Characteristics of Carbon-Fiber-Reinforced Polymer Face Sheet and Glass-Fiber-Reinforced Rigid Polyurethane Foam Sandwich Structures under Flexural and Compression Tests
Abstract
1. Introduction
2. Materials and Methods
2.1. Materials
2.2. Methods
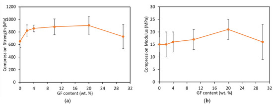
3. Results and Discussion
4. Conclusions
Author Contributions
Funding
Institutional Review Board Statement
Informed Consent Statement
Data Availability Statement
Acknowledgments
Conflicts of Interest
References
- Vasiliev, V.V.; Morozov, E.V. Mechanics of Laminates. Adv. Mech. Compos. Mater. Struct. 2018, 29, 191–242. [Google Scholar] [CrossRef]
- The Importance of Aircraft Floor Panels. Available online: https://www.comtekadvanced.com/the-importance-of-aircraft-floor-panels (accessed on 27 November 2022).
- Sahu, S.K.; Sreekanth, P.S.R.; Reddy, S.V.K. A Brief Review on Advanced Sandwich Structures with Customized Design Core and Composite Face Sheet. Polymers 2022, 14, 4267. [Google Scholar] [CrossRef]
- He, M.; Hu, W. A Study on Composite Honeycomb Sandwich Panel Structure. Mater. Des. 2008, 29, 709–713. [Google Scholar] [CrossRef]
- Xiong, J.; Du, Y.; Mousanezhad, D.; Eydani Asl, M.; Norato, J.; Vaziri, A. Sandwich Structures with Prismatic and Foam Cores: A Review. Adv. Eng. Mater. 2019, 21, 1800036. [Google Scholar] [CrossRef]
- Chang, W.S.; Ventsel, E.; Krauthammer, T.; John, J. Bending Behavior of Corrugated-Core Sandwich Plates. Compos. Struct. 2005, 70, 81–89. [Google Scholar] [CrossRef]
- Reis, E.M.; Rizkalla, S.H. Material Characteristics of 3-D FRP Sandwich Panels. Constr. Build. Mater. 2008, 22, 1009–1018. [Google Scholar] [CrossRef]
- Manalo, A.C. Behaviour of Fibre Composite Sandwich Structures under Short and Asymmetrical Beam Shear Tests. Compos. Struct. 2013, 99, 339–349. [Google Scholar] [CrossRef]
- Mohamed, M.; Anandan, S.; Huo, Z.; Birman, V.; Volz, J.; Chandrashekhara, K. Manufacturing and Characterization of Polyurethane Based Sandwich Composite Structures. Compos. Struct. 2015, 123, 169–179. [Google Scholar] [CrossRef]
- Taghipoor, H.; Musharavati, F.; Sebaey, T.A.; Eyvazian, A.; Ghiaskar, A. Experimental Investigation of the Three-Point Bending Properties of Sandwich Beams with Polyurethane Foam-Filled Lattice Cores. Structures 2020, 28, 424–432. [Google Scholar] [CrossRef]
- Khan, T.; Acar, V.; Aydin, M.R.; Hülagü, B.; Akbulut, H.; Seydibeyoğlu, M.Ö. A Review on Recent Advances in Sandwich Structures Based on Polyurethane Foam Cores. Polym. Compos. 2020, 41, 2355–2400. [Google Scholar] [CrossRef]
- Samali, B.; Nemati, S.; Sharafi, P.; Yaghmaei, F.; Farrokhi, A. Feasibility Analysis of the Use of Rigid Polyurethane Foam in Modular Sandwich Panels for Rapid Assembly Structures. Int. J. GEOMATE 2018, 15, 113–120. [Google Scholar] [CrossRef]
- Tuwair, H.; Hopkins, M.; Volz, J.; ElGawady, M.A.; Mohamed, M.; Chandrashekhara, K.; Birman, V. Evaluation of Sandwich Panels with Various Polyurethane Foam-Cores and Ribs. Compos. B Eng. 2015, 79, 262–276. [Google Scholar] [CrossRef]
- Banhart, J.; Seeliger, H.W. Recent Trends in Aluminum Foam Sandwich Technology. Adv. Eng. Mater. 2012, 14, 1082–1087. [Google Scholar] [CrossRef]
- Luo, H.; Lin, H.; Zhao, Z.; Liu, Y.; Yao, G. Preparation of Aluminum Foam Sandwich Reinforced by Steel Sheets. Procedia Mater. Sci. 2014, 4, 39–43. [Google Scholar] [CrossRef]
- Kwon, D.J.; Kim, J.H.; Devries, K.L.; Park, J.M. Optimized Epoxy Foam Interface of CFRP/Epoxy Foam/CFRP Sandwich Composites for Improving Compressive and Impact Properties. J. Mater. Res. Technol. 2021, 11, 62–71. [Google Scholar] [CrossRef]
- Anderson, T.; Madenci, E. Graphite/Epoxy Foam Sandwich Panels under Quasi-Static Indentation. Eng. Fract. Mech. 2000, 67, 329–344. [Google Scholar] [CrossRef]
- Tang, Z.; Zha, X.; Zu, D. Bending Properties of Steel Faced Sandwich Composite Panels with Phenolic Foam Cores. J. Reinf. Plast. Compos. 2016, 35, 834–852. [Google Scholar] [CrossRef]
- Boccaccio, A.; Casavola, C.; Lamberti, L.; Pappalettere, C. Structural Response of Polyethylene Foam-Based Sandwich Panels Subjected to Edgewise Compression. Materials 2013, 6, 4545. [Google Scholar] [CrossRef]
- Loypetch, N.; Tröltzsch, J.; Nestler, D.; Kroll, L. Influence of Talc in Polypropylene Foam Cores of Sandwich Structures with Skins Made of Thermoplastic Prepregs. IOP Conf. Ser. Mater. Sci. Eng. 2019, 480, 012012. [Google Scholar] [CrossRef]
- Salleh, Z.; Islam, M.M.; Epaarachchi, J.A.; Su, H. Mechanical Properties of Sandwich Composite Made of Syntactic Foam Core and GFRP Skins. AIMS Mater. Sci. 2016, 3, 1704–1727. [Google Scholar] [CrossRef]
- Palumbo, M.; Tempesti, E. Fiber-Reinforced Syntactic Foams as a New Lightweight Structural Three-Phase Composite. Appl. Compos. Mater. 2001, 8, 343–359. [Google Scholar] [CrossRef]
- Gupta, N.; Woldesenbet, E. Characterization of Flexural Properties of Syntactic Foam Core Sandwich Composites and Effect of Density Variation. J. Compos. Mater. 2005, 39, 2197–2212. [Google Scholar] [CrossRef]
- Chen, Z.; Zhang, Y.; Wang, J.; Gangarao, H.; Liang, R.; Zhang, Y.; Hui, D. Experimental and Modeling Investigations of the Behaviors of Syntactic Foam Sandwich Panels with Lattice Webs under Crushing Loads. Rev. Adv. Mater. Sci. 2021, 60, 450–465. [Google Scholar] [CrossRef]
- Devaraj, S.J.; Arputham, A.J.K. Influence of Chopped Fibers on the Interfacial Bonding of Glass Fiber Reinforced Epoxy Skin/Polyurethane Core in a Sandwich Composite. Polym. Compos. 2022, 43, 5563–5572. [Google Scholar] [CrossRef]
- Lascano, D.; Guillen-Pineda, R.; Quiles-Carrillo, L.; Ivorra-Martínez, J.; Balart, R.; Montanes, N.; Boronat, T. Manufacturing and Characterization of Highly Environmentally Friendly Sandwich Composites from Polylactide Cores and Flax-Polylactide Faces. Polymers 2021, 13, 342. [Google Scholar] [CrossRef]
- Fatima, N.S.; Dhaliwal, G.S.; Newaz, G. Contribution of Adhesive-Reinforced Interface on the Performance of Light-Weight Sustainable Sandwich Composites. J. Compos. Mater. 2022, 56, 1829–1849. [Google Scholar] [CrossRef]
- Luo, H.; Zhang, Y.; Wang, B.; Lu, H. Characterization of the Compressive Behavior of Glass Fiber Reinforced Polyurethane Foam at Different Strain Rates. J. Offshore Mech. Arct. Eng. 2010, 132, 021301. [Google Scholar] [CrossRef]
- Yakushin, V.; Stirna, U.; Bel’Kova, L.; Deme, L.; Sevastyanova, I. Properties of Rigid Polyurethane Foams Filled with Milled Carbon Fibers. Mech. Compos. Mater. 2011, 46, 679–688. [Google Scholar] [CrossRef]
- Merillas, B.; Villafañe, F.; Rodríguez-Pérez, M.Á. Nanoparticles Addition in PU Foams: The Dramatic Effect of Trapped-Air on Nucleation. Polymers 2021, 13, 2952. [Google Scholar] [CrossRef]
- Lee, D.I.; Ha, Y.H.; Jeon, H.; Kim, S.H. Preparation and Properties of Polyurethane Composite Foams with Silica-Based Fillers. Appl. Sci. 2022, 12, 7418. [Google Scholar] [CrossRef]
- Smits, G.F. Effect of Cellsize Reduction on Polyurethane Foam Physical Properties. J. Therm. Insul. Build. Envel. 1994, 17, 309–329. [Google Scholar] [CrossRef]
- Mahfuz, H.; Islam, M.S.; Rangari, V.K.; Saha, M.C.; Jeelani, S. Response of Sandwich Composites with Nanophased Cores under Flexural Loading. Compos. B Eng. 2004, 35, 543–550. [Google Scholar] [CrossRef]
- Caglayan, C.; Gurkan, I.; Gungor, S.; Cebeci, H. The Effect of CNT-Reinforced Polyurethane Foam Cores to Flexural Properties of Sandwich Composites. Compos. Part A Appl. Sci. Manuf. 2018, 115, 187–195. [Google Scholar] [CrossRef]
- 1/32 Inch Milled Glass Fibers Product Data Sheet. Available online: https://www.fibreglast.com/product/132_inch_Milled_Glass_Fibers_38/Fillers#documents (accessed on 27 November 2022).
- ASTM D7249/D7249M-20; Standard Test Method for Facesheet Properties of Sandwich Constructions by Long Beam Flexure. ASTM International: West Conshohocken, PA, USA, 2020.
- ASTM C365/C365M-22; Standard Test Method for Flatwise Compressive Properties of Sandwich Cores. ASTM International: West Conshohocken, PA, USA, 2022.
- Kim, S.H.; Park, H.C.; Jeong, H.M.; Kim, B.K. Glass Fiber Reinforced Rigid Polyurethane Foams. J. Mater. Sci. 2010, 45, 2675–2680. [Google Scholar] [CrossRef]
- Kumar, M.; Kaur, R. Glass Fiber Reinforced Rigid Polyurethane Foam: Synthesis and Characterization. e-Polymers 2017, 17, 517–521. [Google Scholar] [CrossRef]
- Shin, S.R.; Lee, D.S. Nanocomposites of Rigid Polyurethane Foam and Graphene Nanoplates Obtained by Exfoliation of Natural Graphite in Polymeric 4,4′-Diphenylmethane Diisocyanate. Nanomaterials 2022, 12, 685. [Google Scholar] [CrossRef]
- Tian, H.; Yao, Y.; Ma, S.; Fu, L.; Xiang, A.; Rajulu, A.V. Improved Mechanical, Thermal and Flame Resistant Properties of Flexible Isocyanate-Based Polyimide Foams by Graphite Incorporation. High. Perform. Polym. 2017, 30, 1130–1138. [Google Scholar] [CrossRef]
- Steeves, C.A.; Fleck, N.A. Collapse Mechanisms of Sandwich Beams with Composite Faces and a Foam Core, Loaded in Three-Point Bending. Part II: Experimental Investigation and Numerical Modelling. Int. J. Mech. Sci. 2004, 46, 585–608. [Google Scholar] [CrossRef]
- Kim, M.W.; Kwon, S.H.; Park, H.; Kim, B.K. Glass Fiber and Silica Reinforced Rigid Polyurethane Foams. Express Polym. Lett. 2017, 11, 374–382. [Google Scholar] [CrossRef]
- Subramaniyan, S.K.; Mahzan, S.; bin Ghazali, M.I.; Ismon, M.B.; Zaidi, A.M.A. Mechanical Behavior of Polyurethane Composite Foams from Kenaf Fiber and Recycled Tire Rubber Particles. Appl. Mech. Mater. 2013, 315, 861–866. [Google Scholar] [CrossRef]










| wt.% GF | PUF Apparent Density (kg/m3) |
|---|---|
| 0 | 90 |
| 4 | 96 |
| 10 | 108 |
| 20 | 113 |
| 30 | 132 |
Disclaimer/Publisher’s Note: The statements, opinions and data contained in all publications are solely those of the individual author(s) and contributor(s) and not of MDPI and/or the editor(s). MDPI and/or the editor(s) disclaim responsibility for any injury to people or property resulting from any ideas, methods, instructions or products referred to in the content. |
© 2023 by the authors. Licensee MDPI, Basel, Switzerland. This article is an open access article distributed under the terms and conditions of the Creative Commons Attribution (CC BY) license (https://creativecommons.org/licenses/by/4.0/).
Share and Cite
Junaedi, H.; Khan, T.; Sebaey, T.A. Characteristics of Carbon-Fiber-Reinforced Polymer Face Sheet and Glass-Fiber-Reinforced Rigid Polyurethane Foam Sandwich Structures under Flexural and Compression Tests. Materials 2023, 16, 5101. https://doi.org/10.3390/ma16145101
Junaedi H, Khan T, Sebaey TA. Characteristics of Carbon-Fiber-Reinforced Polymer Face Sheet and Glass-Fiber-Reinforced Rigid Polyurethane Foam Sandwich Structures under Flexural and Compression Tests. Materials. 2023; 16(14):5101. https://doi.org/10.3390/ma16145101
Chicago/Turabian StyleJunaedi, Harri, Tabrej Khan, and Tamer A. Sebaey. 2023. "Characteristics of Carbon-Fiber-Reinforced Polymer Face Sheet and Glass-Fiber-Reinforced Rigid Polyurethane Foam Sandwich Structures under Flexural and Compression Tests" Materials 16, no. 14: 5101. https://doi.org/10.3390/ma16145101
APA StyleJunaedi, H., Khan, T., & Sebaey, T. A. (2023). Characteristics of Carbon-Fiber-Reinforced Polymer Face Sheet and Glass-Fiber-Reinforced Rigid Polyurethane Foam Sandwich Structures under Flexural and Compression Tests. Materials, 16(14), 5101. https://doi.org/10.3390/ma16145101

