Voids Development in Metals: Numerical Modelling
Abstract
1. Introduction
2. Void Nucleation
2.1. Void Nucleation at Second Phase Particles
2.2. The Role of Grain Boundaries
2.3. Other Issues
3. Numerical Analyses of the Mechanism of Growth and Coalescence of Voids
3.1. Shape and Configurations of Voids

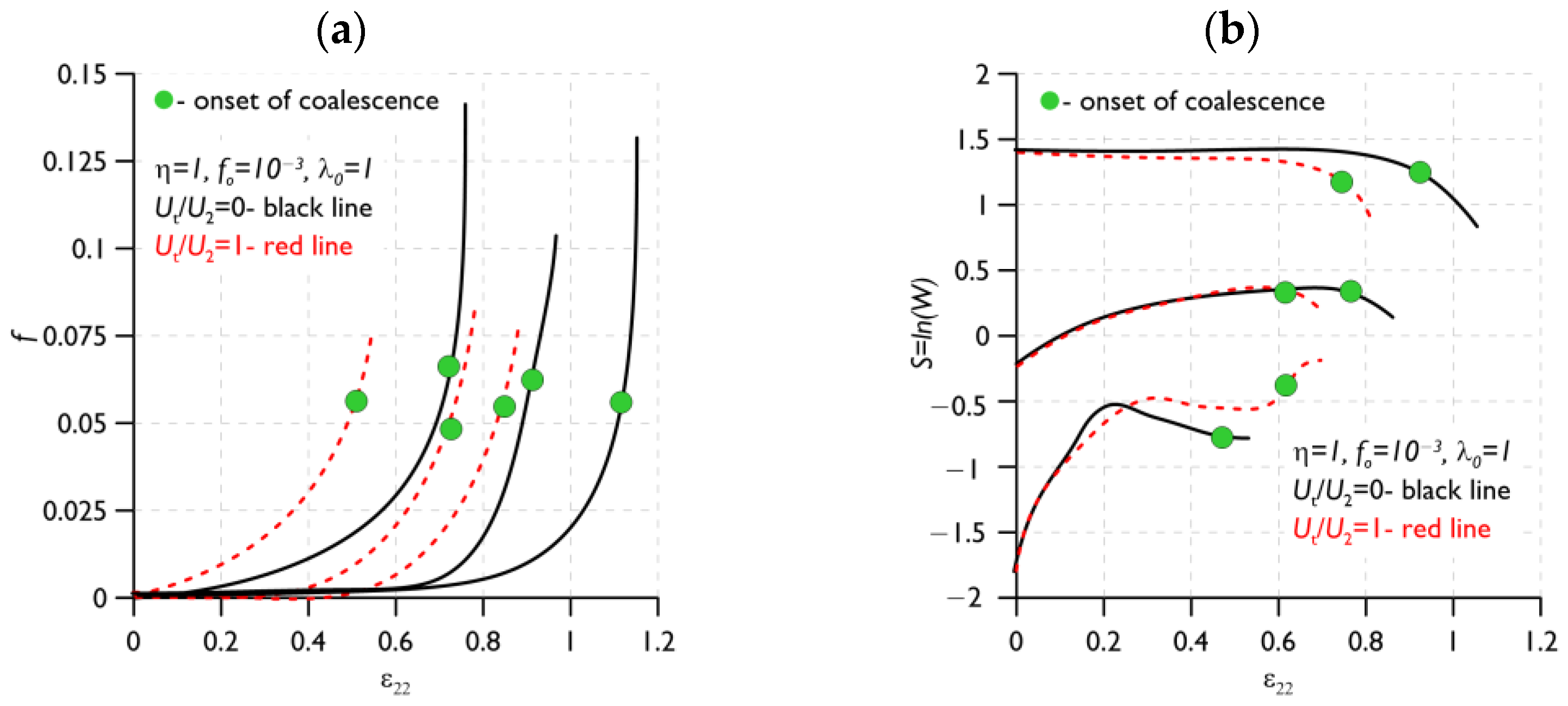
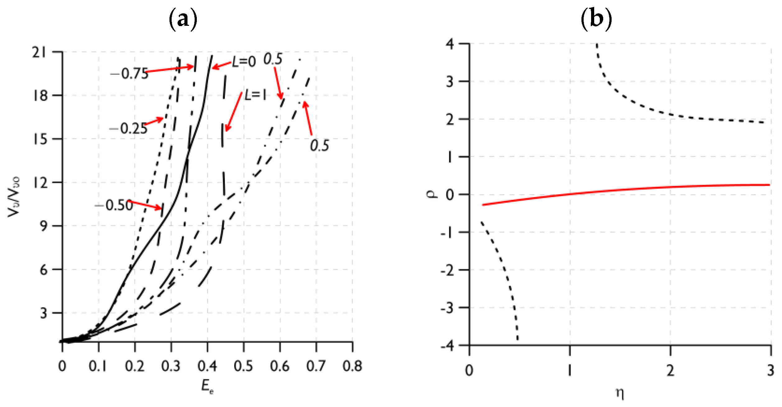
3.2. Influence of the Stress State, Strain and Localisation
- (a)
- An elementary cell with a single void when loaded with a normal component (Model A—Figure 13a);
- (b)
- (c)


3.3. Parameter Analysis in Front of the Crack Tip
3.4. Mesoscale Modeling, Linking Microstructure and Macroscopic Properties
4. Summary, Conclusions and Suggestions for Future Work
Author Contributions
Funding
Institutional Review Board Statement
Informed Consent Statement
Data Availability Statement
Conflicts of Interest
References
- Kobayashi, M.; Toda, H.; Kawai, Y.; Ohgaki, T.; Uesugi, K.; Wilkinson, D.; Kobayashi, T.; Aoki, Y.; Nakazawa, M. High-Density Three-Dimensional Mapping of Internal Strain by Tracking Microstructural Features. Acta Mater. 2008, 56, 2167–2181. [Google Scholar] [CrossRef]
- Toda, H.; Maire, E.; Aoki, Y.; Kobayashi, M. Three-Dimensional Strain Mapping Using in Situ X-ray Synchrotron Microtomography. J. Strain Anal. Eng. Des. 2011, 46, 549–561. [Google Scholar] [CrossRef]
- Seo, D.; Toda, H.; Kobayashi, M.; Uesugi, K.; Takeuchi, A.; Suzuki, Y. In Situ Observation of Void Nucleation and Growth in a Steel Using X-ray Tomography. ISIJ Int. 2015, 55, 1474–1482. [Google Scholar] [CrossRef]
- Wu, S.C.; Xiao, T.Q.; Withers, P.J. The Imaging of Failure in Structural Materials by Synchrotron Radiation X-ray Microtomography. Eng. Fract. Mech. 2017, 182, 127–156. [Google Scholar] [CrossRef]
- Guo, Y.; Burnett, T.L.; McDonald, S.A.; Daly, M.; Sherry, A.H.; Withers, P.J. 4D Imaging of Void Nucleation, Growth, and Coalescence from Large and Small Inclusions in Steel under Tensile Deformation. J. Mater. Sci. Technol. 2022, 123, 168–176. [Google Scholar] [CrossRef]
- Kachanov, L.M. Rupture Time Under Creep Conditions. Int. J. Fract. 1999, 97, 11–18. [Google Scholar] [CrossRef]
- Gurson, A.L. Continuum Theory of Ductile Rupture by Void Nucleation and Growth: Part 1—Yield Criteria and Flow Rules for Porous Ductile Media. J. Eng. Mater. Technol. 1977, 99, 2–15. [Google Scholar] [CrossRef]
- Cordebois, J.; Sidoroff, F. Endommagement Anisotrope En Elasticite et Plasticite. JMTA 1982, 1, 45–60. [Google Scholar]
- Lemaitre, J. A Continuous Damage Mechanics Model for Ductile Fracture. J. Eng. Mater. Technol. 1985, 107, 83–89. [Google Scholar] [CrossRef]
- Rousselier, G. Ductile Fracture Models and Their Potential in Local Approach of Fracture. Nucl. Eng. Des. 1987, 105, 97–111. [Google Scholar] [CrossRef]
- Voyiadjis, G.Z.; Kattan, P.I. A Plasticity-Damage Theory for Large Deformation of Solids—I. Theoretical Formulation. Int. J. Eng. Sci. 1992, 30, 1089–1108. [Google Scholar] [CrossRef]
- Saanouni, K.; Forster, C.; Hatira, F.B. On the Anelastic Flow with Damage. Int. J. Damage Mech. 1994, 3, 140–169. [Google Scholar] [CrossRef]
- Taher, S.E.-D.F.; Baluch, M.H.; Al-Gadhib, A.H. Towards a Canonical Elastoplastic Damage Model. Eng. Fract. Mech. 1994, 48, 151–166. [Google Scholar] [CrossRef]
- Gologanu, M.; Leblond, J.B.; Devaux, J. Approximate Models for Ductile Metals Containing Nonspherical Voids—Case of Axisymmetric Oblate Ellipsoidal Cavities. J. Eng. Mater. Technol. 1994, 116, 290–297. [Google Scholar] [CrossRef]
- Cao, T.-S.; Mazière, M.; Danas, K.; Besson, J. A Model for Ductile Damage Prediction at Low Stress Triaxialities Incorporating Void Shape Change and Void Rotation. Int. J. Solids Struct. 2015, 63, 240–263. [Google Scholar] [CrossRef]
- Danas, K.; Aravas, N. Numerical Modeling of Elasto-Plastic Porous Materials with Void Shape Effects at Finite Deformations. Compos. Part B Eng. 2012, 43, 2544–2559. [Google Scholar] [CrossRef]
- Wciślik, W.; Pała, R. Some Microstructural Aspects of Ductile Fracture of Metals. Materials 2021, 14, 4321. [Google Scholar] [CrossRef]
- Wciślik, W.; Lipiec, S. Void-Induced Ductile Fracture of Metals: Experimental Observations. Materials 2022, 15, 6473. [Google Scholar] [CrossRef]
- Jin, C.; Shi, C.; Niu, J. An Energy-Based Model for Void Nucleation Around Rigid Inclusion from Combined Mechanical Loading and Thermal Cycling. J. Therm. Stress. 2015, 38, 792–810. [Google Scholar] [CrossRef]
- Garrison, W.M.; Moody, N.R. Ductile Fracture. J. Phys. Chem. Solids 1987, 48, 1035–1074. [Google Scholar] [CrossRef]
- Horstemeyer, M.F.; Ramaswamy, S.; Negrete, M. Using a Micromechanical Finite Element Parametric Study to Motivate a Phenomenological Macroscale Model for Void/Crack Nucleation in Aluminum with a Hard Second Phase. Mech. Mater. 2003, 35, 675–687. [Google Scholar] [CrossRef]
- Koplik, J.; Needleman, A. Void Growth and Coalescence in Porous Plastic Solids. Int. J. Solids Struct. 1988, 24, 835–853. [Google Scholar] [CrossRef]
- Pineau, A.; Benzerga, A.A.; Pardoen, T. Failure of Metals I: Brittle and Ductile Fracture. Acta Mater. 2016, 107, 424–483. [Google Scholar] [CrossRef]
- Keralavarma, S.M.; Hoelscher, S.; Benzerga, A.A. Void Growth and Coalescence in Anisotropic Plastic Solids. Int. J. Solids Struct. 2011, 48, 1696–1710. [Google Scholar] [CrossRef]
- Srivastava, A.; Needleman, A. Void Growth versus Void Collapse in a Creeping Single Crystal. J. Mech. Phys. Solids 2013, 61, 1169–1184. [Google Scholar] [CrossRef]
- Besson, J. Continuum Models of Ductile Fracture: A Review. Int. J. Damage Mech. 2010, 19, 3–52. [Google Scholar] [CrossRef]
- Mueller, M.G.; Fornabaio, M.; Žagar, G.; Mortensen, A. Microscopic Strength of Silicon Particles in an Aluminium–Silicon Alloy. Acta Mater. 2016, 105, 165–175. [Google Scholar] [CrossRef]
- Mueller, M.G.; Žagar, G.; Mortensen, A. In-Situ Strength of Individual Silicon Particles within an Aluminium Casting Alloy. Acta Mater. 2018, 143, 67–76. [Google Scholar] [CrossRef]
- Wcislik, W. Experimental and Numerical Determination and Analysis of Selected Parameters of the Gurson-Tvergaard-Needleman Model for S355 Steel and Complex Stress States. Ph.D. Thesis, Kielce University of Technology, Kielce, Poland, 2014. [Google Scholar]
- Wcislik, W. Experimental Determination of Critical Void Volume Fraction FF for the Gurson Tvergaard Needleman (GTN) Model. Procedia Struct. Integr. 2016, 2, 1676–1683. [Google Scholar] [CrossRef]
- Mishnaevsky, L.; Lippmann, N.; Schmauder, S. Computational Modeling of Crack Propagation in Real Microstructures of Steels and Virtual Testing of Artificially Designed Materials. Int. J. Fract. 2003, 120, 581–600. [Google Scholar] [CrossRef]
- Argon, A.S.; Im, J.; Safoglu, R. Cavity Formation from Inclusions in Ductile Fracture. Metall. Trans. A 1975, 6, 825. [Google Scholar] [CrossRef]
- Beremin, F.M. Cavity Formation from Inclusions in Ductile Fracture of A508 Steel. Metall. Trans. A 1981, 12, 723–731. [Google Scholar] [CrossRef]
- Teirlinck, D.; Zok, F.; Embury, J.D.; Ashby, M.F. Fracture Mechanism Maps in Stress Space. Acta Metall. 1988, 36, 1213–1228. [Google Scholar] [CrossRef]
- Kwon, D. Interfacial Decohesion around Spheroidal Carbide Particles. Scr. Metall. 1988, 22, 1161–1164. [Google Scholar] [CrossRef]
- Qiu, H.; Mori, H.; Enoki, M.; Kishi, T. Evaluation of Ductile Fracture of Structural Steels by Microvoid Model. ISIJ Int. 1999, 39, 358–364. [Google Scholar] [CrossRef]
- Hillerborg, A.; Modéer, M.; Petersson, P.-E. Analysis of Crack Formation and Crack Growth in Concrete by Means of Fracture Mechanics and Finite Elements. Cem. Concr. Res. 1976, 6, 773–781. [Google Scholar] [CrossRef]
- Bažant, Z.P. Current Status and Advances in the Theory of Creep and Interaction with Fracture. In Proceedings of the 5th International RILEM Symposium on Creep and Shrinkage Concrete ConCreep 5, London, UK, 6–9 September 1993; pp. 291–307. [Google Scholar]
- Needleman, A. A Continuum Model for Void Nucleation by Inclusion Debonding. J. Appl. Mech. 1987, 54, 525–531. [Google Scholar] [CrossRef]
- Needleman, A. An Analysis of Decohesion along an Imperfect Interface. Int. J. Fract. 1990, 42, 21–40. [Google Scholar] [CrossRef]
- Tvergaard, V.; Hutchinson, J.W. The Relation between Crack Growth Resistance and Fracture Process Parameters in Elastic-Plastic Solids. J. Mech. Phys. Solids 1992, 40, 1377–1397. [Google Scholar] [CrossRef]
- Wciślik, W.; Pała, T. Selected Aspects of Cohesive Zone Modeling in Fracture Mechanics. Metals 2021, 11, 302. [Google Scholar] [CrossRef]
- Noreyan, A.; Qi, Y.; Stoilov, V. Critical Shear Stresses at Aluminum–Silicon Interfaces. Acta Mater. 2008, 56, 3461–3469. [Google Scholar] [CrossRef]
- Benzerga, A.; Leblond, J.-B. Ductile Fracture by Void Growth to Coalescence. Adv. Appl. Mech. 2010, 44, 169–305. [Google Scholar] [CrossRef]
- Charles, Y.; Estevez, R.; Bréchet, Y.; Maire, E. Modelling the Competition between Interface Debonding and Particle Fracture Using a Plastic Strain Dependent Cohesive Zone. Eng. Fract. Mech. 2010, 77, 705–718. [Google Scholar] [CrossRef]
- Yu, Q. Influence of the Stress State on Void Nucleation and Subsequent Growth around Inclusion in Ductile Material. Int. J. Fract. 2015, 193, 43–57. [Google Scholar] [CrossRef]
- Giang, N.A.; Kuna, M.; Hütter, G. Influence of Carbide Particles on Crack Initiation and Propagation with Competing Ductile-Brittle Transition in Ferritic Steel. Theor. Appl. Fract. Mech. 2017, 92, 89–98. [Google Scholar] [CrossRef]
- Testa, G.; Bonora, N.; Ruggiero, A.; Iannitti, G.; Gentile, D. Stress Triaxiality Effect on Void Nucleation in Ductile Metals. Fatigue Fract. Eng. Mater. Struct. 2020, 43, 1473–1486. [Google Scholar] [CrossRef]
- Andersen, R.G.; Tekoğlu, C.; Nielsen, K.L. Cohesive Traction–Separation Relations for Tearing of Ductile Plates with Randomly Distributed Void Nucleation Sites. Int. J. Fract. 2020, 224, 187–198. [Google Scholar] [CrossRef]
- Liu, Y.; Chen, J.; Dong, X. A Particle Debonding Model Considering Interface Nanoscale Damage Effect. Model. Simul. Mater. Sci. Eng. 2020, 29, 015007. [Google Scholar] [CrossRef]
- Eidel, B.; Hartmaier, A.; Gumbsch, P. Atomistic Simulation Methods and Their Application on Fracture. In Multiscale Modelling of Plasticity and Fracture by Means of Dislocation Mechanics; Pippan, R., Gumbsch, P., Eds.; CISM International Centre for Mechanical Sciences; Springer: Vienna, Austria, 2010; pp. 1–57. ISBN 978-3-7091-0283-1. [Google Scholar]
- Zhao, Q.Q.; Boyce, B.L.; Sills, R.B. Micromechanics of Void Nucleation and Early Growth at Incoherent Precipitates: Lattice-Trapped and Dislocation-Mediated Delamination Modes. Crystals 2021, 11, 45. [Google Scholar] [CrossRef]
- Lucchetta, A.; Brach, S.; Kondo, D. Effects of Particles Size on the Overall Strength of Nanocomposites: Molecular Dynamics Simulations and Theoretical Modeling. Mech. Res. Commun. 2021, 114, 103669. [Google Scholar] [CrossRef]
- Kuna, M.; Sun, D.Z. Three-Dimensional Cell Model Analyses of Void Growth in Ductile Materials. Int. J. Fract. 1996, 81, 235–258. [Google Scholar] [CrossRef]
- Thomson, C.; Worswick, M.J.; Pilkey, A.K.; Lloyd, D.J.; Burger, G. Modeling Void Nucleation and Growth within Periodic Clusters of Particles. J. Mech. Phys. Solids 1998, 47, 1–26. [Google Scholar] [CrossRef]
- Thomson, C. Modeling the Effects of Particle Clustering on Ductile Failure. PhD Thesis, Carleton University, Ottawa, ON, Canada, 2001. [Google Scholar]
- Roux, E.; Bernacki, M.; Bouchard, P.O. A Level-Set and Anisotropic Adaptive Remeshing Strategy for the Modeling of Void Growth under Large Plastic Strain. Comput. Mater. Sci. 2013, 68, 32–46. [Google Scholar] [CrossRef]
- Shakoor, M.; Bernacki, M.; Bouchard, P.-O. A New Body-Fitted Immersed Volume Method for the Modeling of Ductile Fracture at the Microscale: Analysis of Void Clusters and Stress State Effects on Coalescence. Eng. Fract. Mech. 2015, 147, 398–417. [Google Scholar] [CrossRef]
- Shakoor, M.; Bernacki, M.; Bouchard, P.-O. Ductile Fracture of a Metal Matrix Composite Studied Using 3D Numerical Modeling of Void Nucleation and Coalescence. Eng. Fract. Mech. 2018, 189, 110–132. [Google Scholar] [CrossRef]
- Osher, S.; Sethian, J.A. Fronts Propagating with Curvature-Dependent Speed: Algorithms Based on Hamilton-Jacobi Formulations. J. Comput. Phys. 1988, 79, 12–49. [Google Scholar] [CrossRef]
- Shabrov, M.N.; Needleman, A. An Analysis of Inclusion Morphology Effects on Void Nucleation. Model. Simul. Mater. Sci. Eng. 2002, 10, 163. [Google Scholar] [CrossRef]
- Butcher, C.; Chen, Z. Damage Percolation Modeling of Void Nucleation in Aluminum Alloy Sheet. In Proceedings of the 12th International Conference on Fracture, Ottawa, ON, Canada, 12–17 July 2009; Volume 6, pp. 4580–4589. [Google Scholar]
- Bai, Y.; Wierzbicki, T. A New Model of Metal Plasticity and Fracture with Pressure and Lode Dependence. Int. J. Plast. 2008, 24, 1071–1096. [Google Scholar] [CrossRef]
- Kossakowski, P.; Wcislik, W. Modelling the Failure of Structural Steels. Eng. Constr. 2017, 73, 333–336. (In Polish) [Google Scholar]
- Brunet, M.; Morestin, F.; Walter-Leberre, H. Failure Analysis of Anisotropic Sheet-Metals Using a Non-Local Plastic Damage Model. J. Mater. Process. Technol. 2005, 170, 457–470. [Google Scholar] [CrossRef]
- Shabrov, M.N.; Sylven, E.; Kim, S.; Sherman, D.H.; Chuzhoy, L.; Briant, C.L.; Needleman, A. Void Nucleation by Inclusion Cracking. Metall. Mater. Trans. A 2004, 35, 1745–1755. [Google Scholar] [CrossRef]
- Pardoen, T.; Dumont, D.; Deschamps, A.; Brechet, Y. Grain Boundary versus Transgranular Ductile Failure. J. Mech. Phys. Solids 2003, 51, 637–665. [Google Scholar] [CrossRef]
- Sui, H.; Yu, L.; Liu, W.; Liu, Y.; Duan, H. Model of Void Nucleation on Grain Boundaries in Dynamic Failure of Ductile Metals Incorporating Interface Incompatibility. J. Mech. Phys. Solids 2022, 168, 105032. [Google Scholar] [CrossRef]
- Silling, S.A. Reformulation of Elasticity Theory for Discontinuities and Long-Range Forces. J. Mech. Phys. Solids 2000, 48, 175–209. [Google Scholar] [CrossRef]
- Ahmadi, M.; Sadighi, M.; Hosseini Toudeshky, H. Computational Microstructural Model of Ordinary State-Based Peridynamic Theory for Damage Mechanisms, Void Nucleation, and Propagation in DP600 Steel. Eng. Fract. Mech. 2021, 247, 107660. [Google Scholar] [CrossRef]
- Pang, W.-W.; Zhang, P.; Zhang, G.-C.; Xu, A.-G.; Zhao, X.-G. Dislocation Creation and Void Nucleation in FCC Ductile Metals under Tensile Loading: A General Microscopic Picture. Sci. Rep. 2014, 4, 6981. [Google Scholar] [CrossRef] [PubMed]
- Paul, S.K.; Kumar, S.; Tarafder, S. Effect of Loading Conditions on Nucleation of Nano Void and Failure of Nanocrystalline Aluminum: An Atomistic Investigation. Eng. Fract. Mech. 2017, 176, 257–262. [Google Scholar] [CrossRef]
- Mendelev, M.I.; Kramer, M.J.; Becker, C.A.; Asta, M. Analysis of Semi-Empirical Interatomic Potentials Appropriate for Simulation of Crystalline and Liquid Al and Cu. Philos. Mag. 2008, 88, 1723–1750. [Google Scholar] [CrossRef]
- Wu, Z.X.; Zhang, Y.W.; Jhon, M.H.; Srolovitz, D.J. Anatomy of Nanomaterial Deformation: Grain Boundary Sliding, Plasticity and Cavitation in Nanocrystalline Ni. Acta Mater. 2013, 61, 5807–5820. [Google Scholar] [CrossRef]
- Farkas, D.; Van Swygenhoven, H.; Derlet, P.M. Intergranular Fracture in Nanocrystalline Metals. Phys. Rev. B 2002, 66, 060101. [Google Scholar] [CrossRef]
- Buljac, A.; Trejo Navas, V.-M.; Shakoor, M.; Bouterf, A.; Neggers, J.; Bernacki, M.; Bouchard, P.-O.; Morgeneyer, T.F.; Hild, F. On the Calibration of Elastoplastic Parameters at the Microscale via X-ray Microtomography and Digital Volume Correlation for the Simulation of Ductile Damage. Eur. J. Mech.-ASolids 2018, 72, 287–297. [Google Scholar] [CrossRef]
- Tvergaard, V.; Hutchinson, J.W. Two Mechanisms of Ductile Fracture: Void by Void Growth versus Multiple Void Interaction. Int. J. Solids Struct. 2002, 39, 3581–3597. [Google Scholar] [CrossRef]
- Liu, Y.; Zheng, X.; Osovski, S.; Srivastava, A. On the Micromechanism of Inclusion Driven Ductile Fracture and Its Implications on Fracture Toughness. J. Mech. Phys. Solids 2019, 130, 21–34. [Google Scholar] [CrossRef]
- Chen, S. The Effect of Statistically Heterogeneous Void Nucleation on Metal Failure in Shear. Int. J. Fract. 2022, 235, 267–278. [Google Scholar] [CrossRef]
- Tekoglu, C.; Koçhan, B. Unit Cell Calculations under Fully Characterized Stress States. Int. J. Plast. 2022, 156, 103358. [Google Scholar] [CrossRef]
- Potirniche, G.P.; Hearndon, J.L.; Horstemeyer, M.F.; Ling, X.W. Lattice Orientation Effects on Void Growth and Coalescence in Fcc Single Crystals. Int. J. Plast. 2006, 22, 921–942. [Google Scholar] [CrossRef]
- Gărăjeu, M.; Michel, J.C.; Suquet, P. A Micromechanical Approach of Damage in Viscoplastic Materials by Evolution in Size, Shape and Distribution of Voids. Comput. Methods Appl. Mech. Eng. 2000, 183, 223–246. [Google Scholar] [CrossRef]
- Brünig, M.; Gerke, S.; Hagenbrock, V. Stress-State-Dependence of Damage Strain Rate Tensors Caused by Growth and Coalescence of Micro-Defects. Int. J. Plast. 2014, 63, 49–63. [Google Scholar] [CrossRef]
- Tvergaard, V. Effect of Stress-State and Spacing on Voids in a Shear-Field. Int. J. Solids Struct. 2012, 49, 3047–3054. [Google Scholar] [CrossRef]
- Tekoğlu, C.; Hutchinson, J.W.; Pardoen, T. On Localization and Void Coalescence as a Precursor to Ductile Fracture. Philos. Trans. R. Soc. Math. Phys. Eng. Sci. 2015, 373, 20140121. [Google Scholar] [CrossRef]
- Gao, X.; Kim, J. Modeling of Ductile Fracture: Significance of Void Coalescence. Int. J. Solids Struct. 2006, 43, 6277–6293. [Google Scholar] [CrossRef]
- Besson, J. Local Approach to Fracture; Ecole des Mines de Paris: Paris, France, 2004. [Google Scholar]
- Anderson, T.L. Fracture Mechanics: Fundamentals and Applications, 3rd ed.; Taylor and Francis Group: Singapore, 2005. [Google Scholar]
- Trejo Navas, V.M.; Bernacki, M.; Bouchard, P.-O. Void Growth and Coalescence in a Three-Dimensional Non-Periodic Void Cluster. Int. J. Solids Struct. 2018, 139–140, 65–78. [Google Scholar] [CrossRef]
- Shakoor, M.; Bouchard, P.-O.; Bernacki, M. An Adaptive Level-Set Method with Enhanced Volume Conservation for Simulations in Multiphase Domains. Int. J. Numer. Methods Eng. 2017, 109, 555–576. [Google Scholar] [CrossRef]
- Wang, J.; Liang, J.; Wen, Z.; Yue, Z. Void Configuration-Induced Change in Microstructure and Deformation Mechanisms of Nano-Porous Materials. J. Appl. Phys. 2019, 126, 085106. [Google Scholar] [CrossRef]
- Cadet, C.; Besson, J.; Flouriot, S.; Forest, S.; Kerfriden, P.; de Rancourt, V. Ductile Fracture of Materials with Randomly Distributed Voids. Int. J. Fract. 2021, 230, 193–223. [Google Scholar] [CrossRef]
- Xie, J.; Zhang, R.; Liu, T.; Zhou, C.; Gu, T.; Chen, B.; Chen, Y.; Jia, L.-J. Growth of Random Polyhedral Void in Structural Steel Based on Micromechanical RVE Simulations. Adv. Eng. Softw. 2023, 175, 103344. [Google Scholar] [CrossRef]
- Xie, J.; Zhang, R.; Liu, T.; Zhou, C.; Jia, L.J. Effect of Initial Void Shape on Void Growth of Structural Steels Based on Micromechanical RVE Models. J. Mater. Civ. Eng. 2022, 34, 04022010. [Google Scholar] [CrossRef]
- Asim, U.; Siddiq, M.A.; Demiral, M. Void Growth in High Strength Aluminium Alloy Single Crystals: A CPFEM Based Study. Model. Simul. Mater. Sci. Eng. 2017, 25, 035010. [Google Scholar] [CrossRef]
- Asim, U.B.; Siddiq, M.A.; Kartal, M.E. A CPFEM Based Study to Understand the Void Growth in High Strength Dual-Phase Titanium Alloy (Ti-10V-2Fe-3Al). Int. J. Plast. 2019, 122, 188–211. [Google Scholar] [CrossRef]
- Song, Q.-Y.; Heidarpour, A.; Zhao, X.-L.; Han, L.-H. Experimental and Numerical Investigation of Ductile Fracture of Carbon Steel Structural Components. J. Constr. Steel Res. 2018, 145, 425–437. [Google Scholar] [CrossRef]
- Nemcko, M.J.; Wilkinson, D.S. On the Damage and Fracture of Commercially Pure Magnesium Using X-ray Microtomography. Mater. Sci. Eng. A 2016, 676, 146–155. [Google Scholar] [CrossRef]
- Croom, B.P.; Jin, H.; Noell, P.J.; Boyce, B.L.; Li, X. Collaborative Ductile Rupture Mechanisms of High-Purity Copper Identified by in Situ X-ray Computed Tomography. Acta Mater. 2019, 181, 377–384. [Google Scholar] [CrossRef]
- Kiran, R.; Khandelwal, K. A Micromechanical Model for Ductile Fracture Prediction in ASTM A992 Steels. Eng. Fract. Mech. 2013, 102, 101–117. [Google Scholar] [CrossRef]
- Usman, M.; Waheed, S.; Mubashar, A. Effect of Shape on Void Growth: A Coupled Extended Finite Element Method (XFEM) and Discrete Dislocation Plasticity (DDP) Study. Eur. J. Mech.-ASolids 2022, 92, 104471. [Google Scholar] [CrossRef]
- Landron, C.; Maire, E.; Adrien, J.; Bouaziz, O. Damage Characterization in Dual-Phase Steels Using X-ray Tomography. In Optical Measurements, Modeling, and Metrology, Proceedings of the 2011 Annual Conference on Experimental and Applied Mechanics, Uncasville, CT, USA, 13-16 June 2011; Proulx, T., Ed.; Springer: New York, NY, USA, 2011; Volume 5, pp. 11–18. [Google Scholar]
- Fabrègue, D.; Landron, C.; Bouaziz, O.; Maire, E. Damage Evolution in TWIP and Standard Austenitic Steel by Means of 3D X Ray Tomography. Mater. Sci. Eng. A 2013, 579, 92–98. [Google Scholar] [CrossRef]
- Bull, D.J.; Helfen, L.; Sinclair, I.; Spearing, S.M.; Baumbach, T. A Comparison of Multi-Scale 3D X-ray Tomographic Inspection Techniques for Assessing Carbon Fibre Composite Impact Damage. Compos. Sci. Technol. 2013, 75, 55–61. [Google Scholar] [CrossRef]
- Dzioba, I.; Lipiec, S.; Pała, R.; Furmańczyk, P. On Characteristics of Ferritic Steel Determined during the Uniaxial Tensile Test. Materials 2021, 14, 3117. [Google Scholar] [CrossRef]
- Dzioba, I.; Lipiec, S. Calibration of the Constitutive Equations for Materials with Different Levels of Strength and Plasticity Characteristic Based on the Uniaxial Tensile Test Data. IOP Conf. Ser. Mater. Sci. Eng. 2018, 461, 012018. [Google Scholar] [CrossRef]
- Pardoen, T.; Doghri, I.; Delannay, F. Experimental and Numerical Comparison of Void Growth Models and Void Coalescence Criteria for the Prediction of Ductile Fracture in Copper Bars. Acta Mater. 1998, 46, 541–552. [Google Scholar] [CrossRef]
- Rice, J.R.; Tracey, D.M. On the Ductile Enlargement of Voids in Triaxial Stress Fields. J. Mech. Phys. Solids 1968, 17, 201–217. [Google Scholar] [CrossRef]
- Leblond, J.; Perrin, G.; Devaux, J. An Improved Gurson-Type Model for Hardenable Ductile Metals. Eur. J. Mech. Solids 1995, 14, 499–527. [Google Scholar]
- Brown, L.M.; Embury, J.D. The Initiation and Growth of Voids at Second Phase Particles. Ins. Met. Monogr. Rep. Ser. 1973, 1, 164–169. [Google Scholar]
- Thomason, P.F. A Three-Dimensional Model for Ductile Fracture by the Growth and Coalescence of Microvoids. Acta Metall. 1985, 33, 1087–1095. [Google Scholar] [CrossRef]
- Worswick, M.J.; Pick, R.J. Void Growth and Constitutive Softening in a Periodically Voided Solid. J. Mech. Phys. Solids 1990, 38, 601–625. [Google Scholar] [CrossRef]
- Benzerga, A.A.; Besson, J.; Pineau, A. Coalescence-Controlled Anisotropic Ductile Fracture. J. Eng. Mater. Technol. Trans. ASME 1999, 121, 221–229. [Google Scholar] [CrossRef]
- Benzerga, A.A. Micromechanics of Coalescence in Ductile Fracture. J. Mech. Phys. Solids 2002, 50, 1331–1362. [Google Scholar] [CrossRef]
- Zhang, K.S.; Bai, J.B.; François, D. Numerical Analysis of the Influence of the Lode Parameter on Void Growth. Int. J. Solids Struct. 2001, 38, 5847–5856. [Google Scholar] [CrossRef]
- Morin, L.; Leblond, J.-B.; Benzerga, A.A. Coalescence of Voids by Internal Necking: Theoretical Estimates and Numerical Results. J. Mech. Phys. Solids 2015, 75, 140–158. [Google Scholar] [CrossRef]
- Benzerga, A.A.; Leblond, J.-B. Effective Yield Criterion Accounting for Microvoid Coalescence. J. Appl. Mech. Trans. ASME 2014, 81, 031009. [Google Scholar] [CrossRef]
- Barsoum, I.; Faleskog, J. Micromechanical Analysis on the Influence of the Lode Parameter on Void Growth and Coalescence. Int. J. Solids Struct. 2011, 48, 925–938. [Google Scholar] [CrossRef]
- Needleman, A.; Tvergaard, V. Analyses of Plastic Flow Localization in Metals. Appl. Mech. Rev. 1992, 45, S3–S18. [Google Scholar] [CrossRef]
- Barsoum, I.; Faleskog, J. Rupture Mechanisms in Combined Tension and Shear—Micromechanics. Int. J. Solids Struct. 2007, 44, 5481–5498. [Google Scholar] [CrossRef]
- Giovanola, J.; Cannizzaro, D.; Doglione, R.; Rossoll, A. Ductile Fracture by Void Nucleation at Carbides. In Fracture of Nano and Engineering Materials and Structures; Gdoutos, E.E., Ed.; Springer Netherlands: Dordrecht, The Netherlands, 2006; pp. 137–138. ISBN 978-1-4020-4971-2. [Google Scholar]
- Kim, J.; Gao, X.; Srivatsan, T.S. Modeling of Void Growth in Ductile Solids: Effects of Stress Triaxiality and Initial Porosity. Eng. Fract. Mech. 2004, 71, 379–400. [Google Scholar] [CrossRef]
- Gologanu, M.; Leblond, J.-B.; Devaux, J. Theoretical Models for Void Coalescence in Porous Ductile Solids. II. Coalescence “in Columns”. Int. J. Solids Struct. 2001, 38, 5595–5604. [Google Scholar] [CrossRef]
- Scheyvaerts, F.; Onck, P.R.; Tekoglu, C.; Pardoen, T. The Growth and Coalescence of Ellipsoidal Voids in Plane Strain under Combined Shear and Tension. J. Mech. Phys. Solids 2011, 59, 373–397. [Google Scholar] [CrossRef]
- Nielsen, K.L.; Tvergaard, V. Failure by Void Coalescence in Metallic Materials Containing Primary and Secondary Voids Subject to Intense Shearing. Int. J. Solids Struct. 2011, 48, 1255–1267. [Google Scholar] [CrossRef]
- Leblond, J.-B.; Mottet, G. A Theoretical Approach of Strain Localization within Thin Planar Bands in Porous Ductile Materials. Comptes Rendus Mécanique 2008, 336, 176–189. [Google Scholar] [CrossRef]
- Pardoen, T.; Hutchinson, J.W. An Extended Model for Void Growth and Coalescence. J. Mech. Phys. Solids 2000, 48, 2467–2512. [Google Scholar] [CrossRef]
- Zhu, Y.; Engelhardt, M.D.; Kiran, R. Combined Effects of Triaxiality, Lode Parameter and Shear Stress on Void Growth and Coalescence. Eng. Fract. Mech. 2018, 199, 410–437. [Google Scholar] [CrossRef]
- Zhang, Z.; Wu, Y.; Huang, F. Extension of a Shear-Controlled Ductile Fracture Criterion by Considering the Necking Coalescence of Voids. Int. J. Solids Struct. 2022, 236–237, 111324. [Google Scholar] [CrossRef]
- Tekoglu, C.; Leblond, J.-B.; Pardoen, T. A Criterion for the Onset of Void Coalescence under Combined Tension and Shear. J. Mech. Phys. Solids 2012, 60, 1363–1381. [Google Scholar] [CrossRef]
- Wen, J.; Huang, Y.; Hwang, K.C.; Liu, C.; Li, M. The Modified Gurson Model Accounting for the Void Size Effect. Int. J. Plast. 2005, 21, 381–395. [Google Scholar] [CrossRef]
- Khan, I.A.; Bhasin, V. On the Role of Secondary Voids and Their Distribution in the Mechanism of Void Growth and Coalescence in Porous Plastic Solids. Int. J. Solids Struct. 2017, 108, 203–215. [Google Scholar] [CrossRef]
- Faleskog, J.; Shih, C.F. Micromechanics of Coalescence—I. Synergistic Effects of Elasticity, Plastic Yielding and Multi-Size-Scale Voids. J. Mech. Phys. Solids 1997, 45, 21–50. [Google Scholar] [CrossRef]
- Tvergaard, V. Effect of Void Size Difference on Growth and Cavitation Instabilities. J. Mech. Phys. Solids 1996, 44, 1237–1253. [Google Scholar] [CrossRef]
- Zybell, L.; Hütter, G.; Linse, T.; Mühlich, U.; Kuna, M. Size Effects in Ductile Failure of Porous Materials Containing Two Populations of Voids. Eur. J. Mech.-ASolids 2014, 45, 8–19. [Google Scholar] [CrossRef]
- Seidenfuss, M.; Samal, M.K.; Roos, E. On Critical Assessment of the Use of Local and Nonlocal Damage Models for Prediction of Ductile Crack Growth and Crack Path in Various Loading and Boundary Conditions. Int. J. Solids Struct. 2011, 48, 3365–3381. [Google Scholar] [CrossRef]
- Chu, C.; Needleman, A. Void Nucleation Effects in Biaxially Stretched Sheets. J. Eng. Mater. Technol. 1980, 102, 249. [Google Scholar] [CrossRef]
- Mercier, S.; Molinari, A. Predictions of Bifurcation and Instabilities during Dynamic Extension. Int. J. Solids Struct. 2003, 40, 1995–2016. [Google Scholar] [CrossRef]
- Aretz, H. Numerical Analysis of Diffuse and Localized Necking in Orthotropic Sheet Metals. Int. J. Plast. 2007, 23, 798–840. [Google Scholar] [CrossRef]
- Luo, T.; Gao, X. On the Prediction of Ductile Fracture by Void Coalescence and Strain Localization. J. Mech. Phys. Solids 2018, 113, 82–104. [Google Scholar] [CrossRef]
- Yamamoto, H. Conditions for Shear Localization in the Ductile Fracture of Void-Containing Materials. Int. J. Fract. 1978, 14, 347–365. [Google Scholar] [CrossRef]
- Czarnota, C.; Mercier, S.; Molinari, A. Modelling of Nucleation and Void Growth in Dynamic Pressure Loading, Application to Spall Test on Tantalum. Int. J. Fract. 2006, 141, 177–194. [Google Scholar] [CrossRef]
- Osovski, S.; Srivastava, A.; Ponson, L.; Bouchaud, E.; Tvergaard, V.; Ravi-Chandar, K.; Needleman, A. The Effect of Loading Rate on Ductile Fracture Toughness and Fracture Surface Roughness. J. Mech. Phys. Solids 2015, 76, 20–46. [Google Scholar] [CrossRef]
- Wang, H.; Wu, P.; Kurukuri, S.; Worswick, M.J.; Peng, Y.; Tang, D.; Li, D. Strain Rate Sensitivities of Deformation Mechanisms in Magnesium Alloys. Int. J. Plast. 2018, 107, 207–222. [Google Scholar] [CrossRef]
- Reboul, J.; Srivastava, A.; Osovski, S.; Vadillo, G. Influence of Strain Rate Sensitivity on Localization and Void Coalescence. Int. J. Plast. 2020, 125, 265–279. [Google Scholar] [CrossRef]
- Tvergaard, V. Effect of Void Cluster on Ductile Failure Evolution. Meccanica 2016, 51, 3097–3105. [Google Scholar] [CrossRef]
- Tvergaard, V. Nucleation from a Cluster of Inclusions, Leading to Void Coalescense. Int. J. Mech. Sci. 2017, 133, 631–638. [Google Scholar] [CrossRef]
- Bandstra, J.; Koss, D.; Geltmacher, A.; Matic, P.; Everett, R. Modeling Void Coalescence during Ductile Fracture of a Steel. Mater. Sci. Eng. A 2004, 366, 269–281. [Google Scholar] [CrossRef]
- Fritzen, F.; Forest, S.; Böhlke, T.; Kondo, D.; Kanit, T. Computational Homogenization of Elasto-Plastic Porous Metals. Int. J. Plast. 2012, 29, 102–119. [Google Scholar] [CrossRef]
- Hure, J. Yield Criterion and Finite Strain Behavior of Random Porous Isotropic Materials. Eur. J. Mech.-ASolids 2021, 85, 104143. [Google Scholar] [CrossRef]
- Matérn, B. Spatial Variation; Lecture Notes in Statistics; Springer: New York, NY, USA, 1986; Volume 36, ISBN 978-0-387-96365-5. [Google Scholar]
- Dæhli, L.E.B.; Tekoğlu, C.; Morin, D.; Børvik, T.; Hopperstad, O.S. Ductile Failure Predictions Using Micromechanically-Based Computational Models. J. Mech. Phys. Solids 2022, 164, 104873. [Google Scholar] [CrossRef]
- Rice, J. Localization of Plastic Deformation. Theor. Appl. Mech. 1976, 1, 207–220. [Google Scholar]
- Legarth, B.N.; Tvergaard, V. Localization in a Plastically Anisotropic Void-Sheet. Eng. Fract. Mech. 2023, 285, 109236. [Google Scholar] [CrossRef]
- Guo, T.F.; Wong, W.H. Void-Sheet Analysis on Macroscopic Strain Localization and Void Coalescence. J. Mech. Phys. Solids 2018, 118, 172–203. [Google Scholar] [CrossRef]
- Dzioba, I.; Lipiec, S. Fracture Mechanisms of S355 Steel—Experimental Research, FEM Simulation and SEM Observation. Materials 2019, 12, 3959. [Google Scholar] [CrossRef]
- Dzioba, I.; Furmańczyk, P.; Lipiec, S. Determination of the Fracture Toughness Characteristics of S355JR Steel. Arch. Metall. Mater. 2018, 63, 97–503. [Google Scholar]
- Zvirko, O.; Tsyrulnyk, O.; Lipiec, S.; Dzioba, I. Evaluation of Corrosion, Mechanical Properties and Hydrogen Embrittlement of Casing Pipe Steels with Different Microstructure. Materials 2021, 14, 7860. [Google Scholar] [CrossRef] [PubMed]
- Neimitz, A.; Lipiec, S. Fracture Toughness Correction Due to the In- and out-of-Plane Constraints. Theor. Appl. Fract. Mech. 2021, 112, 102844. [Google Scholar] [CrossRef]
- Dzioba, I.; Lipiec, S.; Furmańczyk, P.; Pała, R. Investigation of Fracture Process of S355JR Steel in Transition Region Using Metallographic and Fractographic Tests and Numerical Analysis. Acta Mech. Autom. 2018, 12, 145–150. [Google Scholar] [CrossRef]
- Xia, L.; Shih, C.F. Ductile Crack Growth-I. A Numerical Study Using Computational Cells with Microstructurally-Based Length Scales. J. Mech. Phys. Solids 1995, 43, 233–259. [Google Scholar] [CrossRef]















Disclaimer/Publisher’s Note: The statements, opinions and data contained in all publications are solely those of the individual author(s) and contributor(s) and not of MDPI and/or the editor(s). MDPI and/or the editor(s) disclaim responsibility for any injury to people or property resulting from any ideas, methods, instructions or products referred to in the content. |
© 2023 by the authors. Licensee MDPI, Basel, Switzerland. This article is an open access article distributed under the terms and conditions of the Creative Commons Attribution (CC BY) license (https://creativecommons.org/licenses/by/4.0/).
Share and Cite
Wciślik, W.; Lipiec, S. Voids Development in Metals: Numerical Modelling. Materials 2023, 16, 4998. https://doi.org/10.3390/ma16144998
Wciślik W, Lipiec S. Voids Development in Metals: Numerical Modelling. Materials. 2023; 16(14):4998. https://doi.org/10.3390/ma16144998
Chicago/Turabian StyleWciślik, Wiktor, and Sebastian Lipiec. 2023. "Voids Development in Metals: Numerical Modelling" Materials 16, no. 14: 4998. https://doi.org/10.3390/ma16144998
APA StyleWciślik, W., & Lipiec, S. (2023). Voids Development in Metals: Numerical Modelling. Materials, 16(14), 4998. https://doi.org/10.3390/ma16144998

