Sustainable Perforated Acoustic Wooden Panels Designed Using Third-Degree-of-Freedom Bezier Curves with Broadband Sound Absorption Coefficients
Abstract
:1. Introduction, Research Background, and Conception
1.1. Introduction
- The scientific method used to reach the desired broadband sound absorption;
- The influence of the third-degree-of-freedom front face of the wooden panel;
- The possibilities of final panel property manipulation with the exchange of the front wooden overlays.
1.2. Research Background and Available Solutions
1.3. Research Conception of Acoustic Panels Using Third-Degree Curves
- Based on wood with an FSC (Forest Stewardship Council) certificate;
- Low waste production;
- Ecological and non-toxic glues or wax oils.
2. Impedance Tube Tests
2.1. Impedance Tube Method
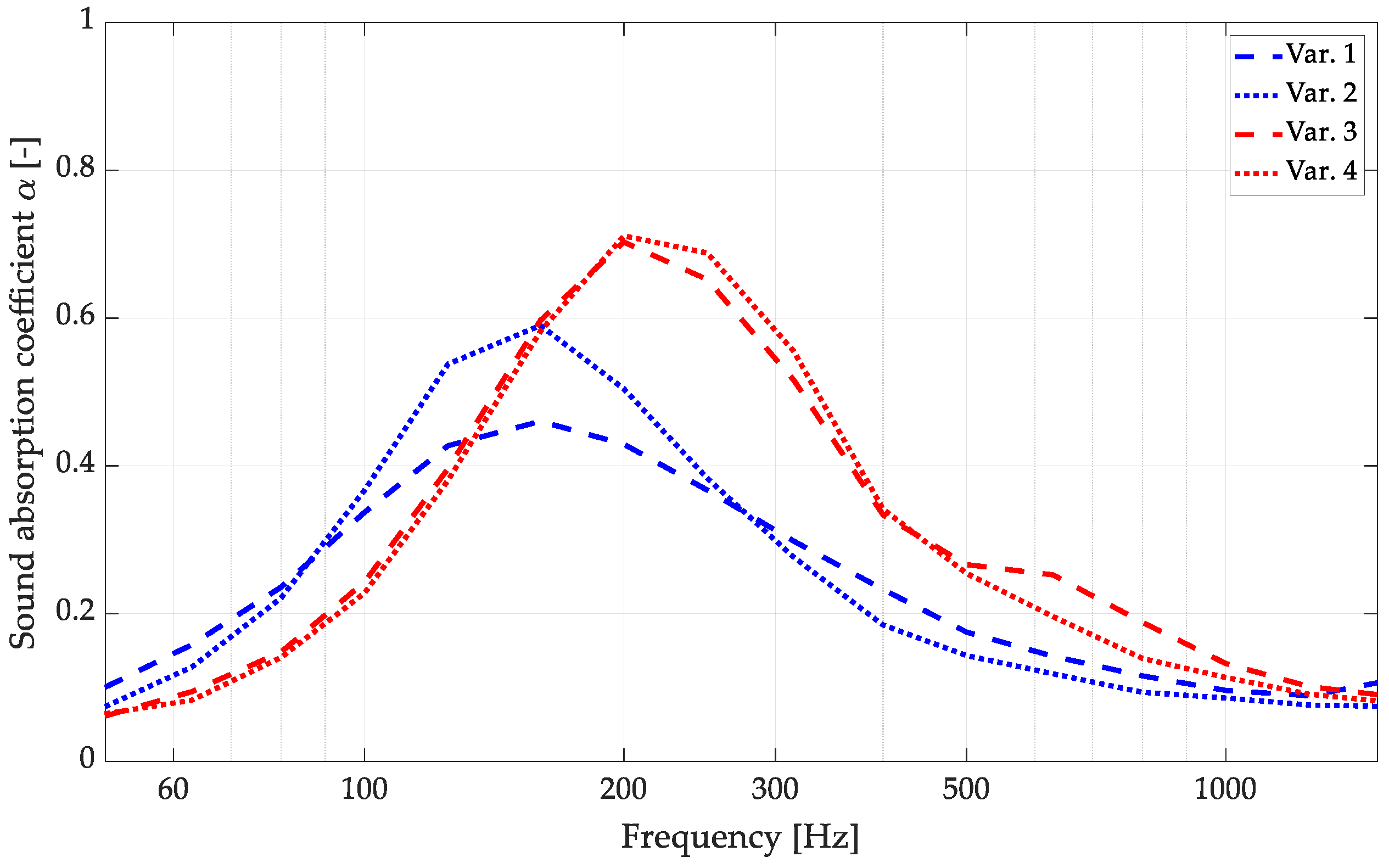
2.2. Basic Research of Phenomena in Perforated Panels
- Variant 1—flat panel with front surface polished;
- Variant 2—flat panel with front surface brushed;
- Variant 3—3D panel with front surface polished;
- Variant 4—3D panel with front surface brushed.
3. Numerical Tests of 3D acoustic Wooden Panels
3.1. FEM Simulations of the Primary Panel Concept and the Perforation Optimization Process
- The porous layer application of the backing material of the panel was simulated using the Delany–Bazley porous material model [4] with the flow resistivity equal to 30 kPa*s/m2.
- Viscous loss inside the holes was simulated with the thermoviscous acoustics module, applying the physics following [32]. Inside acoustic ports, the temperature change and viscoelastic port boundary conditions were applied, as these phenomena are essential for the overall behavior of a perforated plate. Detailed information on how to simulate the viscous loss is included in references [33,34].
- Incident sound waves were modeled using the background pressure field feature in COMSOL in the range valid for plane waves in modeled geometry. Only the normal incidence was considered for calculating the random incidence sound absorption later with the Jeong–Thomasson correction.
3.2. Optimized Design of the Wooden Overlays
- (a)
- A perforation rate of over 25% and a hole diameter of no less than 6 mm should be attained to achieve practical sound absorption values in the mid- and high-frequency ranges. Panels with these characteristics have the potential to obtain Class A certification.
- (b)
- Panels with lower perforation rates can operate in a resonant mode using small holes of approximately 3 mm. However, achieving a wideband characteristic and obtaining a sound absorption class higher than E or D are impossible.
3.3. Variable Properties with Different Panel Arrangements
4. Reverberation Chamber Tests
4.1. Final 3D Perforated Panel Construction
4.2. Partial Application of Overlays
5. Summary
Author Contributions
Funding
Institutional Review Board Statement
Informed Consent Statement
Data Availability Statement
Conflicts of Interest
Appendix A. Detailed Results and Measurement Uncertainty in Reverberation Chamber Measurements
| CM-A—αw = 0.95 (Acoustic Class A) | |||||
|---|---|---|---|---|---|
| Frequency (Hz) | Alfa (-) | Min (-) | Max (-) | U | % Alfa (%) |
| 100 | 0.14 | 0.11 | 0.17 | 0.03 | 22% |
| 125 | 0.27 | 0.21 | 0.34 | 0.06 | 23% |
| 160 | 0.45 | 0.41 | 0.49 | 0.04 | 9% |
| 200 | 0.63 | 0.56 | 0.69 | 0.06 | 10% |
| 250 | 0.87 | 0.82 | 0.92 | 0.05 | 6% |
| 315 | 1.01 | 0.96 | 1.06 | 0.05 | 5% |
| 400 | 1.08 | 1.02 | 1.13 | 0.05 | 5% |
| 500 | 1.19 | 1.16 | 1.23 | 0.04 | 3% |
| 630 | 1.13 | 1.09 | 1.17 | 0.04 | 4% |
| 800 | 1.06 | 1.04 | 1.09 | 0.03 | 3% |
| 1000 | 1.02 | 0.98 | 1.06 | 0.04 | 4% |
| 1250 | 0.94 | 0.91 | 0.97 | 0.03 | 3% |
| 1600 | 0.89 | 0.86 | 0.93 | 0.03 | 4% |
| 2000 | 0.87 | 0.84 | 0.89 | 0.03 | 3% |
| 2500 | 0.86 | 0.83 | 0.88 | 0.03 | 3% |
| 3150 | 0.86 | 0.82 | 0.90 | 0.04 | 4% |
| 4000 | 0.83 | 0.79 | 0.87 | 0.04 | 4% |
| 5000 | 0.93 | 0.91 | 0.95 | 0.02 | 3% |
| P-A—αw = 0.95 (Acoustic Class A) | |||||
|---|---|---|---|---|---|
| Frequency (Hz) | Alfa s (-) | Min (-) | Max (-) | U | % Alfa (%) |
| 100 | 0.12 | 0.09 | 0.15 | 0.03 | 24% |
| 125 | 0.19 | 0.16 | 0.23 | 0.04 | 19% |
| 160 | 0.35 | 0.31 | 0.39 | 0.04 | 11% |
| 200 | 0.54 | 0.49 | 0.59 | 0.05 | 9% |
| 250 | 0.74 | 0.69 | 0.78 | 0.05 | 6% |
| 315 | 0.99 | 0.93 | 1.05 | 0.06 | 6% |
| 400 | 1.08 | 1.04 | 1.12 | 0.04 | 4% |
| 500 | 1.11 | 1.06 | 1.17 | 0.05 | 5% |
| 630 | 1.11 | 1.05 | 1.17 | 0.06 | 5% |
| 800 | 1.05 | 1.02 | 1.08 | 0.03 | 3% |
| 1000 | 1.02 | 0.99 | 1.06 | 0.04 | 4% |
| 1250 | 0.97 | 0.95 | 1.00 | 0.02 | 2% |
| 1600 | 0.95 | 0.92 | 0.98 | 0.03 | 3% |
| 2000 | 0.90 | 0.87 | 0.93 | 0.03 | 3% |
| 2500 | 0.87 | 0.83 | 0.92 | 0.04 | 5% |
| 3150 | 0.88 | 0.85 | 0.92 | 0.04 | 4% |
| 4000 | 0.85 | 0.82 | 0.88 | 0.03 | 3% |
| 5000 | 0.87 | 0.84 | 0.91 | 0.03 | 4% |
| P-A 66%—αw = 0.75 (Acoustic Class C) | |||||
|---|---|---|---|---|---|
| Frequency (Hz) | Alfa s (-) | Min (-) | Max (-) | U | % Alfa (%) |
| 100 | 0.17 | 0.14 | 0.21 | 0.03 | 19% |
| 125 | 0.31 | 0.25 | 0.37 | 0.06 | 18% |
| 160 | 0.45 | 0.40 | 0.50 | 0.05 | 11% |
| 200 | 0.58 | 0.54 | 0.63 | 0.05 | 8% |
| 250 | 0.78 | 0.72 | 0.83 | 0.05 | 7% |
| 315 | 0.96 | 0.90 | 1.02 | 0.06 | 6% |
| 400 | 1.02 | 0.97 | 1.07 | 0.05 | 5% |
| 500 | 1.01 | 0.98 | 1.03 | 0.03 | 3% |
| 630 | 0.97 | 0.92 | 1.01 | 0.05 | 5% |
| 800 | 0.85 | 0.82 | 0.89 | 0.03 | 4% |
| 1000 | 0.82 | 0.79 | 0.86 | 0.03 | 4% |
| 1250 | 0.76 | 0.74 | 0.78 | 0.02 | 3% |
| 1600 | 0.68 | 0.66 | 0.71 | 0.03 | 4% |
| 2000 | 0.65 | 0.63 | 0.67 | 0.02 | 3% |
| 2500 | 0.61 | 0.59 | 0.64 | 0.02 | 4% |
| 3150 | 0.61 | 0.59 | 0.63 | 0.02 | 4% |
| 4000 | 0.64 | 0.62 | 0.67 | 0.02 | 4% |
| 5000 | 0.65 | 0.63 | 0.67 | 0.02 | 3% |
| P-A 33%—αw = 0.45 (Acoustic Class D) | |||||
|---|---|---|---|---|---|
| Frequency (Hz) | Alfa s (-) | Min (-) | Max (-) | U | % Alfa (%) |
| 100 | 0.22 | 0.18 | 0.26 | 0.04 | 16% |
| 125 | 0.36 | 0.30 | 0.41 | 0.05 | 15% |
| 160 | 0.40 | 0.37 | 0.44 | 0.04 | 9% |
| 200 | 0.47 | 0.42 | 0.51 | 0.04 | 9% |
| 250 | 0.60 | 0.57 | 0.64 | 0.04 | 6% |
| 315 | 0.69 | 0.66 | 0.72 | 0.03 | 4% |
| 400 | 0.72 | 0.67 | 0.76 | 0.05 | 6% |
| 500 | 0.70 | 0.67 | 0.73 | 0.03 | 4% |
| 630 | 0.65 | 0.63 | 0.66 | 0.02 | 3% |
| 800 | 0.57 | 0.55 | 0.59 | 0.02 | 4% |
| 1000 | 0.51 | 0.49 | 0.53 | 0.02 | 4% |
| 1250 | 0.48 | 0.46 | 0.49 | 0.01 | 3% |
| 1600 | 0.39 | 0.38 | 0.41 | 0.02 | 4% |
| 2000 | 0.39 | 0.37 | 0.41 | 0.02 | 4% |
| 2500 | 0.37 | 0.35 | 0.40 | 0.02 | 6% |
| 3150 | 0.36 | 0.34 | 0.39 | 0.02 | 6% |
| 4000 | 0.36 | 0.34 | 0.39 | 0.02 | 6% |
| 5000 | 0.38 | 0.36 | 0.39 | 0.01 | 4% |
| CM-D—αw = 0.45 (Acoustic Class D) | |||||
|---|---|---|---|---|---|
| Frequency (Hz) | Alfa s (-) | Min (-) | Max (-) | U | % Alfa (%) |
| 100 | 0.20 | 0.16 | 0.22 | 0.05 | 25% |
| 125 | 0.39 | 0.33 | 0.42 | 0.04 | 10% |
| 160 | 0.54 | 0.51 | 0.58 | 0.04 | 7% |
| 200 | 0.64 | 0.6 | 0.67 | 0.04 | 6% |
| 250 | 0.75 | 0.72 | 0.77 | 0.03 | 4% |
| 315 | 0.80 | 0.75 | 0.82 | 0.04 | 5% |
| 400 | 0.77 | 0.75 | 0.81 | 0.04 | 5% |
| 500 | 0.71 | 0.68 | 0.73 | 0.03 | 4% |
| 630 | 0.64 | 0.61 | 0.66 | 0.02 | 3% |
| 800 | 0.58 | 0.55 | 0.6 | 0.03 | 5% |
| 1000 | 0.51 | 0.49 | 0.53 | 0.02 | 4% |
| 1250 | 0.46 | 0.43 | 0.47 | 0.02 | 4% |
| 1600 | 0.41 | 0.4 | 0.43 | 0.01 | 2% |
| 2000 | 0.37 | 0.36 | 0.38 | 0.01 | 3% |
| 2500 | 0.37 | 0.35 | 0.39 | 0.02 | 6% |
| 3150 | 0.36 | 0.35 | 0.38 | 0.01 | 3% |
| 4000 | 0.36 | 0.34 | 0.37 | 0.02 | 6% |
| 5000 | 0.36 | 0.35 | 0.37 | 0.01 | 4% |
References
- Song, B.; Peng, L.; Fu, F.; Liu, M.; Zhang, H. Experimental and Theoretical Analysis of Sound Absorption Properties of Finely Perforated Wooden Panels. Materials 2016, 9, 942. [Google Scholar] [CrossRef] [PubMed]
- Pereira, A.; Gaspar, A.; Godinho, L.; Amado Mendes, P.; Mateus, D.; Carbajo, J.; Ramis, J.; Poveda, P. On the Use of Perforated Sound Absorption Systems for Variable Acoustics Room Design. Buildings 2021, 11, 543. [Google Scholar] [CrossRef]
- Liu, J.; Guo, H.; Wang, T. A Review of Acoustic Metamaterials and Phononic Crystals. Crystals 2020, 10, 305. [Google Scholar] [CrossRef]
- Cox, T.J.; D’antonio, P. Acoustic Absorbers and Diffusers: Theory, Design and Application; CRC Press: Boca Raton, FL, USA, 2009. [Google Scholar]
- Yang, M.; Sheng, P. Sound Absorption Structures: From Porous Media to Acoustic Metamaterials. Annu. Rev. Mater. Res. 2017, 47, 83–114. [Google Scholar] [CrossRef]
- Eho Muteboards Formula Perforated Panel. Available online: https://ehomuteboards.com/en/products (accessed on 10 July 2023).
- Jiménez, N.; Cox, T.J.; Romero-García, V.; Groby, J.P. Metadiffusers: Deep-Subwavelength Sound Diffusers. Sci. Rep. 2017, 7, 5389. [Google Scholar] [CrossRef] [PubMed]
- Carbajo, J.; Ramis, J.; Godinho, L.; Amado-Mendes, P.; Alba, J. A Finite Element Model of Perforated Panel Absorbers Including Viscothermal Effects. Appl. Acoust. 2015, 90, 1–8. [Google Scholar] [CrossRef]
- Kusaka, M.; Sakagami, K.; Okuzono, T. A Basic Study on the Absorption Properties and Their Prediction of Heterogeneous Micro-Perforated Panels: A Case Study of Micro-Perforated Panels with Heterogeneous Hole Size and Perforation Ratio. Acoustics 2021, 3, 473–484. [Google Scholar] [CrossRef]
- Pilch, A.; Kamisiński, T. The Effect of Geometrical and Material Modification of Sound Diffusers on Their Acoustic Parameters. Arch. Acoust. 2011, 36, 955–966. [Google Scholar] [CrossRef]
- Kosała, K. Experimental Tests of the Acoustic Properties of Sound-Absorbing Linings and Cores of Layered Baffles. Vib. Phys. Syst. 2021, 32, 2021107. [Google Scholar] [CrossRef]
- Sakagami, K.; Kusaka, M.; Okuzono, T. A Basic Study on the Design of Dotted-Art Heterogeneous MPP Sound Absorbers. Acoustics 2022, 4, 588–608. [Google Scholar] [CrossRef]
- Lee, H.P.; Kumar, S.; Aow, J.W. Proof-of-Concept Design for MPP Acoustic Absorbers with Elements of Art. Designs 2021, 5, 72. [Google Scholar] [CrossRef]
- Hoshi, K.; Hanyu, T.; Okuzono, T.; Sakagami, K.; Yairi, M.; Harada, S.; Takahashi, S.; Ueda, Y. Implementation Experiment of a Honeycomb-Backed MPP Sound Absorber in a Meeting Room. Appl. Acoust. 2020, 157, 107000. [Google Scholar] [CrossRef]
- Smardzewski, J.; Kamisiński, T.; Dziurka, D.; Mirski, R.; Majewski, A.; Flach, A.; Pilch, A. Sound Absorption of Wood-Based Materials. Holzforschung 2015, 69, 431–439. [Google Scholar] [CrossRef]
- Smardzewski, J.; Kamisiński, T. Właściwości Akustyczne Materiałów Stosowanych w Meblarstwie; Wydawnictwo Uniwersytetu Przyrodniczego: Poznań, Poland, 2016. [Google Scholar]
- Yang, F.; Wang, E.; Shen, X.; Zhang, X.; Yin, Q.; Wang, X.; Yang, X.; Shen, C.; Peng, W. Optimal Design of Acoustic Metamaterial of Multiple Parallel Hexagonal Helmholtz Resonators by Combination of Finite Element Simulation and Cuckoo Search Algorithm. Materials 2022, 15, 6450. [Google Scholar] [CrossRef]
- Cheng, H.; Yang, F.; Shen, X.; Yang, X.; Zhang, X.; Bi, S. Study on a Hexagonal Acoustic Metamaterial Cell of Multiple Parallel-Connection Resonators with Tunable Perforating Rate. Materials 2023, 16, 5378. [Google Scholar] [CrossRef] [PubMed]
- Nikolić, V.; Nikolić, O.; Tamburić, J.; Đorđević, S.S.; Janković, S. Higher-Order Ruled Surfaces and Their Possible Use in Architectural Design. Nexus Netw. J. 2019, 21, 129–147. [Google Scholar] [CrossRef]
- Form At Wood sp. z o.o. Form At Wood Smooth Series—3rd Degrees of Freedom Wooden Overlays. Available online: https://formatwood.com/products/decorative-panels/#smooth-series (accessed on 10 July 2023).
- Wassilieff, C. Sound Absorption of Wood-Based Materials. Appl. Acoust. 1996, 48, 339–356. [Google Scholar] [CrossRef]
- ISO 10534-2:1998; Acoustics—Determination of Sound Absorption Coefficient and Impedance in Impedance Tubes—Part 2: Transfer- Function Method. American National Standards Institute: Washington, DC, USA, 1998.
- Komkin, A.I.; Bykov, A.I. Inertial Attached Neck Length of Helmholtz Resonators. Acoust. Phys. 2016, 62, 269–279. [Google Scholar] [CrossRef]
- Meissner, M. The Response of Helmholtz Resonator to External Excitation. Part I: Acoustically Induced Resonance. Arch. Acoust. 2004, 29, 107–121. [Google Scholar]
- Duan, M.; Yu, C.; He, W.; Xin, F.; Lu, T.J. Perfect Sound Absorption of Helmholtz Resonators with Embedded Channels in Petal Shape. J. Appl. Phys. 2021, 130, 135102. [Google Scholar] [CrossRef]
- Thomasson, S.I. On the absorption coefficient. Acustica 1980, 44, 265–273. [Google Scholar]
- Jeong, C.-H. A Correction of Random Incidence Absorption Coefficients for the Angular Distribution of Acoustic Energy under Measurement Conditions. J. Acoust. Soc. Am. 2009, 125, 2064–2071. [Google Scholar] [CrossRef] [PubMed]
- Cambonie, T.; Mbailassem, F.; Gourdon, E. Bending a Quarter Wavelength Resonator: Curvature Effects on Sound Absorption Properties. Appl. Acoust. 2018, 131, 87–102. [Google Scholar] [CrossRef]
- Li, Y.; Assouar, B.M. Acoustic Metasurface-Based Perfect Absorber with Deep Subwavelength Thickness. Appl. Phys. Lett. 2016, 108, 063502. [Google Scholar] [CrossRef]
- GmbH COMSOL Transfer Impedance of a Perforate in COMSOL 5.6. Available online: https://www.comsol.com/model/transfer-impedance-of-a-perforate-12585 (accessed on 10 July 2023).
- GmbH COMSOL Porous Absorber in COMSOL 5.6. Available online: https://www.comsol.com/model/porous-absorber-12269 (accessed on 10 July 2023).
- Melling, T.H. The Acoustic Impendance of Perforates at Medium and High Sound Pressure Levels. J. Sound Vib. 1973, 29, 1–65. [Google Scholar] [CrossRef]
- Beltman, W.M.; van der Hoogt, P.J.M.; Spiering, R.M.E.J.; Tijdeman, H. Implementation and experimental validation of a new viscothermal acoustic finite element for acousto-elastic problems. J. Sound Vib. 1998, 216, 159–185. [Google Scholar] [CrossRef]
- Malinen, M.; Lyly, M.; Råback, P.; Kärkkäinen, A.; Kärkkäinen, L. A finite element method for the modeling of thermo-viscous effects in acoustics. In Proceedings of the European Congress on Computational Methods in Applied Science and Engineering (ECCOMAS 2004), Jyvaskyla, Finland, 24–28 July 2004. [Google Scholar]
- Hu, J.; Wang, J.; Xie, Y.; Shi, C.; Chen, Y. Finite Element Analysis on Acoustic and Mechanical Performance of Flexible Perforated Honeycomb-Corrugation Hybrid Sandwich Panel. Shock Vib. 2021, 2021, 9977644. [Google Scholar] [CrossRef]
- Otsuru, T.; Tomiku, R.; Din, N.B.C.; Okamoto, N.; Murakami, M. Ensemble Averaged Surface Normal Impedance of Material Using an In-Situ Technique: Preliminary Study Using Boundary Element Method. J. Acoust. Soc. Am. 2009, 125, 3784–3791. [Google Scholar] [CrossRef]
- ISO 354; Acoustics—Measurement of Sound Absorption in a Reverberation Room. International Organization for Standardization: Geneva, Switzerland, 2003.
- Wang, H.; Chen, S. An Approach to Ship Deck Arrangement Optimization Problem Using an Improved Multiobjective Hybrid Genetic Algorithm. Math. Probl. Eng. 2021, 2021, 8784923. [Google Scholar] [CrossRef]
- Vigeant, M.C.; Neal, M.T.; Dick, D.A. Effects of Variable Acoustic Elements on the Spatial Sound Field in Multipurpose Venues. J. Acoust. Soc. Am. 2017, 142, 2688. [Google Scholar] [CrossRef]
- ISO 11654:1997; Acoustics—Sound Absorbers for Use in Buildings—Rating of Sound Absorption. International Organization for Standardization: Geneva, Switzerland, 1997.
- Chojnacki, B.; Pilch, A.; Kamisinski, T.; Flach, A. Estimating the Diffuseness Level of the Acoustic Field—Reverberation Chamber under Study. In Proceedings of the 142nd Audio Engineering Society International Convention 2017, AES 2017, Berlin, Germany, 20–23 May 2017. [Google Scholar]
- Vercammen, M.; Lautenbach, M. Isotropy and Diffuseness in Room Acoustics: Non Diffuse Sound Field in the Reverberation Room. In Proceedings of the 22nd International Congress on Acoustics, Buenos Aires, Argentina, 5–9 September 2016. ICA2016-777. [Google Scholar]
- Jeong, C.-H. Kurtosis of Room Impulse Responses as a Diffuseness Measure for Reverberation Chambers. J. Acoust. Soc. Am. 2016, 139, 2833–2841. [Google Scholar] [CrossRef]
- ISO 9613-1; Acoustics—Attenuation of Sound during Propagation Outdoors—Part 1: Calculation of the Absorption of Sound by the Atmosphere. International Organization for Standardization: Geneva, Switzerland, 1993.












| Element (Perforation Pattern) | Number of Holes | Hole Diameter (mm) | Total Element Surface (mm2) | Perforation Surface (mm2) | Perforation Rate (%) |
|---|---|---|---|---|---|
| P-A | 262 | 6 | 27,063 | 7408 | 27.37 |
| CM-A | 496 | 6 | 54,126 | 14,024 | 25.91 |
| CM-D | 224 | 5 | 54,126 | 7146 | 13.20 |
Disclaimer/Publisher’s Note: The statements, opinions and data contained in all publications are solely those of the individual author(s) and contributor(s) and not of MDPI and/or the editor(s). MDPI and/or the editor(s) disclaim responsibility for any injury to people or property resulting from any ideas, methods, instructions or products referred to in the content. |
© 2023 by the authors. Licensee MDPI, Basel, Switzerland. This article is an open access article distributed under the terms and conditions of the Creative Commons Attribution (CC BY) license (https://creativecommons.org/licenses/by/4.0/).
Share and Cite
Chojnacki, B.; Schynol, K.; Halek, M.; Muniak, A. Sustainable Perforated Acoustic Wooden Panels Designed Using Third-Degree-of-Freedom Bezier Curves with Broadband Sound Absorption Coefficients. Materials 2023, 16, 6089. https://doi.org/10.3390/ma16186089
Chojnacki B, Schynol K, Halek M, Muniak A. Sustainable Perforated Acoustic Wooden Panels Designed Using Third-Degree-of-Freedom Bezier Curves with Broadband Sound Absorption Coefficients. Materials. 2023; 16(18):6089. https://doi.org/10.3390/ma16186089
Chicago/Turabian StyleChojnacki, Bartlomiej, Kamil Schynol, Mateusz Halek, and Alicja Muniak. 2023. "Sustainable Perforated Acoustic Wooden Panels Designed Using Third-Degree-of-Freedom Bezier Curves with Broadband Sound Absorption Coefficients" Materials 16, no. 18: 6089. https://doi.org/10.3390/ma16186089
APA StyleChojnacki, B., Schynol, K., Halek, M., & Muniak, A. (2023). Sustainable Perforated Acoustic Wooden Panels Designed Using Third-Degree-of-Freedom Bezier Curves with Broadband Sound Absorption Coefficients. Materials, 16(18), 6089. https://doi.org/10.3390/ma16186089

