Study of Ni/Y2O3/Polylactic Acid Composite
Abstract
1. Introduction
2. Materials and Methods
2.1. Materials
2.2. Nanocomposite Particle Synthesis
2.2.1. Ultrasound Spray Pyrolysis
2.2.2. Lyophilisation
2.3. Composite Preparation
2.3.1. Extrusion Process
2.3.2. Injection Moulding
2.4. Nanocomposite Characterisation Methods
2.4.1. Transmission Electron Microscopy
2.4.2. Viscosity and Drying Times
2.5. PLA Ni/Y2O3 Composite Characterisation Methods
2.5.1. Mechanical Properties
2.5.2. Scanning Electron Microscopy
3. Results and Discussion
3.1. Transmission Electron Microscopy
3.2. Viscosity and Drying Time
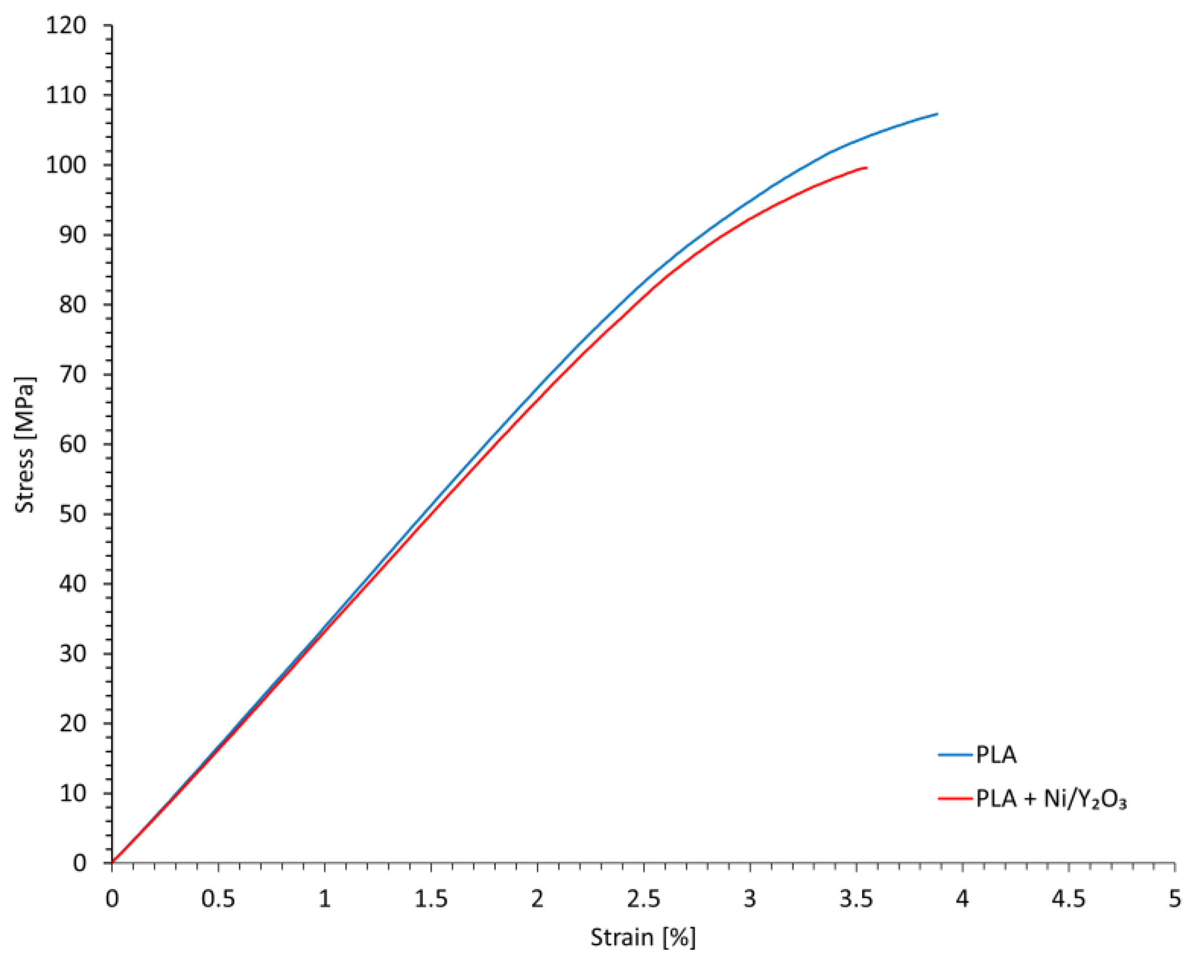
3.3. Mechanical Properties
3.4. Scanning Electron Microscopy
4. Conclusions
- The USP method proved to be a highly effective green chemistry approach in the successful synthesis of Ni/Y2O3 nanocomposite particles.
- The use of modified, previously presented equations, allowed for accurate size prediction of the nanoparticle synthesised by USP, which was confirmed by TEM analysis.
- The presence of the Y2O3 core and Ni shell was confirmed with TEM and electron diffraction.
- The proper concentration of PVP (5 g/L) in the Ni/Y2O3 nanoparticle suspension before lyophilisation leads to optimal cryostabilisation effects, stabilisation effects and drying times.
- The PLA/Ni/Y2O3 composite material was extruded successfully, so that it was possible to prepare flexural samples by injection moulding.
- The addition of Ni/Y2O3 into a PLA matrix has minimal effect on its flexural properties, with the strain-stress curve of PLA/Ni/Y2O3 being similar to that of pure PLA.
- The Ni/Y2O3 particles were practically uniformly distributed throughout the entire volume of the PLA matrix.
Author Contributions
Funding
Data Availability Statement
Acknowledgments
Conflicts of Interest
Abbreviations
References
- Veleva, L.; Diaz-Ballote, L.; Wipf, D.O. An In Situ Electrochemical Study of Electrodeposited Nickel and Nickel-Yttrium Oxide Composite Using Scanning Electrochemical Microscopy. J. Electrochem. Soc. 2003, 150, C1. [Google Scholar] [CrossRef]
- Adekoya, J.A.; Ogunniran, K.O.; Siyanbola, T.O.; Dare, E.O.; Revaprasadu, N. Band Structure, Morphology, Functionality, and Size- Dependent Properties of Metal Nanoparticles. In Noble and Precious Metals—Properties, Nanoscale Effects and Applications; Seehra, M.S., Bristow, A.D., Eds.; IntechOpen: London, UK, 2018; pp. 15–42. [Google Scholar]
- Hamidi, R.; Ghasemi, S.; Hosseini, S.R. Ultrasonic Assisted Synthesis of Ni3(VO4)2-Reduced Graphene Oxide Nanocomposite for Potential Use in Electrochemical Energy Storage. Ultrason. Sonochem. 2020, 62, 104869. [Google Scholar] [CrossRef] [PubMed]
- Lou, B.S.; Rajaji, U.; Chen, S.M.; Chen, T.W. A Simple Sonochemical Assisted Synthesis of NiMoO4/Chitosan Nanocomposite for Electrochemical Sensing of Amlodipine in Pharmaceutical and Serum Samples. Ultrason. Sonochem. 2020, 64, 104827. [Google Scholar] [CrossRef] [PubMed]
- Abdullah, B.; Abd Ghani, N.A.; Vo, D.V.N. Recent Advances in Dry Reforming of Methane over Ni-Based Catalysts. J. Clean. Prod. 2017, 162, 170–185. [Google Scholar] [CrossRef]
- Aramouni, N.A.K.; Touma, J.G.; Tarboush, B.A.; Zeaiter, J.; Ahmad, M.N. Catalyst Design for Dry Reforming of Methane: Analysis Review. Renew. Sustain. Energy Rev. 2018, 82, 2570–2585. [Google Scholar] [CrossRef]
- Abdulrasheed, A.; Jalil, A.A.; Gambo, Y.; Ibrahim, M.; Hambali, H.U.; Shahul Hamid, M.Y. A Review on Catalyst Development for Dry Reforming of Methane to Syngas: Recent Advances. Renew. Sustain. Energy Rev. 2019, 108, 175–193. [Google Scholar] [CrossRef]
- Islam, M.H.; Burheim, O.S.; Pollet, B.G. Sonochemical and Sonoelectrochemical Production of Hydrogen. Ultrason. Sonochem. 2019, 51, 533–555. [Google Scholar] [CrossRef]
- Sun, G.B.; Hidajat, K.; Wu, X.S.; Kawi, S. A Crucial Role of Surface Oxygen Mobility on Nanocrystalline Y2O3 Support for Oxidative Steam Reforming of Ethanol to Hydrogen over Ni/Y2O3 Catalysts. Appl. Catal. B Environ. 2008, 81, 303–312. [Google Scholar] [CrossRef]
- Li, Y.; Men, Y.; Liu, S.; Wang, J.; Wang, K.; Tang, Y.; An, W.; Pan, X.; Li, L. Remarkably Efficient and Stable Ni/Y2O3 Catalysts for CO2 Methanation: Effect of Citric Acid Addition. Appl. Catal. B Environ. 2021, 293, 120206. [Google Scholar] [CrossRef]
- Taherian, Z.; Khataee, A.; Orooji, Y. Facile Synthesis of Yttria-Promoted Nickel Catalysts Supported on MgO-MCM-41 for Syngas Production from Greenhouse Gases. Renew. Sustain. Energy Rev. 2020, 134, 110130. [Google Scholar] [CrossRef]
- Guo, K.; Li, H.; Yu, Z. Size-Dependent Catalytic Activity of Monodispersed Nickel Nanoparticles for the Hydrolytic Dehydrogenation of Ammonia Borane. ACS Appl. Mater. Interfaces 2018, 10, 517–525. [Google Scholar] [CrossRef] [PubMed]
- Rahemi Ardekani, S.; Sabour Rouh Aghdam, A.; Nazari, M.; Bayat, A.; Yazdani, E.; Saievar-Iranizad, E. A Comprehensive Review on Ultrasonic Spray Pyrolysis Technique: {Mechanism}, Main Parameters and Applications in Condensed Matter. J. Anal. Appl. Pyrolysis 2019, 141, 104631. [Google Scholar] [CrossRef]
- Li, C.; Hsieh, J.H.; Hung, M.; Huang, B.Q.; Song, Y.L.; Denayer, J.; Aubry, P.; Bister, G.; Spronck, G.; Colson, P.; et al. Ultrasonic Spray Pyrolysis for Nanoparticles Synthesis. J. Mater. Sci. 2004, 9, 3647–3657. [Google Scholar]
- Švarc, T.; Stopić, S.; Jelen, Ž.; Zadravec, M.; Friedrich, B.; Rudolf, R. Synthesis of Ni/Y2O3 Nanocomposite through USP and Lyophilisation for Possible Use as Coating. Materials 2022, 15, 2856. [Google Scholar] [CrossRef]
- Majerič, P.; Rudolf, R. Advances in Ultrasonic Spray Pyrolysis Processing of Noble Metal Nanoparticles-Review. Materials 2020, 13, 3485. [Google Scholar] [CrossRef]
- Alkan, G.; Košević, M.; Mihailović, M.; Stopic, S.; Friedrich, B.; Stevanović, J.; Panić, V. Characterization of Defined Pt Particles Prepared by Ultrasonic Spray Pyrolysis for One-Step Synthesis of Supported ORR Composite Catalysts. Metals 2022, 12, 290. [Google Scholar] [CrossRef]
- Shih, S.J.; Tzeng, W.L.; Jatnika, R.; Shih, C.J.; Borisenko, K.B. Control of Ag Nanoparticle Distribution Influencing Bioactive and Antibacterial Properties of Ag-Doped Mesoporous Bioactive Glass Particles Prepared by Spray Pyrolysis. J. Biomed. Mater. Res.—Part B Appl. Biomater. 2015, 103, 899–907. [Google Scholar] [CrossRef]
- Golub, D.; Ivanič, A.; Majerič, P.; Tiyyagura, H.R.; Anžel, I.; Rudolf, R. Synthesis of Colloidal Au Nanoparticles through Ultrasonic Spray Pyrolysis and Their Use in the Preparation of Polyacrylate-AuNPs’ Composites. Materials 2019, 12, 3775. [Google Scholar] [CrossRef]
- Shariq, M.; Marić, N.; Gorše, G.K.; Kargl, R.; Rudolf, R. Synthesis of Gold Nanoparticles with Ultrasonic Spray Pyrolysis and Its Feasibility for Ink-Jet Printing on Paper. Micro Nanosyst. 2018, 10, 102–109. [Google Scholar] [CrossRef]
- Majerič, P.; Jenko, D.; Friedrich, B.; Rudolf, R. Formation of Bimetallic Fe/Au Submicron Particles with Ultrasonic Spray Pyrolysis. Metals 2018, 8, 278. [Google Scholar] [CrossRef]
- Jelen, Ž.; Majerič, P.; Zadravec, M.; Anžel, I.; Rakuša, M.; Rudolf, R. Study of Gold Nanoparticles’ Preparation through Ultrasonic Spray Pyrolysis and Lyophilisation for Possible Use as Markers in LFIA Tests. Nanotechnol. Rev. 2021, 10, 1978–1992. [Google Scholar] [CrossRef]
- Rudolf, R.; Majerič, P.; Štager, V.; Albreht, B. The Process of Production Gold Nanoparticles with Modified Ultrasonic Spray Pyrolysis. Patent No. P-202000079, 5 May 2020. [Google Scholar]
- Majerič, P.; Jenko, D.; Friedrich, B.; Rudolf, R. Formation Mechanisms for Gold Nanoparticles in a Redesigned Ultrasonic Spray Pyrolysis. Adv. Powder Technol. 2017, 28, 876–883. [Google Scholar] [CrossRef]
- Bang, J.H.; Suslick, K.S. Applications of Ultrasound to the Synthesis of Nanostructured Materials. Adv. Mater. 2010, 22, 1039–1059. [Google Scholar] [CrossRef] [PubMed]
- Shih, S.J.; Wu, Y.Y.; Chen, C.Y.; Yu, C.Y. Morphology and Formation Mechanism of Ceria Nanoparticles by Spray Pyrolysis. J. Nanopart. Res. 2012, 14, 879. [Google Scholar] [CrossRef]
- Winkler, N.; Wibowo, R.A.; Kautek, W.; Dimopoulos, T. Influence of the Aqueous Solution Composition on the Morphology of Zn1−xMgxO Films Deposited by Spray Pyrolysis. J. Mater. Chem. C 2019, 7, 3889–3900. [Google Scholar] [CrossRef]
- Wright, L.D.; Lowe, J.C.; Bliss, M.; Tsai, V.; Togay, M.; Betts, T.R.; Walls, J.M.; Malkov, A.V.; Bowers, J.W. Water Based Spray Pyrolysis of Metal-Oxide Solutions for Cu2ZnSn(S,Se)4 Solar Cells Using Low Toxicity Amine/Thiol Complexants. Thin Solid Films 2019, 669, 588–594. [Google Scholar] [CrossRef]
- Varničić, M.; Pavlović, M.M.; Pantović, S.E.; Mihailović, M.; Pantović Pavlović, M.R.; Stopić, S.; Friedrich, B. Spray-Pyrolytic Tunable Structures of Mn Oxides-Based Composites for Electrocatalytic Activity Improvement in Oxygen Reduction. Metals 2022, 12, 22. [Google Scholar] [CrossRef]
- Stopić, S.; Ilić, I.; Uskoković, D. Structural and Morphological Transformations during NiO and Ni Particles Generation from Chloride Precursor by Ultrasonic Spray Pyrolysis. Mater. Lett. 1995, 24, 369–376. [Google Scholar] [CrossRef]
- Özcelik, D.Y.; Ebin, B.; Stopic, S.; Gürmen, S.; Friedrich, B. Mixed Oxides NiO/ZnO/Al2O3 Synthesized in a Single Step via Ultrasonic Spray Pyrolysis (USP) Method. Metals 2022, 12, 73. [Google Scholar] [CrossRef]
- Trenkenschuh, E.; Friess, W. Freeze-Drying of Nanoparticles: How to Overcome Colloidal Instability by Formulation and Process Optimization. Eur. J. Pharm. Biopharm. 2021, 165, 345–360. [Google Scholar] [CrossRef]
- Chen, G.; Wang, W. Role of Freeze Drying in Nanotechnology. Dry. Technol. 2007, 25, 29–35. [Google Scholar] [CrossRef]
- Takenaka, S.; Shimizu, T.; Otsuka, K. Complete Removal of Carbon Monoxide in Hydrogen-Rich Gas Stream through Methanation over Supported Metal Catalysts. Int. J. Hydrogen Energy 2004, 29, 1065–1073. [Google Scholar] [CrossRef]
- Hasan, M.; Asakoshi, T.; Muroyama, H.; Matsui, T.; Eguchi, K. CO2 methanation Mechanism over Ni/Y2O3: Anin Situdiffuse Reflectance Infrared Fourier Transform Spectroscopic Study. Phys. Chem. Chem. Phys. 2021, 23, 5551–5558. [Google Scholar] [CrossRef] [PubMed]
- Wang, B. Recent Development of Non-Platinum Catalysts for Oxygen Reduction Reaction. J. Power Sources 2005, 152, 1–15. [Google Scholar] [CrossRef]
- Ouyang, W.; Xu, X.; Lu, W.; Zhao, N.; Han, F.; Chen, S.C. Ultrafast 3D Nanofabrication via Digital Holography. Nat. Commun. 2023, 14, 1716. [Google Scholar] [CrossRef]
- Fateixa, S.; Landauer, M.; Schneider, J.; Kumar, S.; Böhm, R. Additive Manufacturing-Enabled Architected Nanocomposite Lattices Coated with Plasmonic Nanoparticles for Water Pollutants Detection. Macromol. Mater. Eng. 2023, 2300060, 1–17. [Google Scholar] [CrossRef]
- Lano, J. Ultrasonic Atomization of Liquids. Acustica 1962, 341, 28–30. [Google Scholar]
- Dittrich, R.; Stopić, S.; Friedrich, B. Mechanism of Nanogold Formation by Ultrasonic Spray Pyrolysis. In Proceedings of the European Metallurgical Conference, EMC 2011, Düsseldorf, Germany, 26–29 June 2011; Volume 3. [Google Scholar]
- Amis, T.M.; Renukuntla, J.; Bolla, P.K.; Clark, B.A. Selection of Cryoprotectant in Lyophilization of Progesterone-Loaded Stearic Acid Solid Lipid Nanoparticles. Pharmaceutics 2020, 12, 892. [Google Scholar] [CrossRef]
- Dzimitrowicz, A.; Jamroz, P.; Greda, K.; Nowak, P.; Nyk, M.; Pohl, P. The Influence of Stabilizers on the Production of Gold Nanoparticles by Direct Current Atmospheric Pressure Glow Microdischarge Generated in Contact with Liquid Flowing Cathode. J. Nanoparticle Res. 2015, 17, 185. [Google Scholar] [CrossRef]
- Abdelwahed, W.; Degobert, G.; Stainmesse, S.; Fessi, H. Freeze-Drying of Nanoparticles: Formulation, Process and Storage Considerations. Adv. Drug Deliv. Rev. 2006, 58, 1688–1713. [Google Scholar] [CrossRef]
- ISO 178:2019; Plastics—Determination of Flexural Properties. International Organization for Standardization: Geneva, Switzerland, 2019.
- Schneider, C.A.; Rasband, W.S.; Eliceiri, K.W. NIH Image to ImageJ: 25 Years of Image Analysis. Nat. Methods 2012, 9, 671–675. [Google Scholar] [CrossRef]
- Martin, K.; McCarthy, G. PDF 00-041-1105, From PDF* 2021 Database 2021.
- Arnipally, S.K.; Kuru, E. Settling Velocity of Particles in Viscoelastic Fluids: A Comparison of the Shear-Viscosity and Elasticity Effects. SPE J. 2018, 23, 1689–1705. [Google Scholar] [CrossRef]
- Krasnou, I.; Tarabukina, E.; Melenevskaya, E.; Filippov, A.; Aseyev, V.; Hietala, S.; Tenhu, H. Rheological Behavior of Poly(Vinylpyrrolidone)/Fullerene C60 Complexes in Aqueous Medium. J. Macromol. Sci. Part B 2008, 47, 500–510. [Google Scholar] [CrossRef]
- Singh, M.; Kumar, S. Viscometric Studies of Poly(N-Vinyl-2-Pyrrolidone) in Water and in Water and 0.01% Bovine Serum Albumin at 283.15, 288.15, 293.15, 298.15, 303.15, 308.15, and 313.15 K. J. Appl. Polym. Sci. 2003, 87, 1001–1015. [Google Scholar] [CrossRef]
- Méndez Diez, J. Thermoviscoplasticity of Glassy Polymers: Experimental Characterization, Parameter Identification and Model Validation; Institut fur Mechanik (Bauwesen): Stuttgart, Germany, 2010; Volume 22, ISBN 3937859101. [Google Scholar]
- Lin, C.; Liu, L.; Liu, Y.; Leng, J. 4D Printing of Bioinspired Absorbable Left Atrial Appendage Occluders: A Proof-of-Concept Study. ACS Appl. Mater. Interfaces 2021, 13, 12668–12678. [Google Scholar] [CrossRef] [PubMed]
- Zheng, B.; Deng, T.; Li, M.; Huang, Z.; Zhou, H.; Li, D. Flexural Behavior and Fracture Mechanisms of Short Carbon Fiber Reinforced Polyether-Ether-Ketone Composites at Various Ambient Temperatures. Polymers 2019, 11, 18. [Google Scholar] [CrossRef]
- Ishiaku, U.S.; Pang, K.W.; Lee, W.S.; Ishak, Z.A.M. Mechanical Properties and Enzymic Degradation of Thermoplastic and Granular Sago Starch Filled Poly(ε-Caprolactone). Eur. Polym. J. 2002, 38, 393–401. [Google Scholar] [CrossRef]
- Kim, S.; Lee, Y.; Kim, C.; Choi, S. Analysis of Mechanical Property Degradation of Outdoor Weather-Exposed Polymers. Polymers 2022, 14, 357. [Google Scholar] [CrossRef]
- Cruz, F.; Lanza, S.; Boudaoud, H.; Hoppe, S.; Camargo, M. Polymer Recycling and Additive Manufacturing in an Open Source Context: Optimization of Processes and Methods. In Proceedings of the 26th Annual International Solid Freeform Fabrication Symposium, ISSF 2015, Austin, TX, USA, 10–12 August 2020; pp. 1591–1600. [Google Scholar]
- Delva, L.; Ragaert, K.; Degrieck, J.; Cardon, L. The Effect of Multiple Extrusions on the Properties of Montmorillonite Filled Polypropylene. Polymers 2014, 6, 2912–2927. [Google Scholar] [CrossRef]
- Agüero, A.; del Morcillo, M.C.; Quiles-Carrillo, L.; Balart, R.; Boronat, T.; Lascano, D.; Torres-Giner, S.; Fenollar, O. Study of the Influence of the Reprocessing Cycles on the Final Properties of Polylactide Pieces Obtained by Injection Molding. Polymers 2019, 11, 1908. [Google Scholar] [CrossRef] [PubMed]








| Element | EDS 1 [at. %] | EDS 2 [at. %] | EDS 3 [at. %] |
|---|---|---|---|
| O | 54.09 ± 0.01 | 51.35 ± 0.01 | 57.95 ± 0.01 |
| Ni | 5.16 ± 0.04 | 7.19 ± 0.04 | 3.04 ± 0.04 |
| Y | 40.75 ± 0.01 | 41.46 | 39.01 ± 0.01 |
| Total | 100.00 | 100.00 | 100.00 |
| PVP Concentration [g/L] | Viscosity of H2O + PVP [mPa·s] | Viscosity of Ni/Y2O3 + H2O + PVP [mPa·s] |
|---|---|---|
| 0.0 | 0.80 ± 0.05 | 0.82 ± 0.04 |
| 2.5 | 0.90 ± 0.01 | 0.92 ± 0.04 |
| 5.0 | 0.98 ± 0.05 | 0.98 ± 0.04 |
| 10.0 | 1.10 ± 0.07 | 1.05 ± 0.06 |
| 20.0 | 1.36 ± 0.05 | 1.42 ± 0.13 |
| PVP Concentration [g/L] | Drying Time |
|---|---|
| 2.50 | 7 h 36 min |
| 5.00 | 9 h 06 min |
| 10.00 | 9 h 30 min |
| 20.00 | 9 h 48 min |
| PLA | PLA/Ni/Y2O3 | |
|---|---|---|
| Flexural strength [MPa] | 106.37 ± 1.31 | 97.28 ± 2.74 |
| Flexural stress at break [MPa] | 106.37 ± 1.31 | 97.28 ± 2.74 |
| Strain at break [%] | 3.7 ± 0.18 | 3.3 ± 0.23 |
Disclaimer/Publisher’s Note: The statements, opinions and data contained in all publications are solely those of the individual author(s) and contributor(s) and not of MDPI and/or the editor(s). MDPI and/or the editor(s) disclaim responsibility for any injury to people or property resulting from any ideas, methods, instructions or products referred to in the content. |
© 2023 by the authors. Licensee MDPI, Basel, Switzerland. This article is an open access article distributed under the terms and conditions of the Creative Commons Attribution (CC BY) license (https://creativecommons.org/licenses/by/4.0/).
Share and Cite
Švarc, T.; Zadravec, M.; Jelen, Ž.; Majerič, P.; Kamenik, B.; Rudolf, R. Study of Ni/Y2O3/Polylactic Acid Composite. Materials 2023, 16, 5162. https://doi.org/10.3390/ma16145162
Švarc T, Zadravec M, Jelen Ž, Majerič P, Kamenik B, Rudolf R. Study of Ni/Y2O3/Polylactic Acid Composite. Materials. 2023; 16(14):5162. https://doi.org/10.3390/ma16145162
Chicago/Turabian StyleŠvarc, Tilen, Matej Zadravec, Žiga Jelen, Peter Majerič, Blaž Kamenik, and Rebeka Rudolf. 2023. "Study of Ni/Y2O3/Polylactic Acid Composite" Materials 16, no. 14: 5162. https://doi.org/10.3390/ma16145162
APA StyleŠvarc, T., Zadravec, M., Jelen, Ž., Majerič, P., Kamenik, B., & Rudolf, R. (2023). Study of Ni/Y2O3/Polylactic Acid Composite. Materials, 16(14), 5162. https://doi.org/10.3390/ma16145162

