The Effect of SMA Fiber Content on the Bending and Self-Recovery Performance of ECC Beams
Abstract
:1. Introduction
2. Experiment Materials
2.1. Superelastic SMA Wire
2.2. ECC
3. Test Design
3.1. Specimen Design
3.2. Test Loading and Measurement
4. Test Results
4.1. Control Specimen
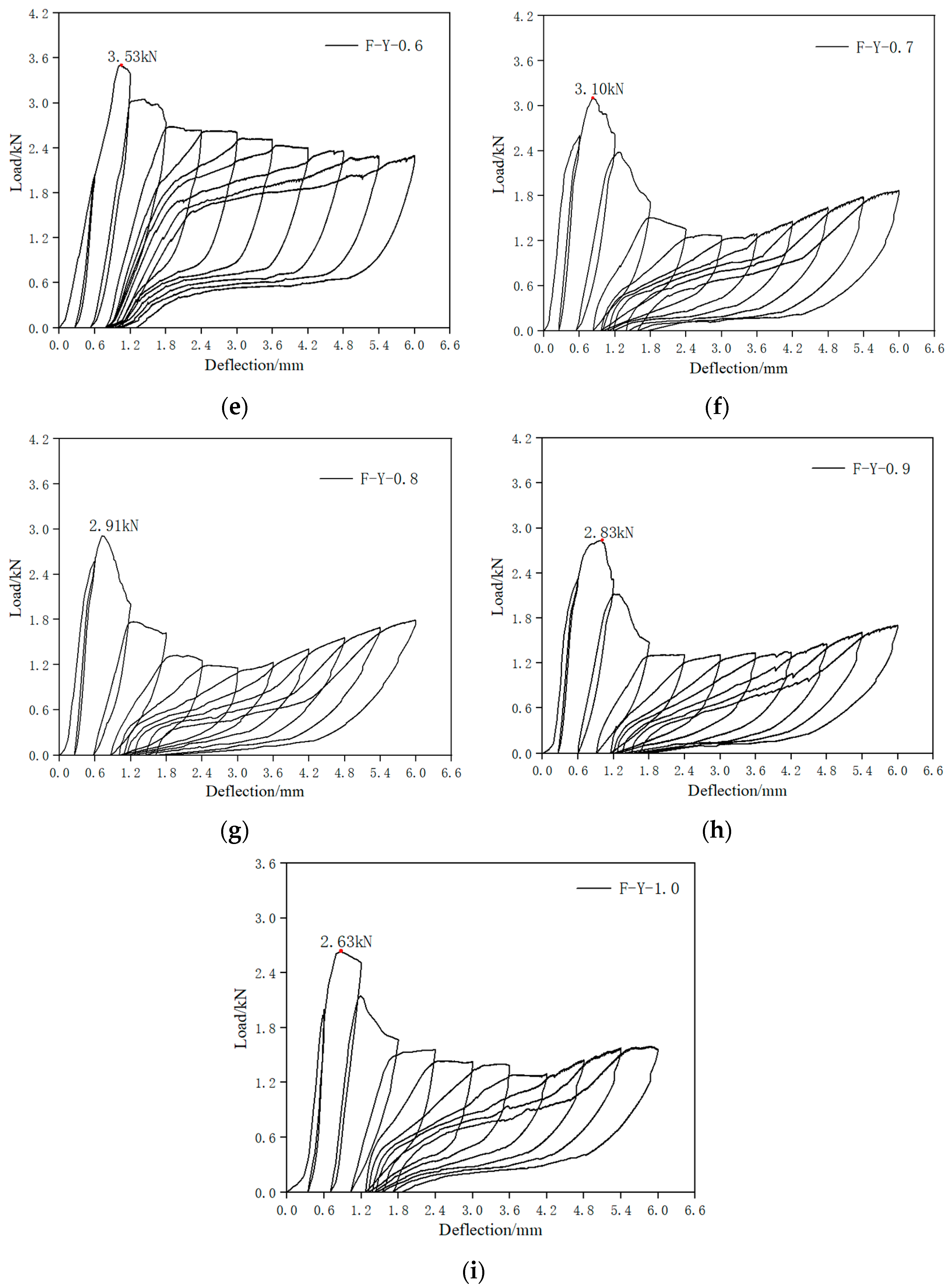
4.2. SMAF-ECC Beam Specimen
4.3. Impact Analysis of SMA Fiber Content
4.3.1. Bending Strength
4.3.2. Energy Dissipation Capacity
4.3.3. Self-Recovery Ability of Deflection
5. Conclusions
Author Contributions
Funding
Institutional Review Board Statement
Informed Consent Statement
Data Availability Statement
Conflicts of Interest
References
- Liang, J.; Xi, N.; Liu, J.; Yang, J.; Shi, H.; Yang, Z. Introduction to China’s Earthquake Emergency Response System. Earthq. Sci. 2021, 34, 447–459. [Google Scholar] [CrossRef]
- Joyner, M.D.; Sasani, M. Building performance for earthquake resilience. Eng. Struct. 2020, 210, 110371. [Google Scholar] [CrossRef]
- Li, J.; Sun, K.; Jiang, Y.; Meng, X.; Cai, W. Martensitic transformations and kinetics in Ti-Ni-Cu-Hf shape memory alloy. Mater. Lett. 2021, 293, 129732. [Google Scholar] [CrossRef]
- Zhang, K.; Kang, G.; Sun, Q. High fatigue life and cooling efficiency of NiTi shape memory alloy under cyclic compression. Scr. Mater. 2018, 159, 62–67. [Google Scholar] [CrossRef]
- Youssef, M.A.; Alam, M.S.; Nehdi, M. Experimental Investigation on the Seismic Behavior of Beam-Column Joints Reinforced with Superelastic Shape Memory Alloys. J. Earthq. Eng. 2008, 12, 1205–1222. [Google Scholar] [CrossRef]
- Alam, M.S.; Youssef, M.A.; Nehdi, M. Analytical prediction of the seismic behaviour of superelastic shape memory alloy reinforced concrete elements. Eng. Struct. 2008, 30, 3399–3411. [Google Scholar] [CrossRef]
- Saiidi, M.S.; Wang, H. Exploratory study of seismic response of concrete columns with shape memory alloys reinforcement. ACI Mater. J. 2006, 103, 436. [Google Scholar]
- Xiang, N.; Chen, X.; Alam, M.S. Probabilistic seismic fragility and loss analysis of concrete bridge piers with superelastic shape memory alloy-steel coupled reinforcing bars. Eng. Struct. 2020, 207, 110229. [Google Scholar] [CrossRef]
- Singh, M.; Saini, B.; Chalak, H.D. Performance and composition analysis of engineered cementitious composite (ECC)—A review. J. Build. Eng. 2019, 26, 100851. [Google Scholar] [CrossRef]
- Zhang, J.; Leung CK, Y.; Gao, Y. Simulation of crack propagation of fiber reinforced cementitious composite under direct tension. Eng. Fract. Mech. 2011, 78, 2439–2454. [Google Scholar] [CrossRef]
- Li, X.P.; Li, M.; Song, G.B. Energy-dissipating and self-repairing SMA-ECC composite material system. Smart Mater. Struct. 2015, 24, 025024. [Google Scholar] [CrossRef]
- Hung, C.C.; Yen, W.M.; Yu, K.H. Vulnerability and improvement of reinforced ECC flexural members under displacement reversals: Experimental investigation and computational analysis. Constr. Build. Mater. 2016, 107, 287–298. [Google Scholar] [CrossRef]
- Hosseini, F.; Gencturk, B.; Lahpour, S.; Gil, D.I. An experimental investigation of innovative bridge columns with engineered cementitious composites and Cu–Al–Mn super-elastic alloys. Smart Mater. Struct. 2015, 24, 085029. [Google Scholar] [CrossRef]
- Ge, J.; Saiidi, S.M.; Varela, S. Computational studies on the seismic response of the State Route 99 bridge in Seattle with SMA/ECC plastic hinges. Front. Struct. Civ. Eng. 2019, 13, 149–164. [Google Scholar] [CrossRef]
- Benshams, A.; Hatami, F.; Saybani, M. Probabilistic seismic assessment of innovative concrete bridge piers with Engineered Cementitious Composites (ECC) by different types of shape memory alloys (SMAs) bars. Smart Mater. Struct. 2023, 32, 035039. [Google Scholar] [CrossRef]
- Ali, M.; Soliman, A.M.; Nehdi, M.L. Hybrid-fiber reinforced engineered cementitious composite under tensile and impact loading. Mater. Des. 2017, 117, 139–149. [Google Scholar] [CrossRef]
- Song, M.; Wang, J.; Yuan, L.; Luan, C.; Zhou, Z. Investigation on crack recovery behavior of engineered cementitious composite (ECC) incorporated memory alloy fiber at low temperature. ES Mater. Manuf. 2022, 17, 23–33. [Google Scholar] [CrossRef]
- Chen, W.; Feng, K.; Wang, Y.; Lin, Y.; Qian, H. Evaluation of self-healing performance of a smart composite material (SMA-ECC). Constr. Build. Mater. 2021, 290, 123216. [Google Scholar] [CrossRef]
- Yang, Z.; Deng, T.; Li, J.; Xu, C. Experimental Study on Self-Centering Performance of the SMA Fiber Reinforced ECC Composite Beam. Materials 2022, 15, 3062. [Google Scholar] [CrossRef]
- Yang, Z.; Gong, X.; Wu, Q.; Fan, L. Bonding Mechanical Properties between SMA Fiber and ECC Matrix under Direct Pullout Loads. Materials 2023, 16, 2672. [Google Scholar] [CrossRef]
- Zhao, Y.; Zheng, X.; Yu, L. Study on the self-recovery performance of SMAF-ECC under cyclic tensile loading. Constr. Build. Mater. 2023, 392, 131895. [Google Scholar]
- Sherif, M.M.; Khakimova, E.M.; Ozbulut, O.E.; Harris, D.K.; Ozyildirim, H.C. Behavior of mortar beams with randomly distributed superelastic shape memory alloy fibers. J. Intell. Mater. Syst. Struct. 2018, 29, 684–695. [Google Scholar] [CrossRef]
- AASHTO T 68M/T68-09; Standard Method of Test for Tension Testing of Metallic Materials (ASTM Designation: E 8/E 8M-08. American Association of State and Highway Transportation Officials: Washington, DC, USA, 2009.
- Tazarv, M.; Saiid Saiidi, M. Reinforcing NiTi Superelastic SMA for Concrete Structures. J. Struct. Eng. 2014, 141, 04014197. [Google Scholar] [CrossRef]
- JC/T 2461-2018; Standard Test Method for the Mechanical Properties of Ductile Fiber Reinforced Cementitious Composites. Ministry of Industry and Information Techonology of the People’s Republic of China: Beijing, China, 2018. (In Chinese)
- ASTM C348–08; Standard Test Method for Flexural Strength of Hydraulic-Cement Mortars. ASTM International: West Conshohocken, PA, USA, 2009; pp. 1–6.
- Yang, Z.; Du, Y.; Liang, Y.; Ke, X. Mechanical Behavior of Shape Memory Alloy Fibers Embedded in Engineered Cementitious Composite Matrix under Cyclic Pullout Loads. Materials 2022, 15, 4531. [Google Scholar] [CrossRef]
- Sherif, M.; Jonathon, T.; Osman, E. Acoustic emission analysis of cyclically loaded superelastic shapememory alloy fiber reinforced mortar beams. Cem. Concr. Res. 2017, 95, 178–187. [Google Scholar] [CrossRef]
- Choi, E.; Mohammadzadeh, B.; Hwang, J.H.; Lee, J.H. Displacement-recovery-capacity of superelastic SMA fibers reinforced cementitious materials. Smart Struct. Syst. 2019, 24, 157–171. [Google Scholar]
- CECS 13: 2009; Standard Test Methods for Fiber Reinforced Concrete, China Association for Engineering Construction Standardization. China Planning Press: Beijing, China, 2010.
- ASTM C-1609; Standard Test Method for Flexural Performance of Fiber Reinforced Concrete. American Society of Testing Material: West Conshonocken, PA, USA, 2007.
- Ren, X.; Zhang, C.; Zhang, J.; Liu, P.; Qin, G. Mechanical Properties of Special-shaped Mo Fiber Reinforced Mineral-filled Polymer Composite. Fibers Polym. 2021, 22, 451–459. [Google Scholar] [CrossRef]
- Choi, E.; Jin Kim, W.; Kim, T. Uniaxial compressive cyclic behavior of mortar reinforced with crimped or dog-bone-shaped SMA fibers. Compos. Struct. 2021, 262, 113600. [Google Scholar] [CrossRef]
- Shajil, N.; Srinivasan, S.M.; Santhanam, M. Self-centering of shape memory alloy fiber reinforced cement mortar members subjected to strong cyclic loading. Mater. Struct. 2012, 46, 651–661. [Google Scholar] [CrossRef]
- Li, V.C. Engineered Cementitious Composites (ECC): Bendable Concrete for Sustainable and Resilient Infrastructure; Springer: Berlin/Heidelberg, Germany, 2019. [Google Scholar]
- Chen, W.; Lin, B.; Feng, K.; Cui, S.; Zhang, D. Effect of shape memory alloy fiber content and preloading level on the self-healing properties of smart cementitious composite (SMA-ECC). Constr. Build. Mater. 2022, 341, 127797. [Google Scholar] [CrossRef]



















| Type | Cement | Fly Ash | Silica Sand | Water | Water Reducer | PVA * (%) |
|---|---|---|---|---|---|---|
| PVA-ECC | 1.0 | 2.4 | 0.36 | 0.26 | 0.0082 | 2.00 |
| Type | Length/mm | Diameter/µm | Tensile Strength/MPa | Elasticity Modulus/GPa | Elongation/% |
|---|---|---|---|---|---|
| PVA | 9 | 31 | 1500 | 42 | 6 |
| Specimen Type | Specimen Name | SMAF Diameter/mm | SMAF Volume Content | Specimen Number |
|---|---|---|---|---|
| SMAF-ECC beam | F-Y-0.2 | 1.0 mm | 0.2% | 3 |
| F-Y-0.3 | 0.3% | |||
| F-Y-0.4 | 0.4% | |||
| F-Y-0.5 | 0.5% | |||
| F-Y-0.6 | 0.6% | |||
| F-Y-0.7 | 0.7% | |||
| F-Y-0.8 | 0.8% | |||
| F-Y-0.9 | 0.9% | |||
| F-Y-1.0 | 1.0% | |||
| ECC beam | E0 | — | 0 |
| Specimen Name | SMAF Volume Content | Peak Load/kN | Lifting Rate of Peak Load Relative to Comparison Specimen | Maximum Crack Width/mm | Residual Crack Width after Unloading/mm |
|---|---|---|---|---|---|
| Y-0.2 | 0.2% | 2.54 kN | 6.72% | 6.1 | 2.4 |
| F-Y-0.3 | 0.3% | 2.69 kN | 13.03% | 5.2 | 2.3 |
| F-Y-0.4 | 0.4% | 2.81 kN | 18.06% | 6.5 | 2.3 |
| F-Y-0.5 | 0.5% | 2.69 kN | 23.52% | 5.8 | 2.0 |
| F-Y-0.6 | 0.6% | 3.53 kN | 48.31% | 5.7 | 1.2 |
| F-Y-0.7 | 0.7% | 3.10 kN | 30.25% | 6.2 | 1.8 |
| F-Y-0.8 | 0.8% | 2.91 kN | 22.27% | 5.8 | 2.0 |
| F-Y-0.9 | 0.9% | 2.83 kN | 18.91% | 5.8 | 2.0 |
| F-Y-1.0 | 1.0% | 2.63 kN | 10.51% | 5.6 | 2.2 |
| Specimen Name | SMAF Volume Content | Bending Strength/MPa |
|---|---|---|
| F-Y-0.2 | 0.2% | 4.76 |
| F-Y-0.3 | 0.3% | 5.04 |
| F-Y-0.4 | 0.4% | 5.26 |
| F-Y-0.5 | 0.5% | 5.51 |
| F-Y-0.6 | 0.6% | 6.61 |
| F-Y-0.7 | 0.7% | 5.81 |
| F-Y-0,8 | 0.8% | 5.45 |
| F-Y-0.9 | 0.9% | 5.30 |
| F-Y-1.0 | 1.0% | 4.93 |
| E0 | 0 | 4.46 |
| Specimen Name | SMAF Volume Content | Load Deflection/mm | Final Unloading Deflection/mm | Recovery of Deflection/mm | Deflection Recovery Rate/% | Standard Deviation |
|---|---|---|---|---|---|---|
| E0 | 0% | 6 | 5.06 | 0.94 | 15.67 | 0.13 |
| F-Y-0.2 | 0.2% | 2.33 | 3.67 | 61.17 | 0.03 | |
| F-Y-0.3 | 0.3% | 2.28 | 3.72 | 62.00 | 0.21 | |
| F-Y-0.4 | 0.4% | 1.96 | 4.04 | 67.33 | 0.07 | |
| F-Y-0.5 | 0.5% | 1.73 | 4.27 | 71.17 | 0.02 | |
| F-Y-0.6 | 0.6% | 1.32 | 4.68 | 78.00 | 0.09 | |
| F-Y-0.7 | 0.7% | 1.72 | 4.28 | 71.33 | 0.02 | |
| F-Y-0.8 | 0.8% | 1.76 | 4.24 | 70.67 | 0.02 | |
| F-Y-0.9 | 0.9% | 1.78 | 4.22 | 70.33 | 0.02 | |
| F-Y-1.0 | 1.0% | 1.87 | 4.13 | 68.83 | 0.04 |
Disclaimer/Publisher’s Note: The statements, opinions and data contained in all publications are solely those of the individual author(s) and contributor(s) and not of MDPI and/or the editor(s). MDPI and/or the editor(s) disclaim responsibility for any injury to people or property resulting from any ideas, methods, instructions or products referred to in the content. |
© 2023 by the authors. Licensee MDPI, Basel, Switzerland. This article is an open access article distributed under the terms and conditions of the Creative Commons Attribution (CC BY) license (https://creativecommons.org/licenses/by/4.0/).
Share and Cite
Yang, Z.; Ren, Y.; Wu, Q. The Effect of SMA Fiber Content on the Bending and Self-Recovery Performance of ECC Beams. Materials 2023, 16, 5319. https://doi.org/10.3390/ma16155319
Yang Z, Ren Y, Wu Q. The Effect of SMA Fiber Content on the Bending and Self-Recovery Performance of ECC Beams. Materials. 2023; 16(15):5319. https://doi.org/10.3390/ma16155319
Chicago/Turabian StyleYang, Zhao, Yun Ren, and Qing Wu. 2023. "The Effect of SMA Fiber Content on the Bending and Self-Recovery Performance of ECC Beams" Materials 16, no. 15: 5319. https://doi.org/10.3390/ma16155319
APA StyleYang, Z., Ren, Y., & Wu, Q. (2023). The Effect of SMA Fiber Content on the Bending and Self-Recovery Performance of ECC Beams. Materials, 16(15), 5319. https://doi.org/10.3390/ma16155319

