Experimental Study on Mechanical Properties of Coal-Based Solid Waste Nanocomposite Fiber Cementitious Backfill Material
Abstract
1. Introduction
2. Methods and Materials
2.1. Test Materials and Equipment
2.1.1. Test Equipment
2.1.2. Test Materials
- Coal gangue
- 2.
- Fly ash
- 3.
- Glass fibers with nano-SiO2
2.2. Experimental Process
2.3. Specimen Preparation
3. Results and Discussion
3.1. Compressive Strength Test
3.1.1. Compressive Failure Mode
- (1)
- Cracks developed from the corners of the specimen at the curing age of 3 d. With the increase in load, the cracks at the corners of the specimen gradually propagated upwards until they penetrated through the entire specimen. When the cracks in the corners of the specimen developed, cracks in the middle of the specimen also appeared, while they did not pass through the whole specimen. The side of the specimen exhibited two large cracks, and a large number of fibers were observed in the cracks, which pulled each other to maintain the complete form of the specimen.
- (2)
- The specimen at the curing age of 7 d was damaged from the left side of the lower corners. With the increase in the load, the two small cracks on the left side of the specimen developed and expanded, and eventually penetrated the whole specimen. The penetrating cracks were located in the middle of the specimen, and the width of the specimen reached the maximum. As the loading time increased, small cracks were generated on the right side of the specimen, and large cracks appeared in the middle of the specimen and extended to the end of the specimen.
- (3)
- The damage location of the specimen at the curing age of 14 d was the same as that of 7 d, and the damage on the specimen started from the left side of the lower corners. At the beginning, two cracks were generated in the corners of the specimen. With the increase in load, the two cracks developed upward, and the specimen was constantly broken in the process. Due to the fiber tension, the specimen still maintained high integrity, and the two cracks in the corners eventually penetrated through the whole specimen. Small cracks were also generated on the left side of the specimen.
- (4)
- The specimen at the curing age of 28 d was damaged from the right side of the lower corners. The cracks formed on the right side and in the middle of the specimen simultaneously. With the increase in load, two cracks developed and extended 1/2 of the specimen’s length, and finally cracks formed through the middle of the specimen at an angle of 45°. There was a peeling phenomenon on the surface of the right side of the specimen, while the specimen still maintained high integrity. Due to the development of cracks on the left surface of the specimen, a large number of fragments fell off, and the evenly distributed glass fibers can be seen on the cross-section of the fallen fragments.
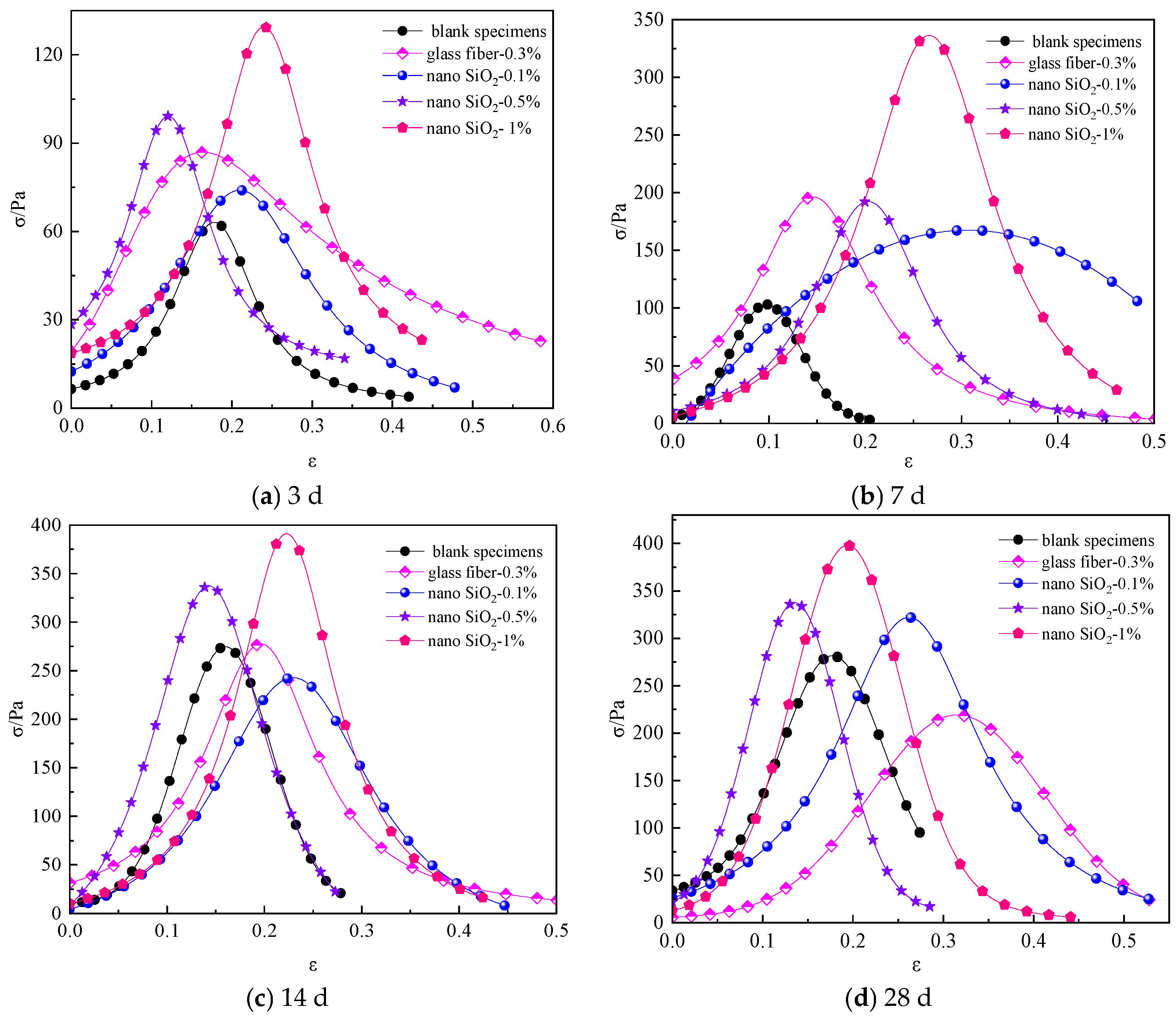
3.1.2. The Effect of Different Nano-SiO2 Dosages on Compressive Strength
3.1.3. Effect of Different Curing Ages on Compressive Strength
3.2. Tensile Strength Test
3.2.1. Tensile Failure Mode
- (1)
- Under the action of axial pressure, two cracks were generated from the upper end of the specimen at the curing age of 3 d. With the increase in the load, the cracks extended downward. Ultimately, one crack passed through the entire specimen, while the other one extended to approximately one-fourth of the specimen’s length. The sample was not directly broken into two parts along the crack, and the sample still has a certain amount of residual tensile strength.
- (2)
- The cracks of the specimen at the curing age of 7 d developed from the bottom, and the cracks of the specimen extended upward under the action of axial force. As the cracks developed upward, the width of the cracks decreased gradually, and the cracks penetrated the whole lower part of the specimen, while these cracks were almost invisible in the upper part of the specimen. Compared with the specimen at the curing age of 3 d and 7 d, the cracks developed in different positions and extended in different directions. The crack width in the specimen at the curing age of 7 d was much smaller than that of the specimen at the curing age of 3 d.
- (3)
- The cracks of the specimen at the curing age of 14 d appeared from the bottom and extended upward. Although the cracks did not run through the specimen on the surface, the tensile strength dropped to a certain low value. After the specimen was removed from the press machine, the specimen did not break into two parts. The crack width of the specimen at the curing age of 14 d was smaller than that of the specimen at the curing ages of 3 d and 7 d.
- (4)
- The specimen at the curing age of 28 d had the same failure mode as that at the curing age of 14 d. That is, the cracks did not run through the specimen on the surface. The cracks of the specimen at the curing age of 28 d were generated from the bottom. With the increase in axial force, the cracks developed and extended upwards. During the extension of the cracks, an audible sound was produced.
3.2.2. Effect of Different Nano-SiO2 Dosages on Tensile Strength of Specimens
3.2.3. Impact of Different Curing Ages on Tensile Strength of Specimens
3.3. Shear Strength Tests
3.3.1. Shear Failure Mode
- (1)
- With the increase in load, cracks in the specimen at the curing age of 3 d were generated along the shear angle. When the cracks developed to the bottom of the specimen, the cracks bifurcated; one crack continued to develop along the shear angle, while the other one developed to the specimen’s corners. Through the development of cracks along the shear angle, a large number of small cracks were generated on the upper part, especially at the corners of the specimen. Finally, the specimen was penetrated by the cracks, while the integrity of the specimen was maintained.
- (2)
- The specimen at the curing age of 7 d was not damaged along the shear angle. With the increase in load, a large number of small cracks were initiated in the upper part of the specimen, and a peeling phenomenon occurred; the cracks at the specimen edge expanded with the increase in load, and ultimately, the edge of the specimen fell off.
- (3)
- The cracks in the specimen at the curing age of 14 d were developed from the position of the fixture gasket (the edge of the specimen). With the increase in load, the cracks gradually expanded and had a significant effect on the specimen. The surface of the specimen began to buckle and has a tendency to fall off; the specimen edges were gradually broken, but the edges did not fall off.
- (4)
- The penetration crack of the specimen at the curing age of 28 d did not develop along the shear angle, and the two cracks penetrated the whole specimen at a certain angle with the shear angle. During the process of crack development, a loud sound was emitted from the specimen twice in succession; at the same time, the specimen was penetrated and the upper corners of the specimen were crushed, while the integrity of the specimen was still maintained, and no fragments fell off.
3.3.2. The Effect of Different Nano-SiO2 Dosages on Shear Strength of Specimens
3.3.3. Influence of Curing Age on Shear Strength of Specimens
4. Conclusions
- (1)
- The compressive strength of cemented materials modified by nanocomposite fibers increases with the increase in nano-SiO2 dosage at a curing age of 7 d. The specimen containing 1% nano-SiO2 has a peak compressive strength which is 84% higher than that of cemented materials only reinforced with glass fibers. When 1% nano-SiO2 is added, the tensile strength of the specimen at the curing age of 28 d is significantly improved, which is 82% higher than that of the cemented material only reinforced with glass fiber. When 1% nano-SiO2 is added, the shear strength of the specimens at the curing age of 28 d under the shear angles of 40°, 50°, and 60° reaches its peak, with a large slope and the fastest increase in shear strength. Among them, the shear strength of the cemented materials modified by nanocomposite fibers under a shear angle of 40° increases by 142% compared to those only reinforced with glass fibers.
- (2)
- When 1% nano-SiO2 is added to cemented material, the relationship between the growth of compressive strength and curing ages is linearly correlated with a quadratic polynomial. The tensile strength and curing age of specimens with a nano-SiO2 dosage of 0%, 0.1%, and 0.5% are linearly correlated with quadratic polynomials, with a fitting degree R2 of 0.9999 for specimens containing 1% nano-SiO2. The shear strength, shear angle, and curing age of cemented materials modified by nanocomposite fibers exhibit a cubic polynomial relationship, with a fitting degree of 96%.
Author Contributions
Funding
Data Availability Statement
Acknowledgments
Conflicts of Interest
References
- Enerdata. Global Energy Statistical Yearbook; Enerdata: Grenoble, France, 2018. [Google Scholar]
- Amrani, M.; Taha, Y.; El Haloui, Y.; Benzaazoua, M.; Hakkou, R. Sustainable Reuse of Coal Mine Waste: Experimental and Economic Assessments for Embankments and Pavement Layer Applications in Morocco. Minerals 2020, 10, 851. [Google Scholar] [CrossRef]
- Gu, C.; Li, Y. Study on progress in comprehensive utilization of coal based solid waste. Coal Chem. 2020, 43, 98–101+106. [Google Scholar]
- Zhou, N.; Yao, Y.N.; Song, W.J.; He, Z.W.; Meng, G.H.; Liu, Y. Present situation and prospect of coal gangue treatment technology. J. Min. Saf. Eng. 2020, 37, 136–146. [Google Scholar]
- Zhang, J.X.; Ju, Y.; Zhang, Q.; Ju, F.; Xiao, X.; Zhang, W.Q.; Zhou, N.; Li, M. Low ecological environment damage technology and method in coal mines. J. Min. Rock Control. Eng. 2019, 1, 56–68. [Google Scholar]
- Zhang, J.X.; Zhou, N.; Gao, F.; Yan, H. Method of gangue grouting filling in subsequent space of coal mining. Coal J. 2023, 48, 150–162. [Google Scholar]
- Du, J.L. Characteristics of coal gangue in Ximing Coal Mine and its significance of resource utilization. China Coal Geol. 2021, 33, 26–30+77. [Google Scholar]
- Gele, J.R.; Zhao, R. Selection of unloading position for automatic waste discharging of truck transport based on EDEM. Coal Eng. 2021, 53, 91–95. [Google Scholar]
- Fall, M.; Adrien, D.; Celestin, J.C.; Pokharel, M.; Toure, M. Saturated hydraulic conductivity of cemented paste backfill. Miner. Eng. 2009, 22, 1307–1317. [Google Scholar] [CrossRef]
- Gao, Y. Industrial graphene oxide-fly ash hybrid for high-performance cemented waste rock backfill. Constr. Build. Mater. 2022, 359, 129484. [Google Scholar] [CrossRef]
- Edraki, M.; Baumgartl, T.; Manlapig, E.; Bradshaw, D.; Franks, D.M.; Moran, C.J. Designing mine tailings for better environmental, social and economic outcomes: A review of alternative approaches. J. Clean. Prod. 2014, 84, 411–420. [Google Scholar] [CrossRef]
- Qi, C.; Andy, F. Cemented paste backfill for mineral tailings management: Review and future perspectives. Miner. Eng. 2019, 144, 106025. [Google Scholar] [CrossRef]
- Xue, G.; Yilmaz, E.; Song, W.; Cao, S. Compressive Strength Characteristics of Cemented Tailings Backfill with Alkali-Activated Slag. Appl. Sci. 2018, 8, 1537. [Google Scholar] [CrossRef]
- Yan, B.X.; Zhu, W.C.; Hou, C.; Yilmaz, E.; Saadat, M. Characterization of early age behavior of cemented paste backfill through the magnitude and frequency spectrum of ultrasonic P-wave. Constr. Build. Mater. 2020, 249, 118733. [Google Scholar] [CrossRef]
- Qin, L.; Gao, X.J.; Li, W.G.; Ye, H. Modification of Magnesium Oxysulfate Cement by Incorporating Weak Acids. J. Mater. Civ. Eng. 2018, 30, 04018209. [Google Scholar] [CrossRef]
- Azarsa, P.; Gupta, R.; Biparva, A. Inventive Microstructural and Durability Investigation of Cementitious Composites Involving Crystalline Waterproofing Admixtures and Portland Limestone Cement. Materials 2020, 13, 1425. [Google Scholar] [CrossRef] [PubMed]
- Cheng, Q.Q. Study on Mechanical Properties of Fly Ash Cement Treated Marine Clay; China University of Mining and Technology: Beijing, China, 2018. [Google Scholar]
- Yin, Q.X.; Zhao, W.P.; Hou, M.J.; Du, J.M.; Cheng, Q.Q. Experimental Research on the Corrosion Resistance of Silica Fume to Concrete. Concr. Cem. Prod. 2021, 4, 23–26. [Google Scholar]
- Rybak, J.; Kongar-Syuryun, C.; Tyulyaeva, Y.; Khayrutdinov, A.M. Creation of Backfill Materials Based on Industrial Waste. Minerals 2021, 11, 739. [Google Scholar] [CrossRef]
- Kongar-Syuryun, C.; Faradzhov, V.V.; Tyulyaeva, Y.S.; Khayrutdinov, A.M. Effect of activating treatment of halite flotation waste in backfill mixture preparation. Min. Inf. Anal. Bull. 2021, 2021, 43–57. [Google Scholar] [CrossRef]
- Khayrutdinov, A.; Kongar-Syuryun, C.; Kowalik, T.; Faradzhov, V. Improvement of the backfilling characteristics by activation of halite enrichment waste for non-waste geotechnology. IOP Conf. Ser. Mater. Sci. Eng. 2020, 867, 012018. [Google Scholar] [CrossRef]
- Wang, A.S.; Cao, S.; Yilmaz, E. Influence of types and contents of nano cellulose materials as reinforcement on stability performance of cementitious tailings backfill. Constr. Build. Mater. 2022, 344, 128179. [Google Scholar] [CrossRef]
- Behera, S.K.; Mishra, D.P.; Singh, P.; Mishra, K.; Mandal, S.K.; Ghosh, C.N.; Kumar, R.; Mandal, P.K. Utilization of mill tailings, fly ash and slag as mine paste backfill material: Review and future perspective. Constr. Build. Mater. 2021, 309, 125120. [Google Scholar] [CrossRef]
- Ouffa, N.; Trauchessec, R.; Benzaazoua, M.; Lecomte, A.; Belem, T. A methodological approach applied to elaborate alkali-activated binders for mine paste backfills. Cem. Concr. Compos. 2022, 127, 104381. [Google Scholar] [CrossRef]
- Aslani, F.; Dehghani, A.; Wang, L. The effect of hollow glass microspheres, carbon nanofibers and activated carbon powder on mechanical and dry shrinkage performance of ultra-lightweight engineered cementitious composites. Constr. Build. Mater. 2021, 280, 122415. [Google Scholar] [CrossRef]
- Farzadnia, N.; Bahmani, S.H.; Asadi, A.; Hosseini, S. Mechanical and microstructural properties of cement pastes with rice husk ash coated with carbon nanofibers using a natural polymer binder. Constr. Build. Mater. 2018, 175, 691–704. [Google Scholar] [CrossRef]
- Fonseca, C.S.; Silva, M.F.; Mendes, R.F.; Hein, P.R.G.; Zangiacomo, A.L.; Savastano, H.; Tonoli Jute, G.H.D. Fibers and micro/nanofibrils as reinforcement in extruded fiber-cement composites. Constr. Build. Mater. 2019, 211, 517–527. [Google Scholar] [CrossRef]
- Ghasabkolaei, N.; Choobbasti, A.J.; Roshan, N. Geotechnical properties of the soils modified with nanomaterials: A comprehensive review. Arch. Civ. Mech. Eng. 2017, 17, 639–650. [Google Scholar] [CrossRef]
- Jha, K.K. An Energy Based Nanomechanical Properties Evaluation Method for Cementitious Materials. Ph.D. Thesis, Florida International University, Miami, FL, USA, 2012. [Google Scholar]
- Wang, L.L.; Lin, X. Mechanical Properties and Micromechanism of Concrete Modified by Carbon Nanofibers. Concr. Cem. Prod. 2020, 1, 51–54. [Google Scholar]
- Girimurugan, R.; Arunraja, K.M.; Shanmugam, A.; Saranya, S.; Vigneshwaran, M. The effects of nano-alumina particles on the enrichment of tensile, flexural and impact properties of carbon fiber-reinforced epoxy composites. Mater. Today Proc. 2023, in press. [Google Scholar] [CrossRef]
- Ermolovich, E.A.; Ivannikov, A.L.; Khayrutdinov, M.M.; Kongar-Syuryun, C.B.; Tyulyaeva, Y.S. Creation of a Nanomodified Backfill Based on the Waste from Enrichment of Water-Soluble Ores. Materials 2022, 15, 3689. [Google Scholar] [CrossRef]
- Alzoubi, H.H.; Albiss, B.A.; Abu, S.S. Performance of cementitious composites with nano PCMs and cellulose nano fibers. Constr. Build. Mater. 2020, 236, 117483. [Google Scholar] [CrossRef]
- Du, H. Properties of ultra-lightweight cement composites with nano-silica. Constr. Build. Mater. 2019, 199, 696–704. [Google Scholar] [CrossRef]
- Hisseine, O.A.; Basic, N.; Omran, A.F.; Hamou, A.T. Feasibility of using cellulose filaments as a viscosity modifying agent in self-consolidating concrete. Cem. Concr. Compos. 2018, 94, 327–340. [Google Scholar] [CrossRef]
- Chen, X.; Shi, X.; Zhou, J. Compressive behavior and microstructural properties of tailings polypropylene fibre-reinforced cemented paste backfill. Constr. Build. Mater. 2018, 190, 211–221. [Google Scholar] [CrossRef]
- Liu, Z.K.; Wang, Z.J.; Zhu, W.Q. Effect of Nano-SiO2 on Mechanical Properties of Early Negative Temperature Concrete. Sci. Technol. Eng. 2022, 22, 8446–8451. [Google Scholar]
- Leonidovich, G.A.; Alekseevna, P.M.; Myo, H.K.; Vasilievich, B.S.; Nikolaevich, K.I. Nano-Modification of Concrete with Slurries Using Ultra-Jet Technology. Key Eng. Mater. 2021, 6211, 263–270. [Google Scholar]
- Zhang, X.; Zhang, P.; Wang, T.; Zheng, Y.; Qiu, L.; Sun, S. Compressive strength and anti-chloride ion penetration assessment of geopolymer mortar merging PVA fiber and nano-SiO2 using RBF-BP composite neural network. Nanotechnol. Rev. 2022, 11, 1181–1192. [Google Scholar] [CrossRef]
- Alrekabi, S.; Cundy, A.B.; Lampropoulos, A.; Whitby, R.L.D.; Savina, I. Mechanical performance of novel cement-based composites prepared with nano-fibres, and hybrid nano- and micro fibres. Compos. Struct. 2017, 178, 145–156. [Google Scholar] [CrossRef]
- Zhu, C.L.; Zhang, J.X.; Zhou, N.; Li, M.; He, Z.W.; Fu, G.Y. Effects of Doping Glass Fibers on the Early Strength of Sand-Based Cemented Paste Backfill for Solid Wastes Disposal in a Coal Mine. Adv. Civ. Eng. 2021, 2021, 5554941. [Google Scholar] [CrossRef]
- GB1596-91; Fly Ash Used for Cement and Concrete. China National Standardization Administrative Committee: Beijing, China, 2017.
- Guo, Y.B. Research on Properties of Coal-Based Solid Waste Nanocomposite Fiber Cementitious Materials; China University of Mining and Technology: Beijing, China, 2022. [Google Scholar]
- Wei, H.B.; Ba, L.; Gao, Q. Study on the Influence Law of Fly Ash Content on the Strength of Cemented Backfill. Min. Res. Dev. 2020, 40, 28–32. [Google Scholar]
- Ouyang, S.Y. Cemented Filling Materials Properties Optimization of Sand-Based Study on Transportation and Mechanical; China University of Mining and Technology: Beijing, China, 2019. [Google Scholar]
- Ghafari, E.; Ghahari, S.A.; Feng, Y.; Severgnini, F.; Lu, N. Effect of Zinc oxide and Al-Zinc oxide nanoparticles on the rheological properties of cement paste. J. Compos. Part B Eng. 2016, 105, 160–166. [Google Scholar] [CrossRef]
- Zhang, A.; Yang, W.C.; Ge, Y.; Du, Y.B.; Liu, P.H. Effects of nano-SiO2 and nano-Al2O3 on mechanical and durability properties of cement-based materials: A comparative study. J. Build. Eng. 2021, 34, 101936. [Google Scholar] [CrossRef]
- GB/T 50081-2019; Standard for Test Methods of Concrete Physical and Mechanical Properties. Ministry of Housing and Urban-Rural Development: Beijing, China, 2019.
- JGJ/T 70-2009; Standard for Test Method of Performance on Building Mortar. Ministry of Housing and Urban-Rural Development: Beijing, China, 2009.
- Munda, J.; Ram, A.K.; Mohanty, R.S. Small-Strain Shear Modulus and Strength Characteristics of Clayey Soil Treated with Nano-SiO2 and Fly Ash. Int. J. Civ. Eng. 2023. [Google Scholar] [CrossRef]






















| Serial Number | Instrument/Equipment Name | Manufacturer | Model/Specification |
|---|---|---|---|
| 1 | Electro-hydraulic servo press | Changchun Xinte Testing machine of China (Changchun, China) | WAW-1000D |
| 2 | XRD | Dandong Tongda of China (Dandong, China) | D8ADVANCE |
| 3 | Jaw crusher | Henan Baichen Machine of China (Xingyang, China) | PE-100X125 |
| 4 | Standard maintenance box | Nanjing Jinrui Testing of China (Nanjing, China) | JR-YX40 |
| 5 | Multifunctional stirrer | Yongning Hongkang Trading Company of China (Hong Kong, China) | LANG-8828 |
| Material | Non-Alkali Glass Fiber | Fiber Type | Bundled Monofilament |
|---|---|---|---|
| Specification | 6 mm | Fiber density | 2.699 g/cm2 |
| Tensile strength | ≥2000 Mpa | Elongation at break | ≥2.5 |
| Tensile modulus of elasticity | ≥85 GPa | Fiber diameter | 17.4 μm |
| Acid and alkali resistance | polar altitude | Melting point | 750 °C |
| Material | SiO2 | Average Particle Size | 20 nm |
|---|---|---|---|
| Specific Surface Area | 240 m2/g | Bulk density | 0.06 g/cm3 |
| Density | 2.2~2.6 g/cm3 | Crystal type | Ball shape |
| Color | White | Purity | ≥99.99% |
| Maintenance Age/d | Nano-SiO2 Doping | Mechanical Test | Quantities | ||
|---|---|---|---|---|---|
| 3 d | 0% 0.1% 0.5% 1% | Compressive | Tensile | Shear | 60 |
| 3 | 3 | 9 | |||
| 7 d | 0% 0.1% 0.5% 1% | Compressive | Tensile | Shear | 60 |
| 3 | 3 | 9 | |||
| 14 d | 0% 0.1% 0.5% 1% | Compressive | Tensile | Shear | 60 |
| 3 | 3 | 9 | |||
| 28 d | 0% 0.1% 0.5% 1% | Compressive | Tensile | Shear | 60 |
| 3 | 3 | 9 | |||
| Maintenance Age | Shear Strength/MPa | ||
|---|---|---|---|
| 40° | 50° | 60° | |
| 3 d | 0.62 | 0.32 | 0.207 |
| 7 d | 1.50 | 1.11 | 0.544 |
| 14 d | 2.26 | 1.69 | 1.296 |
| 28 d | 2.30 | 2.27 | 1.294 |
Disclaimer/Publisher’s Note: The statements, opinions and data contained in all publications are solely those of the individual author(s) and contributor(s) and not of MDPI and/or the editor(s). MDPI and/or the editor(s) disclaim responsibility for any injury to people or property resulting from any ideas, methods, instructions or products referred to in the content. |
© 2023 by the authors. Licensee MDPI, Basel, Switzerland. This article is an open access article distributed under the terms and conditions of the Creative Commons Attribution (CC BY) license (https://creativecommons.org/licenses/by/4.0/).
Share and Cite
Cheng, Q.; Wang, H.; Guo, Y.; Du, B.; Yin, Q.; Zhang, L.; Yao, Y.; Zhou, N. Experimental Study on Mechanical Properties of Coal-Based Solid Waste Nanocomposite Fiber Cementitious Backfill Material. Materials 2023, 16, 5314. https://doi.org/10.3390/ma16155314
Cheng Q, Wang H, Guo Y, Du B, Yin Q, Zhang L, Yao Y, Zhou N. Experimental Study on Mechanical Properties of Coal-Based Solid Waste Nanocomposite Fiber Cementitious Backfill Material. Materials. 2023; 16(15):5314. https://doi.org/10.3390/ma16155314
Chicago/Turabian StyleCheng, Qiangqiang, Haodong Wang, Yaben Guo, Bin Du, Qixiang Yin, Linglei Zhang, Yue Yao, and Nan Zhou. 2023. "Experimental Study on Mechanical Properties of Coal-Based Solid Waste Nanocomposite Fiber Cementitious Backfill Material" Materials 16, no. 15: 5314. https://doi.org/10.3390/ma16155314
APA StyleCheng, Q., Wang, H., Guo, Y., Du, B., Yin, Q., Zhang, L., Yao, Y., & Zhou, N. (2023). Experimental Study on Mechanical Properties of Coal-Based Solid Waste Nanocomposite Fiber Cementitious Backfill Material. Materials, 16(15), 5314. https://doi.org/10.3390/ma16155314
