Study on Elastic Mixed Mode Fracture Behavior and II-III Coupling Effect
Abstract
1. Introduction
2. Research Subjects and Methods
2.1. Specimens and Loading Devices
2.2. Test Devices
2.3. Finite Element Models
3. I-II and I-III Mixed Mode Crack Propagation Behavior
3.1. The Distribution of K Factor along the Thickness Direction
3.2. Stress Field Analyses
3.3. Crack Growth Behavior
- (1)
- Analyses of experimental results
- (2)
- Comparison between experimental study and theoretical solution
4. Study on II-III and I-II-III Mixed Mode Crack Propagation Behavior
4.1. Fracture Specimen
4.2. Analyses of Mixed Mode Crack Propagation Behavior
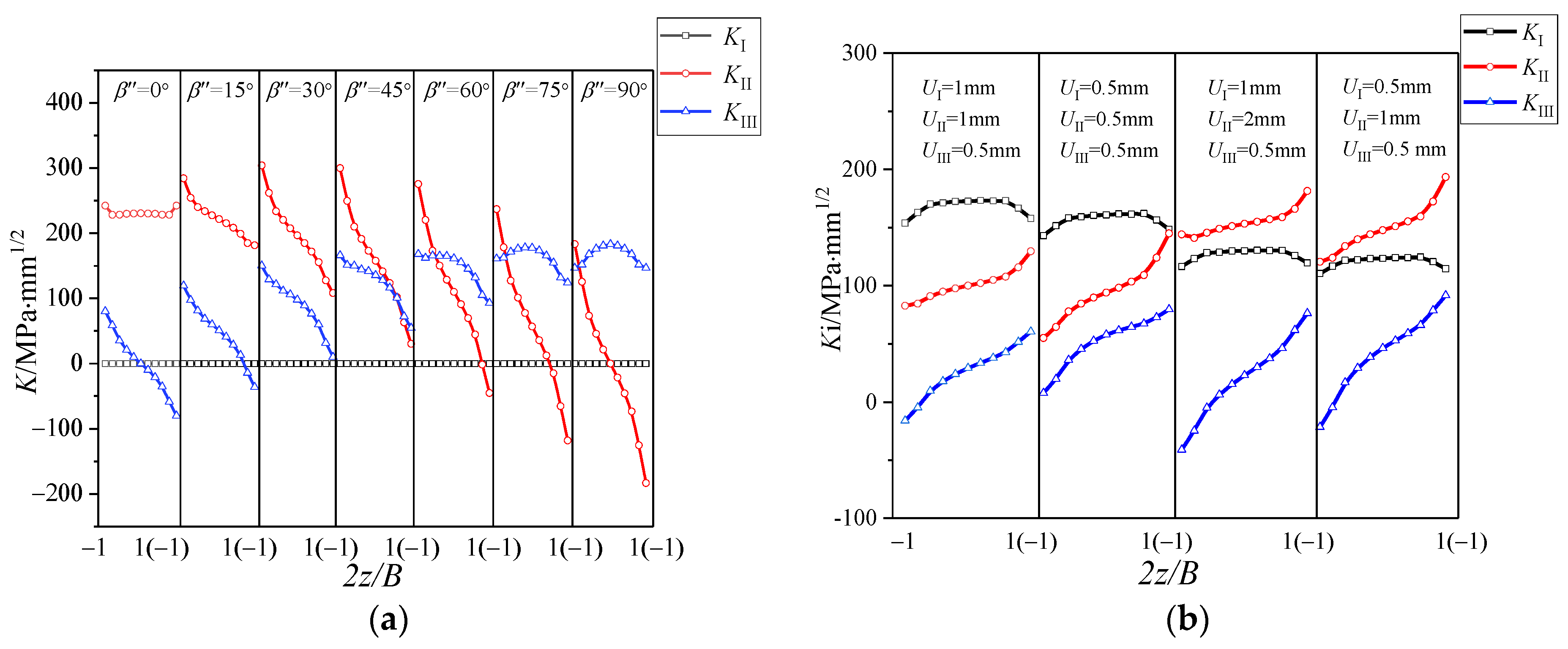
4.2.1. Study on the Distribution of K Factor
4.2.2. Theoretical Analyses and Discussions
- (1)
- Theoretical analyses of II-III mixed mode crack
- (2)
- Theoretical analyses of I-II-III mixed mode crack
- (i)
- Since KIIC and KIIIC are anti-symmetric about the center points, KIIA ≈ KIIave ≈ , KIIIA ≈ KIIIave ≈ ;
- (ii)
- The coupling factor (CII and CIII) is calculated as follows: CII = KIIA/KIIIC-out ≈ KIIA/(KIIIout − KIIIA) and CIII = KIIC-out/KIIIA ≈ (KIIout − KIIA)/KIIIA, where KiA and Kiout are the K factors induced by loading and at the outer surface, which both can be obtained by finite element method (i = II, III);
- (iii)
- Note that the A and B above are functions related to KII/(KI + KII + KIII) and KIII/(KI + KII + KIII), respectively, where KI, KII and KIII are caused by loading, denoted by KIA, KIIA and KIIIA, or the average value of K along the thickness direction (KIave, KIIave, KIIIave). For convenience, it is considered that Ki = KiA = Kiave (i = I, II, III).
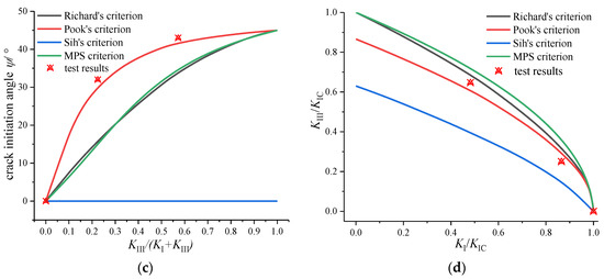
4.3. Discussion and Verification of the New Criterion
5. Conclusions
- (1)
- The cracked specimen will produce the coupling effect at the crack tip, with I-II mixed mode or I-III mixed mode loading applied. The coupling component is antisymmetric with respect to the middle plane of the specimen. For the I-II mixed mode crack, the coupling degree is low, while for the I-III mixed mode crack, the coupling degree is high. Moreover, the mixed mode crack tip field is greatly affected by the coupling effect, there are great differences in the crack tip field between the middle surface and the outer surface of the specimen.
- (2)
- The I-II mixed mode fracture criterion can accurately predict the fracture behavior of the CTS specimens under I-II mixed mode loading, and the coupling effect has little effect. However, there are great differences between the I-III mixed mode fracture criteria. The Richard criterion is in good agreement with the experimental results, while the coupling effect cannot be ignored.
- (3)
- The mode II component is the main cause of crack deflection. The KIIA caused by loading causes the plane expansion (φ0), and the KIIC caused by coupling causes the spatial expansion (ψ0). The spatial propagation angle (ψ0) can be described by the propagation angle (φ0out) at the outer surface.
- (4)
- The II-III mixed mode loading and I-II-III mixed mode loading also have the II-III coupling effect, and also meet the rule of “KIIA by loading causes the plane crack propagation and KIIC by the coupling effect causes spatial crack propagation”. Based on the above conclusions, a propagation criterion suitable for any I-II-III mixed mode crack is proposed, which can accurately evaluate the propagation angle of the mixed mode crack. Moreover, in addition to the crack initiation angle, fracture toughness is also an important factor at the crack tip, the prediction of which, considering the coupling effect, will be discussed in our next study.
Author Contributions
Funding
Institutional Review Board Statement
Informed Consent Statement
Data Availability Statement
Acknowledgments
Conflicts of Interest
References
- Richard, H.; Fulland, M.; Sander, M. Theoretical crack path prediction. Fatigue Fract. Eng. Mater. Struct. 2005, 28, 3–12. [Google Scholar] [CrossRef]
- Miao, X.T.; Yu, Q.; Zhou, C.Y. Experimental and numerical investigation on fracture behavior of I-II mixed mode crack for commercially pure Titanium. Theor. Appl. Fract. Mech. 2018, 96, 202–215. [Google Scholar] [CrossRef]
- Smith, D.J.; Swankie, T.D.; Pavier, M.J. The effect of specimen dimensions on mixed mode ductile fracture. Eng. Fract. Mech. 2008, 75, 4394–4409. [Google Scholar] [CrossRef]
- Erdogan, F.; Sih, G.C. On the crack extension of plates under plane loading and transverse shear. J. Basic Eng. 1963, 85, 519–527. [Google Scholar] [CrossRef]
- Sih, G.C. Strain-energy-density factor applied to mixed mode crack problems. Int. J. Fatigue 1974, 10, 305–321. [Google Scholar] [CrossRef]
- Ma, F.; Deng, X.; Sutton, M.A.; Newman, J.C. Mixed-Mode Crack Behavior, Chapter a CTOD-Based Mixed-Mode Fracture Criterion; Number STP 1359; ASTM American Society for Testing and Materials: West Conshohocken, PA, USA, 1999; pp. 86–110. [Google Scholar]
- Li, J.; Zhang, X.B.; Recho, N. J-MP based criteria for bifurcation assessment of a crack in elastic-plastic materials under mixed mode I-II loading. Eng. Fract. Mech. 2004, 71, 329–343. [Google Scholar] [CrossRef]
- Pook, L.P. On fatigue crack paths. Int. J. Fatigue 1995, 17, 5–13. [Google Scholar] [CrossRef]
- Xie, Q.; Qi, H.; Li, S.; Yang, X.; Shi, D. A phase-field model for mixed-mode elastoplastic fatigue crack. Eng. Fract. Mech. 2023, 282, 109176. [Google Scholar] [CrossRef]
- Wang, S.; Yang, B.; Li, J.; Zhou, S.; Xiao, S. Mixed mode crack growth behaviour considering plasticity-induced and roughness-induced closure. Eng. Fract. Mech. 2023, 289, 109430. [Google Scholar] [CrossRef]
- Xie, Q.; Qi, H.; Li, S.; Yang, X.; Shi, D. Experimental and numerical investigation of mixed-mode fatigue crack growth in nickel-based superalloy at high temperature. Eng. Fract. Mech. 2023, 273, 108736. [Google Scholar] [CrossRef]
- Richard, H.A.; Schramm, B.; Schirmeisen, N.H. Cracks on Mixed Mode loading-Theories, experiments, simulations. Int. J. Fatigue 2014, 62, 93–103. [Google Scholar] [CrossRef]
- Schöllmann, M.; Richard, H.A.; Kullmer, G.; Fulland, M. A new criterion for the prediction of crack development in multiaxially loaded structures. Int. J. Fatigue 2002, 117, 129–141. [Google Scholar]
- Zhang, P.; Xie, L.Q.; Zhou, C.Y.; He, X.H. Experimental and numerical investigation on fatigue crack growth behavior of commercial pure titanium under I-II mixed mode loading at negative load ratios. Int. J. Fatigue 2020, 138, 105700. [Google Scholar] [CrossRef]
- Ayhan, A.O.; Demir, O. Computational modeling of three-dimensional mixed mode-I/II/III fatigue crack growth problems and experiments. Comput. Struct. 2021, 243, 106399. [Google Scholar] [CrossRef]
- Yaren, M.F.; Demir, O.; Ayhan, A.O.; İriç, S. Three-Dimensional Mode-I/III Fatigue Crack Propagation: Computational Modeling and Experiments. Int. J. Fatigue 2019, 121, 124–134. [Google Scholar] [CrossRef]
- Miao, X.; Hong, H.; Peng, J.; Ping, T.; Fengfeng, B.; Chenyang, J. Study on mixed-mode fracture behavior of TC4 titanium alloy. Theor. Appl. Fract. Mech. 2023, 125, 103911. [Google Scholar] [CrossRef]
- Richard, H.A.; Eberlein, A.; Schirmeisen, N.H. Experiments on cracks under spatial loading. In Proceedings of the 13th International Conference on Fracture, Bejing, China, 16–21 June 2013. [Google Scholar]
- Saseendran, V.; Berggreen, C. Mixed-mode fracture evaluation of aerospace grade honeycomb core sandwich specimens using the Double Cantilever Beam-Uneven Bending Moment test method. J. Sandw. Struct. Mater. 2020, 22, 991–1018. [Google Scholar] [CrossRef]
- Saseendran, V.; Berggreen, C. Mode mixity analysis of face/core debonds in a single cantilever beam sandwich specimen. J. Sandw. Struct. Mater. 2020, 22, 1879–1909. [Google Scholar] [CrossRef]
- Saseendran, V.; Carlsson, L.A.; Berggreen, C. Shear and foundation effects on crack root rotation and mode-mixity in moment- and force-loaded single cantilever beam sandwich specimen. J. Compos. Mater. 2017, 52, 2537–2547. [Google Scholar] [CrossRef]
- Kotousov, A.; Lazzarin, P.; Berto, F.; Pook, L.P. Three-dimensional stress states at crack tip induced by shear and anti-plane loading. Eng. Fract. Mech. 2013, 108, 65–74. [Google Scholar] [CrossRef]
- Miao, X.; Jiang, C.; Zhou, C.; Peng, J.; Gao, G. Effects of specimen type and thickness on elastic and elastic–plastic fracture parameters for I-II and I-III mixed mode cracks. Theor. Appl. Fract. Mech. 2021, 115, 103042. [Google Scholar] [CrossRef]
- Richard, H.A.; Kuna, M. Theoretical and experimental study of superimposed fracture modes I, II and III. Eng. Fract. Mech. 1990, 35, 949–960. [Google Scholar] [CrossRef]
- Aliha, M.; Samareh-Mousavi, S.S.; Mirsayar, M.M. Loading rate effect on mixed mode I/II brittle fracture behavior of PMMA using inclined cracked SBB specimen. Int. J. Solids Struct. 2021, 232, 111177. [Google Scholar] [CrossRef]
- Miao, X.; Hong, H.; Hong, X.; Peng, J.; Bie, F. Effect of Constraint and Crack Contact Closure on Fatigue Crack Mechanical Behavior of Specimen under Negative Loading Ratio by Finite Element Method. Metals 2022, 12, 1858. [Google Scholar] [CrossRef]
- GB/T 21143-2014; Metallic Materials-Unified Method of Test for Determination of Quasi Static Fracture Toughness. Standards Press of China: Beijing, China, 2014.


















| Presenter | Description | φ0/ψ0/KIC Models/Expression |
|---|---|---|
| Erdogan and Sih [4] (MTS criterion) | Maximum tangential stress criterion | |
| Schollmann [13] (MPS criterion) | Maximum principal stress criterion | |
| Sih [5] | Strain energy density criterion | |
| Richard [18] | an equivalent stress intensity factor Keq is defined comparable to the equivalent stress σeq | |
| Pook [10] |
| Minimum Mesh Size at Crack Tip/mm | 0.1 | 0.2 | 0.3 | Error % |
|---|---|---|---|---|
| J-integral at outer surface/N/mm | 3.634 | 3.609 | 3.621 | 0.6 |
| J-integral at middle surface/N/mm | 4.142 | 4.15 | 4.154 | 0.2 |
| Crack Type | Coupling Factor C | Plane Propagation Angle φ0/° | Spatial Propagation Angle ψ0 → φout/° |
|---|---|---|---|
| mode I | CI = KII/KIII = 1 | 0 | 0 |
| mode II | CII = KII/KIII > 1 | A × φ0II, A = 1 | 0 |
| mode III | CIII = KII/KIII ≤ 1 | 0 | ψ0 → φ0out, B × φ0III-out, B = 1 |
| I-II | CI-II = CII =KII/KIII > 1 | A × φ0II | 0 |
| I-III | CI-III = CIII =KII/KIII ≤ 1 | 0 | ψ0 → φ0out, B × φ0III-out |
| II-III | CII = 1 CIII = KII/KIII | A × φ0II | ψ0 → φ0out, B × φ0III-out |
| I-II-III | CII = 1 CIII = KII/KIII | A × φ0II | ψ0 → φ0out, B × φ0III-out |
Disclaimer/Publisher’s Note: The statements, opinions and data contained in all publications are solely those of the individual author(s) and contributor(s) and not of MDPI and/or the editor(s). MDPI and/or the editor(s) disclaim responsibility for any injury to people or property resulting from any ideas, methods, instructions or products referred to in the content. |
© 2023 by the authors. Licensee MDPI, Basel, Switzerland. This article is an open access article distributed under the terms and conditions of the Creative Commons Attribution (CC BY) license (https://creativecommons.org/licenses/by/4.0/).
Share and Cite
Miao, X.; Zhang, J.; Hong, H.; Peng, J.; Zhou, B.; Li, Q. Study on Elastic Mixed Mode Fracture Behavior and II-III Coupling Effect. Materials 2023, 16, 4879. https://doi.org/10.3390/ma16134879
Miao X, Zhang J, Hong H, Peng J, Zhou B, Li Q. Study on Elastic Mixed Mode Fracture Behavior and II-III Coupling Effect. Materials. 2023; 16(13):4879. https://doi.org/10.3390/ma16134879
Chicago/Turabian StyleMiao, Xinting, Jinbo Zhang, Haisheng Hong, Jian Peng, Binbin Zhou, and Qianqian Li. 2023. "Study on Elastic Mixed Mode Fracture Behavior and II-III Coupling Effect" Materials 16, no. 13: 4879. https://doi.org/10.3390/ma16134879
APA StyleMiao, X., Zhang, J., Hong, H., Peng, J., Zhou, B., & Li, Q. (2023). Study on Elastic Mixed Mode Fracture Behavior and II-III Coupling Effect. Materials, 16(13), 4879. https://doi.org/10.3390/ma16134879
