technol. 2013, 144, 21–27. [Google Scholar] [CrossRef] [PubMed]
- Knauth, P.; Hou, H.; Bloch, E.; Sgreccia, E.; Di Vona, M.L. Thermogravimetric analysis of SPEEK membranes: Thermal stability, degree of sulfonation and cross-linking reaction. J. Anal. Appl. Pyrolysis 2011, 92, 361–365. [Google Scholar] [CrossRef]
- Hızal, J.; Kanmaz, N.; Yılmazoğlu, M. Highly efficient sulfonated poly (ether ether ketone) (sPEEK) adsorbent for removal of uranium (VI) from aqueous solution. Process Saf. Environ. Prot. 2023, 174, 848–855. [Google Scholar] [CrossRef]
- Feng, S.; Shen, K.; Wang, Y.; Pang, J.; Jiang, Z. Concentrated sulfonated poly (ether sulfone)s as proton exchange membranes. J. Power Sources 2013, 224, 42–49. [Google Scholar] [CrossRef]
- Kanmaz, N.; Acar, M.; Yılmazoğlu, M.; Hızal, J. Rhodamine B and murexide retention onto sulfonated poly (ether etherketone) (sPEEK). Colloids Surf. A 2020, 605, 125341. [Google Scholar] [CrossRef]


















| Sample No. | Duration, h | Temperature, °C |
|---|---|---|
| SPEEK_1 | 24 | 29 |
| SPEEK_2 | 24 | 38 |
| SPEEK_3 | 48 | 40 |
| SPEEK_4 | 72 | 40 |
| Sample | SPEEK_1 | SPEEK_2 | SPEEK_3 | SPEEK_4 |
|---|---|---|---|---|
| Non-irradiated DS, % | 71 ± 3 | 75 ± 3 | 81 ± 3 | 92 ± 3 |
| Irradiated DS, % | 70 ± 3 | 80 ± 3 | 87 ± 3 | 99 ± 3 |
| Sample | SPEEK_1 | SPEEK_2 | SPEEK_3 | SPEEK_4 |
|---|---|---|---|---|
| Non-irradiated DS, % | 61 ± 2 | 75 ± 2 | 85 ± 2 | 98 ± 2 |
| Irradiated DS, % | 58 ± 2 | 76 ± 2 | 92 ± 2 | 95 ± 2 |
| TGA | 1H NMR | FT-IR | Spectrophotometry | |
|---|---|---|---|---|
| Absolute value | + | + | − | − |
| Quick analysis time | − | + | + | + |
| Inexpensive equipment | − | − | − | + |
| No calibration curve required | + | + | − | − |
| Easily accessible | − | − | − | + |
| Non-degenerative sample analysis | − | − | + | − |
Disclaimer/Publisher’s Note: The statements, opinions and data contained in all publications are solely those of the individual author(s) and contributor(s) and not of MDPI and/or the editor(s). MDPI and/or the editor(s) disclaim responsibility for any injury to people or property resulting from any ideas, methods, instructions or products referred to in the content. |
© 2023 by the authors. Licensee MDPI, Basel, Switzerland. This article is an open access article distributed under the terms and conditions of the Creative Commons Attribution (CC BY) license (https://creativecommons.org/licenses/by/4.0/).
Share and Cite
Pakalniete, L.D.; Maskova, E.; Zabolockis, R.J.; Avotina, L.; Sprugis, E.; Reinholds, I.; Rzepna, M.; Vaivars, G.; Pajuste, E. Critical Evaluation of the Methods for the Characterization of the Degree of Sulfonation for Electron Beam Irradiated and Non-Irradiated Sulfonated Poly(ether ether ketone) Membranes. Materials 2023, 16, 6098. https://doi.org/10.3390/ma16186098
Pakalniete LD, Maskova E, Zabolockis RJ, Avotina L, Sprugis E, Reinholds I, Rzepna M, Vaivars G, Pajuste E. Critical Evaluation of the Methods for the Characterization of the Degree of Sulfonation for Electron Beam Irradiated and Non-Irradiated Sulfonated Poly(ether ether ketone) Membranes. Materials. 2023; 16(18):6098. https://doi.org/10.3390/ma16186098
Chicago/Turabian StylePakalniete, Laura Dace, Elizabete Maskova, Rudolfs Janis Zabolockis, Liga Avotina, Einars Sprugis, Ingars Reinholds, Magdalena Rzepna, Guntars Vaivars, and Elina Pajuste. 2023. "Critical Evaluation of the Methods for the Characterization of the Degree of Sulfonation for Electron Beam Irradiated and Non-Irradiated Sulfonated Poly(ether ether ketone) Membranes" Materials 16, no. 18: 6098. https://doi.org/10.3390/ma16186098
APA StylePakalniete, L. D., Maskova, E., Zabolockis, R. J., Avotina, L., Sprugis, E., Reinholds, I., Rzepna, M., Vaivars, G., & Pajuste, E. (2023). Critical Evaluation of the Methods for the Characterization of the Degree of Sulfonation for Electron Beam Irradiated and Non-Irradiated Sulfonated Poly(ether ether ketone) Membranes. Materials, 16(18), 6098. https://doi.org/10.3390/ma16186098

