Domain Switching-Based Nonlinear Coupling Response for Giant Magnetostrictive Materials
Abstract
1. Introduction
2. Theoretical and Model
2.1. On
2.2. On
2.3. On
2.4. On
2.5. On
2.6. On
3. Hysteresis Effect
Model Implementation of Total Magnetization M
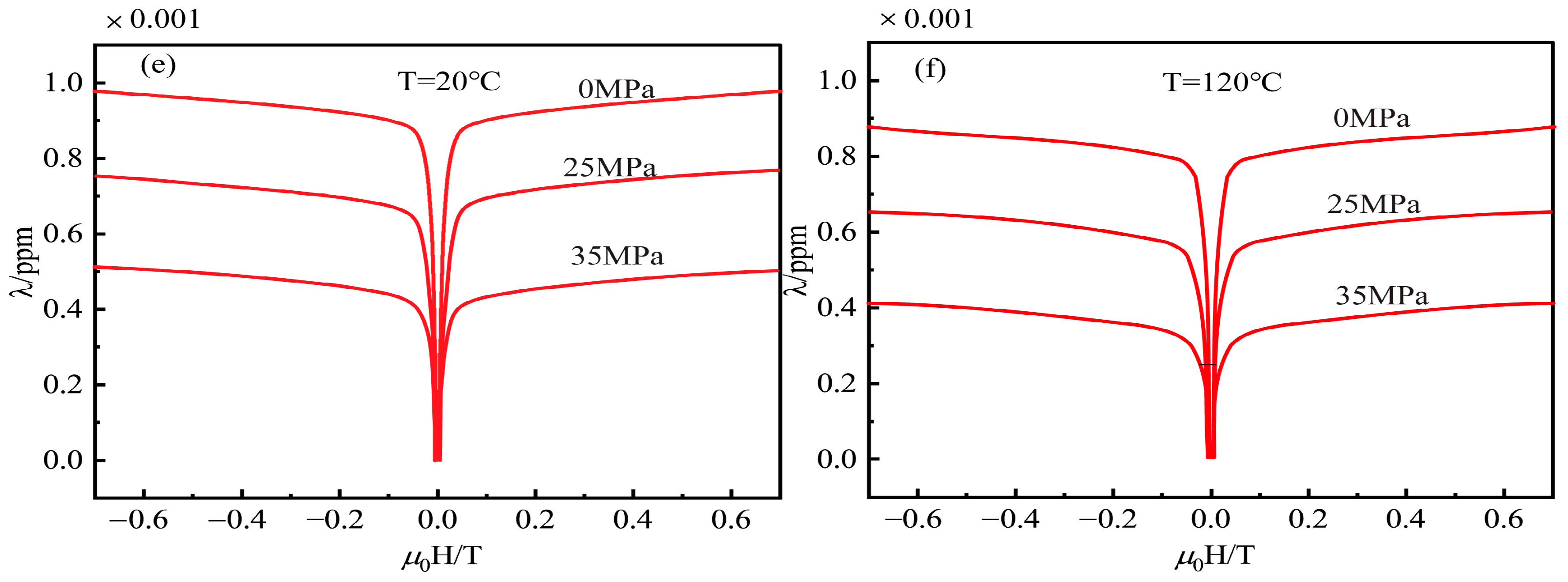
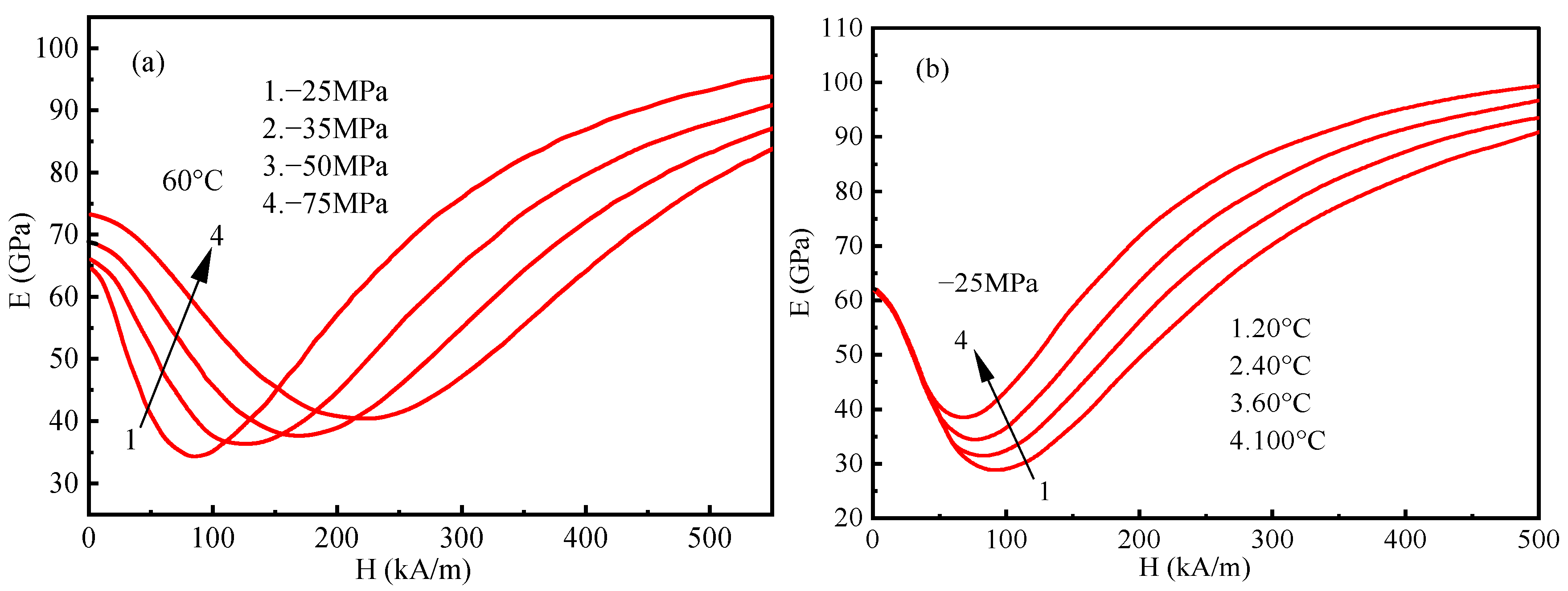
4. Model Verification and Discussion
5. Conclusions
- The proposed model can accurately predict giant magnetostrictive materials’ deformation and hysteresis effects in ultrasonic systems by comprehensively considering parametric information at different scales and the coupled magnetic-elastic-thermal-mechanical impacts in a mixed external environment.
- The impact of various external forces on the stress-induced magnetic anisotropy properties of the two-dimensional magnetostrictive film is being considered. It can be inferred that meticulous attention must be given to these design factors to facilitate the expansion of magnetostrictive materials in ultrasonic processing systems.
Author Contributions
Funding
Institutional Review Board Statement
Informed Consent Statement
Data Availability Statement
Conflicts of Interest
References
- Ma, K.; Wang, J.; Zhang, J.; Feng, P.; Yu, D.; Ahmad, S. A highly temperature-stable and complete-resonance rotary giant magnetostrictive ultrasonic system. Int. J. Mech. Sci. 2022, 214, 106927. [Google Scholar] [CrossRef]
- Li, P.; Liu, Q.; Zhou, X.; Xu, G.; Li, W.; Wang, Q.; Yang, M. Effect of terfenol-d rod structure on vibration performance of giant magnetostrictive ultrasonic transducer. J. Vib. Control 2020, 27, 573–581. [Google Scholar] [CrossRef]
- Weng, L.; Cao, X.; Hu, X.; Huang, W.; Wang, B. Output characteristics of double coil fe-ga alloy transducer. Diangong Jishu Xuebao Trans. China Electrotech. Soc. 2018, 33, 4476–4485. [Google Scholar]
- Xie, D.; Yang, Y.; Yang, B. Self-sensing magnetostrictive actuator based on ΔE effect: Design, theoretical modeling and experiment. Smart Mater. Struct. 2022, 31, 055007. [Google Scholar] [CrossRef]
- Lou, G.; Yu, X.; Lu, S. Equivalent circuit model for plate-type magnetoelectric laminate composite considering an interface coupling factor. Acta Phys. Sin. 2018, 67, 27501. [Google Scholar]
- Zhou, H.; Zhang, J.; Feng, P.; Yu, D.; Cai, W. An output amplitude model of a giant magnetostrictive rotary ultrasonic machining system considering load effect. Precis. Eng. 2019, 60, 340–347. [Google Scholar] [CrossRef]
- Sun, X.; Liu, Y.; Hu, W.; Sun, T.; Hu, J. Design optimization of a giant magnetostrictive driving system for large stroke application considering vibration suppression in working process. Mech. Syst. Signal Process. 2020, 138, 106560. [Google Scholar] [CrossRef]
- Yu, C.; Kang, G. A multiscale magneto-thermo-mechanically coupled model for ultra-low-field induced magneto-elastocaloric effect in magnetostrictive-shape memory alloy composite system. Int. J. Eng. Sci. 2021, 168, 103539. [Google Scholar] [CrossRef]
- Shi, P. Magneto-elastoplastic coupling model of ferromagnetic material with plastic deformation under applied stress and magnetic fields. J. Magn. Magn. Mater. 2020, 512, 166980. [Google Scholar] [CrossRef]
- Clark, A.; Crowder, D. High temperature magnetostriction of tbfe2and tb.27dy.73fe2. IEEE Trans. Magn. 1985, 21, 1945–1947. [Google Scholar] [CrossRef]
- Carman, G.P.; Mitrovic, M. Nonlinear constitutive relations for magnetostrictive materials with applications to 1-d problems. J. Intell. Mater. Syst. Struct. 1995, 6, 673–683. [Google Scholar] [CrossRef]
- Duenas, T.A.; Hsu, L.; Cakman, G.P. Magnetostrictive composite material systems analytical/experimental. MRS Proc. 1996, 459, 527. [Google Scholar] [CrossRef]
- Zheng, X.; Liu, X. A nonlinear constitutive model for terfenol-d rods. J. Appl. Phys. 2005, 97, 53901. [Google Scholar] [CrossRef]
- Jin, K.; Kou, Y.; Zheng, X. A nonlinear magneto-thermo-elastic coupled hysteretic constitutive model for magnetostrictive alloys. J. Magn. Magn. Mater. 2012, 324, 1954–1961. [Google Scholar] [CrossRef]
- Armstrong, W.D. Magnetization and magnetostriction processes in tb-(0.27-0.30)dy-(0.73-0.70)fe-(1.9-2.0). J. Appl. Phys. 1997, 81, 2321–2326. [Google Scholar] [CrossRef]
- Huang, W.; Wang, B.; Cao, S.; Ying, S.; Ling, W.; Chen, H. Dynamic strain model with eddy current effects for giant magnetostrictive transducer. IEEE Trans. Magn. 2000, 43, 1381–1384. [Google Scholar] [CrossRef]
- Hubert, O. Multiscale magneto-elastic modeling of magnetic materials including isotropic second order stress effect. J. Magn. Magn. Mater. 2019, 491, 165564. [Google Scholar] [CrossRef]
- Daniel, L.; Domenjoud, M. Anhysteretic magneto-elastic behaviour of terfenol-d: Experiments, multiscale modelling and analytical formulas. Materials 2021, 14, 5165. [Google Scholar] [CrossRef] [PubMed]
- Hauser, H.; Melikhov, Y.; Jiles, D.C. Examination of the equivalence of ferromagnetic hysteresis models describing the dependence of magnetization on magnetic field and stress. IEEE Trans. Magn. 2009, 45, 1940–1949. [Google Scholar] [CrossRef]
- Deng, Z. Nonlinear Modeling and Characterization of the Villari Effect and Model-Guided Development of Magnetostrictive Energy Harvesters and Dampers. Ph.D. Thesis, The Ohio State University, Columbus, OH, USA, 2015. [Google Scholar]
- Scheidler, J.J. Static and Dynamic Delta E Effect in Magnetostrictive Materials with Application to Electrically-Tunable Vibration Control Devices. Ph.D. Thesis, The Ohio State University, Columbus, OH, USA, 2015. [Google Scholar]
- Lu, Y.; Guo, R.; Zhang, T.; Chen, Z. Micromagnetic simulation of magnetic domain structures evolution of fega alloys by phase-field method. Mater. Sci. Eng. B 2020, 252, 114471. [Google Scholar] [CrossRef]
- Zhou, H.; Zhou, Y.; Zheng, X.; Ye, Q.; Wei, J. A general 3-d nonlinear magnetostrictive constitutive model for soft ferromagnetic materials. J. Magn. Magn. Mater. 2009, 321, 281–290. [Google Scholar] [CrossRef]
- Zhou, H.; Li, M.; Li, X.; Zhang, D. An analytical and explicit multi-field coupled nonlinear constitutive model for terfenol-d giant magnetostrictive material. Smart Mater. Struct. 2016, 25, 85036. [Google Scholar] [CrossRef]
- Xiao, Y.; Gou, X.; Zhang, D. A one-dimension nonlinear hysteretic constitutive model with elasto-thermo-magnetic coupling for giant magnetostrictive materials. J. Magn. Magn. Mater. 2017, 441, 642–649. [Google Scholar] [CrossRef]
- Zhang, D.G.; Li, M.H.; Zhou, H.M. A general one-dimension nonlinear magneto-elastic coupled constitutive model for magnetostrictive materials. AIP Adv. 2015, 5, 107201. [Google Scholar] [CrossRef]
- Li, W.; Kim, I.H.; Jang, S.M.; Koh, C.S. Hysteresis modeling for electrical steel sheets using improved vector jiles-atherton hysteresis model. IEEE Trans. Magn. 2011, 47, 3821–3824. [Google Scholar] [CrossRef]
- Leite, J.V.; Sadowski, N.; Kuo-Peng, P.; Batistela, N.J.; Bastos, J.; Deespindola, A.A. Inverse jiles-atherton vector hysteresis model. IEEE Trans. Magn. 2004, 40, 1769–1775. [Google Scholar] [CrossRef]
- Schatz, F.; Hirscher, M.; Schnell, M.; Flik, G.; Kronmu Ller, H. Magnetic anisotropy and giant magnetostriction of amorphous tbdyfe films. J. Appl. Phys. 1994, 76, 5380–5382. [Google Scholar] [CrossRef]
- Moffett; Mark, B. Characterization of terfenol-d for magnetostrictive transducers. J. Acoust. Soc. Am. 1991, 89, 1448–1455. [Google Scholar] [CrossRef]
- Gao, X.; Pei, Y.; Fang, D. Experimental study on magneto-thermo-mechanical behaviors of terfenol-d. J. Solid Mech. Mater. Eng. 2010, 4, 652–657. [Google Scholar] [CrossRef]
- Kellogg, R.; Flatau, A. Experimental investigation of terfenol-d's elastic modulus. J. Intell. Mater. Syst. Struct. 2007, 19, 583–595. [Google Scholar] [CrossRef]
- Liang, Y.; Zheng, X. Experimental researches on magneto-thermo-mechanical characterization of terfenol-d. Acta Mech. Solida Sin. 2007, 20, 283–288. [Google Scholar] [CrossRef]










Disclaimer/Publisher’s Note: The statements, opinions and data contained in all publications are solely those of the individual author(s) and contributor(s) and not of MDPI and/or the editor(s). MDPI and/or the editor(s) disclaim responsibility for any injury to people or property resulting from any ideas, methods, instructions or products referred to in the content. |
© 2023 by the authors. Licensee MDPI, Basel, Switzerland. This article is an open access article distributed under the terms and conditions of the Creative Commons Attribution (CC BY) license (https://creativecommons.org/licenses/by/4.0/).
Share and Cite
Chen, Y.; Li, P.; Sun, J.; Chen, G. Domain Switching-Based Nonlinear Coupling Response for Giant Magnetostrictive Materials. Materials 2023, 16, 4914. https://doi.org/10.3390/ma16144914
Chen Y, Li P, Sun J, Chen G. Domain Switching-Based Nonlinear Coupling Response for Giant Magnetostrictive Materials. Materials. 2023; 16(14):4914. https://doi.org/10.3390/ma16144914
Chicago/Turabian StyleChen, Yunshuai, Pengyang Li, Jian Sun, and Guoqing Chen. 2023. "Domain Switching-Based Nonlinear Coupling Response for Giant Magnetostrictive Materials" Materials 16, no. 14: 4914. https://doi.org/10.3390/ma16144914
APA StyleChen, Y., Li, P., Sun, J., & Chen, G. (2023). Domain Switching-Based Nonlinear Coupling Response for Giant Magnetostrictive Materials. Materials, 16(14), 4914. https://doi.org/10.3390/ma16144914

