Fatigue Crack Propagation of Corroded High-Strength Steel Wires Using the XFEM and the EIFS
Abstract
:1. Introduction
2. Basic Knowledge
2.1. Extended Finite Element Method (XFEM)
2.2. Equivalent Initial Flaw Size (EIFS) Theory
3. Experimental Program
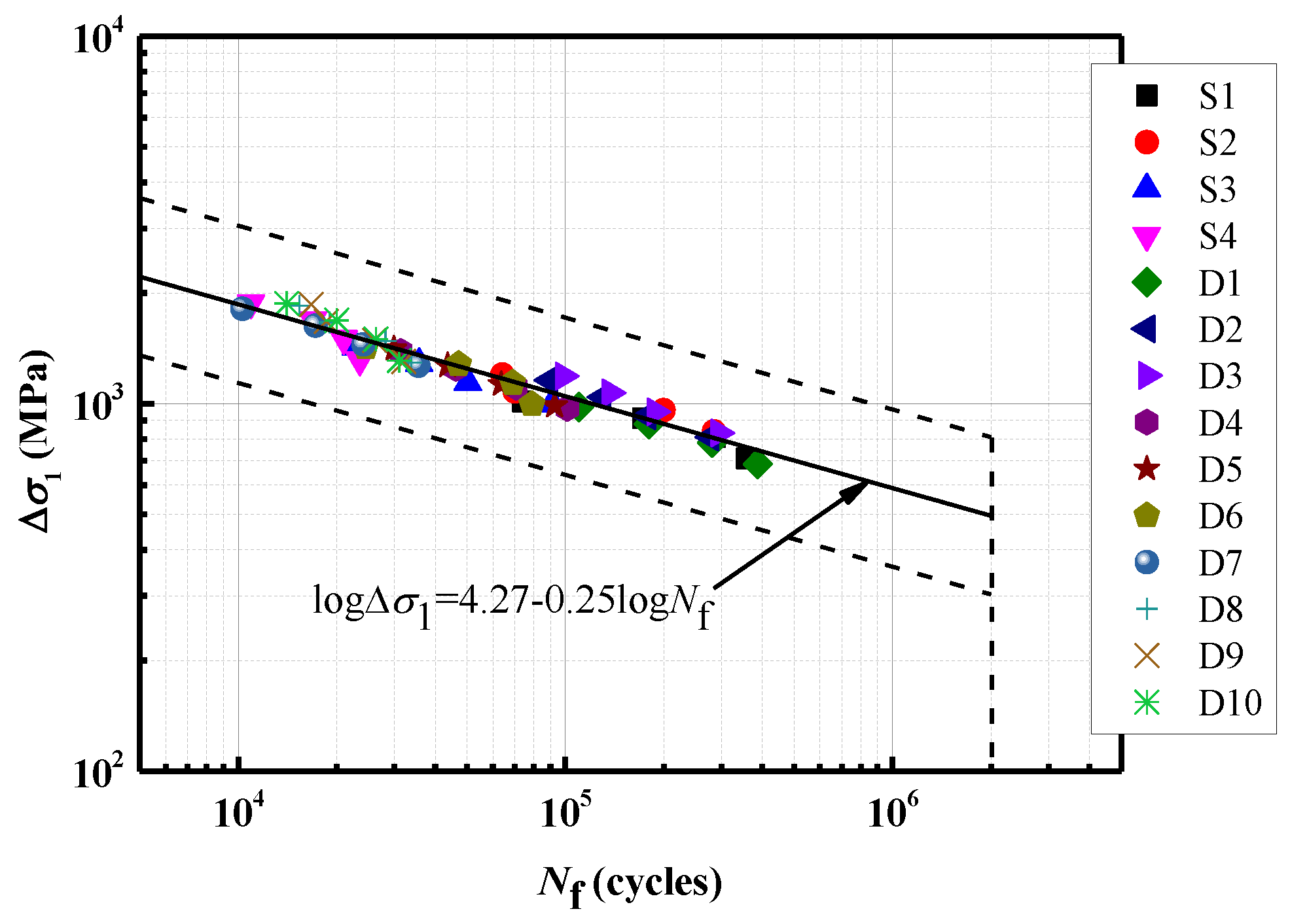
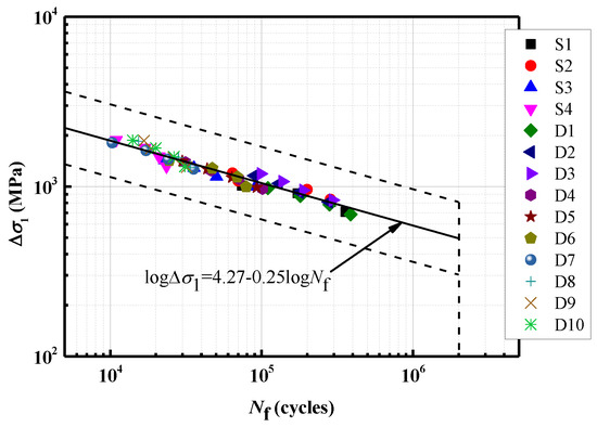
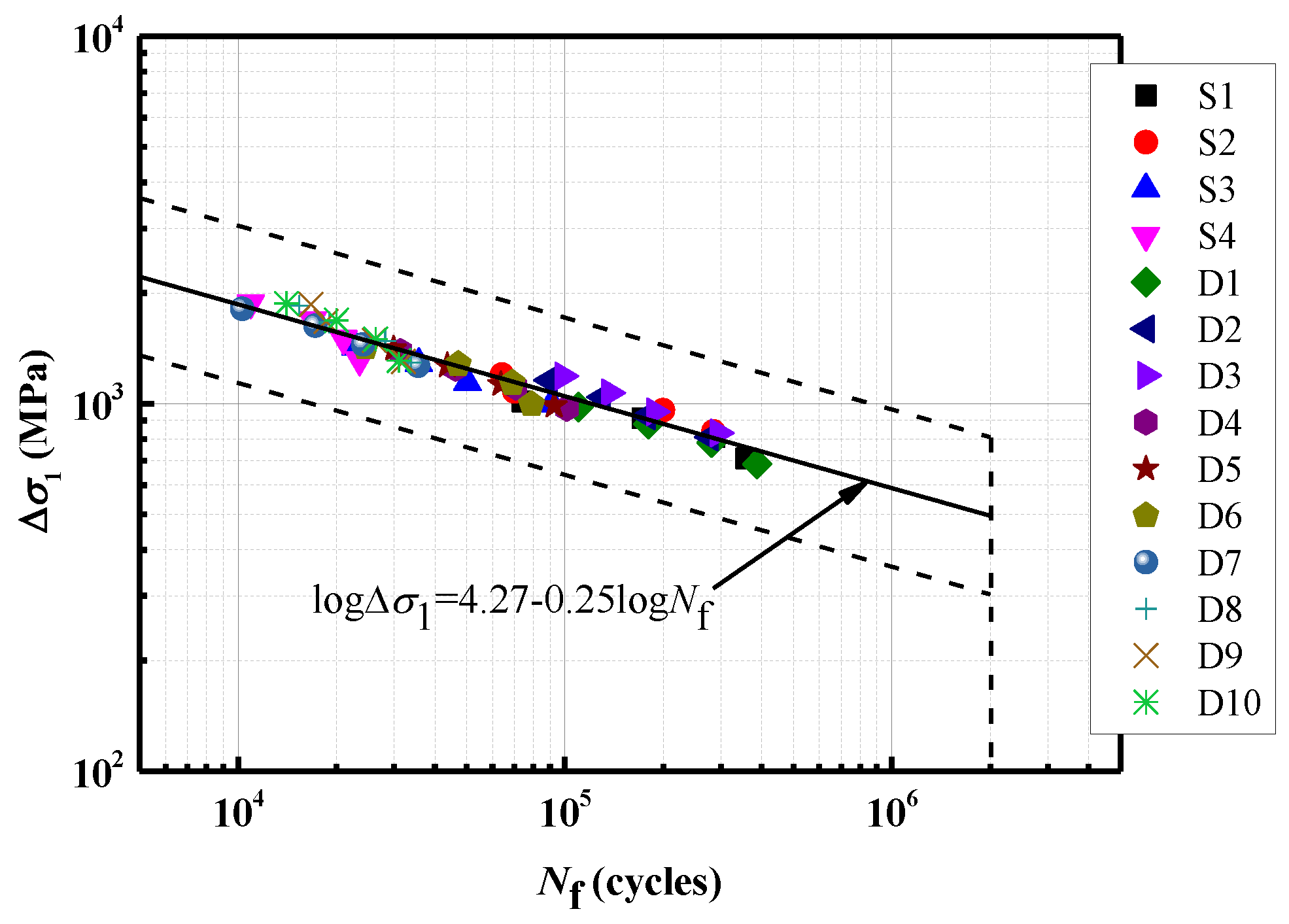
4. Results and Discussions
5. Fatigue Crack Growth and Life Prediction
5.1. EIFS
5.2. Numerical Modelling by the New Approach
5.2.1. Steel Wires with a Single Pit
5.2.2. Steel Wires with Double Pits
6. Conclusions
Author Contributions
Funding
Institutional Review Board Statement
Informed Consent Statement
Data Availability Statement
Conflicts of Interest
References
- Lan, C.; Xu, Y.; Liu, C.; Li, H.; Spencer, B.F., Jr. Fatigue life prediction for parallel-wire stay cables considering corrosion effects. Int. J. Fatigue 2018, 114, 81–91. [Google Scholar] [CrossRef]
- Chen, C.; Jie, Z.; Wang, K. Fatigue life evaluation of high-strength steel wires with multiple corrosion pits based on the TCD. J. Constr. Steel Res. 2021, 186, 106913. [Google Scholar] [CrossRef]
- Jie, Z.; Berto, F.; Susmel, L. Fatigue behaviour of pitted/cracked high-strength steel wires based on the SED approach. Int. J. Fatigue 2020, 135, 105564. [Google Scholar] [CrossRef]
- Jie, Z.; Susmel, L. High-strength steel wires containing corrosion pits: Stress analysis and critical distance based fatigue life estimation. Fatigue Fract. Eng. Mater. Struct. 2020, 43, 1611–1629. [Google Scholar] [CrossRef]
- Bai, N.; Li, H.; Ma, J.; Lan, C.; Spencer, B.F., Jr. Fatigue life evaluation model for high-strength steel wire considering different levels of corrosion. Struct. Infrastruct. Eng. 2022, 19, 409–419. [Google Scholar] [CrossRef]
- Xue, S.; Shen, R.; Chen, W.; Miao, R. Corrosion fatigue failure analysis and service life prediction of high strength steel wire. Eng. Fail. Anal. 2020, 110, 104440. [Google Scholar] [CrossRef]
- Kondo, Y. Prediction of fatigue crack initiation life based on pit growth. Corrosion 1989, 45, 7–11. [Google Scholar] [CrossRef]
- Li, F.; Wen, Z.; Wu, Z.; Liu, S.; Li, Z.; Pei, H.; Yue, Z. A safe fracture fatigue life prediction based on equivalent initial flaw size. Int. J. Fatigue 2021, 142, 105957. [Google Scholar] [CrossRef]
- Xiang, Y.; Lu, Z.; Liu, Y. Crack growth-based fatigue life prediction using an equivalent initial flaw model. Part I: Uniaxial loading. Int. J. Fatigue 2010, 32, 341–349. [Google Scholar] [CrossRef]
- Kitagawa, H. Applicability of fracture mechanics to very small cracks or the cracks in the early stage. In Proceedings of the Second International Conference on Mechanical Behavior of Materials, Buston, MA, USA, 16–20 August 1976; ASM: Metals Park, OH, USA, 1976; pp. 627–631. [Google Scholar]
- El Haddad, M.H.; Topper, T.H.; Smith, K.N. Prediction of non propagating cracks. Eng. Fract. Mech. 1979, 11, 573–584. [Google Scholar] [CrossRef]
- Zhang, Y.; Liu, X.; Lai, J.; Wei, Y.; Luo, J. Corrosion fatigue life prediction of crude oil storage tank via improved equivalent initial flaw size. Theor. Appl. Fract. Mech. 2021, 114, 103023. [Google Scholar] [CrossRef]
- Lian, Y.; Gao, L.; Zhang, Y.; Wang, J. A normalized equivalent initial flaw size model to predict fatigue behavior of metallic materials. Eng. Fract. Mech. 2020, 237, 107256. [Google Scholar] [CrossRef]
- Sun, J.; Ding, Z.; Huang, Q. Development of EIFS-based corrosion fatigue life prediction approach for corroded RC beams. Eng. Fract. Mech. 2019, 209, 1–16. [Google Scholar] [CrossRef]
- Wang, G.; Ma, Y.; Wang, L.; Zhang, J. Experimental study and residual fatigue life assessment of corroded high-tensile steel wires using 3D scanning technology. Eng. Fail. Anal. 2021, 124, 105335. [Google Scholar] [CrossRef]
- Ye, H.; Duan, Z.; Tang, S.; Yang, Z.; Xu, X. Fatigue crack growth and interaction of bridge wire with multiple surface cracks. Eng. Fail. Anal. 2020, 116, 104739. [Google Scholar] [CrossRef]
- Nikfam, M.R.; Zeinoddini, M.; Aghebati, F.; Arghaei, A.A. Experimental and XFEM modelling of high cycle fatigue crack growth in steel welded T-joints. Int. J. Mech. Sci. 2019, 153, 178–193. [Google Scholar] [CrossRef]
- Jie, Z.; Wang, W.; Chen, C.; Wang, K. Local approaches and XFEM used to estimate life of CFRP repaired cracked welded joints under fatigue loading. Compos. Struct. 2021, 260, 113251. [Google Scholar] [CrossRef]
- Zeng, Y.; Qu, Y.; Tan, Y.; Jiang, Y.; Gu, A. Analysis of fatigue cracking of orthotropic steel decks using XFEM. Eng. Fail. Anal. 2022, 140, 106536. [Google Scholar] [CrossRef]
- Chen, S.; Guo, M.; Li, Y.; Dong, X.; He, J. Effects of residual stresses on fatigue crack propagation of T-joint using extended finite element method (XFEM). Metals 2022, 12, 1368. [Google Scholar] [CrossRef]
- Jiang, S.; Wang, Y. Study on Fatigue Behavior of orthotropic steel bridge deck that considers corrosion effects. J. Bridge Eng. 2023, 28, 4022152. [Google Scholar] [CrossRef]
- Shahani, A.R.; Kashani, H.M. Assessment of equivalent initial flaw size estimation methods in fatigue life prediction using compact tension specimen tests. Eng. Fract. Mech. 2013, 99, 48–61. [Google Scholar] [CrossRef]
- Jie, Z.; Chen, C.; Berto, F.; Wang, K.; Peng, X. Effect of stress ratios on corrosion fatigue life of high-strength steel wires. Fatigue Fract. Eng. Mater. Struct. 2022, 45, 593–606. [Google Scholar] [CrossRef]
- Ma, Y.; Ouyang, Q.; Wang, G.; Wang, L.; Zhang, J. Fatigue life prediction for suspender based on equivalent initial flaw size. J. Trans. Sci. Eng. 2020, 36, 52–57. [Google Scholar]
- Zarrinzadeh, H.; Kabir, M.Z.; Deylami, A. Experimental and numerical fatigue crack growth of an aluminium pipe repaired by composite patch. Eng. Struct. 2017, 133, 24–32. [Google Scholar] [CrossRef]
















| Code | Pit Size (mm) | Pit Types |
|---|---|---|
| S1 | d = 0.5, l = 2.65, w = 2.14 | ![]() A single pit |
| S2 | d = 1, l = 3.46, w = 2.94 | |
| S3 | d = 1.5, l = 3.87, w = 3.50 | |
| S4 | d = 2, l = 4, w = 4 | |
| D1 | d1 = 0.5, l1 = 2.65, w1 = 2.14; d2 = 0.5, l2 = 2.65, w2 = 2.14 | ![]() Double pits |
| D2 | d1 = 1.0, l1 = 3.46, w1 = 2.94; d2 = 0.5, l2 = 2.65, w2 = 2.14 | |
| D3 | d1 = 1.0, l1 = 3.46, w1 = 2.94; d2 = 1.0, l2 = 3.46, w2 = 2.94 | |
| D4 | d1 = 1.5, l1 = 3.87, w1 = 3.5; d2 = 0.5, l2 = 2.65, w2 = 2.14 | |
| D5 | d1 = 1.5, l1 = 3.87, w1 = 3.5; d2 = 1, l2 = 3.46, w2 = 2.94 | |
| D6 | d1 = 1.5, l1 = 3.87, w1 = 3.50; d2 = 1.5, l2 = 3.87, w2 = 3.50 | |
| D7 | d1 = 2, l1 = 4, w1 = 4; d2 = 0.5, l2 = 2.65, w2 = 2.14 | |
| D8 | d1 = 2, l1 = 4, w1 = 4; d2 = 1, l2 = 3.46, w2 = 2.94 | |
| D9 | d1 = 2, l1 = 4, w1 = 4; d2 = 1.5, l2 = 3.87, w2 = 3.5 | |
| D10 | d1 = 2, l1 = 4, w1 = 4; d2 = 2, l2 = 4, w2 = 4 |
| No. | Nominal Stress Range (MPa) | Stress Ratio | Maximum Load (kN) | Minimum Load (kN) |
|---|---|---|---|---|
| 1 | 420 | 0.1 | 18.0 | 1.8 |
| 2 | 480 | 20.5 | 2.0 | |
| 3 | 540 | 23.1 | 2.3 | |
| 4 | 600 | 25.7 | 2.6 |
| Code | Pit Depth (mm) | Stress Range (MPa) | EIFS (mm) |
|---|---|---|---|
| S1-1 | 0.5 | 420 | 0.1030 |
| S1-2 | 0.5 | 480 | 0.2550 |
| S1-3 | 0.5 | 540 | 0.6839 |
| S1-4 | 0.5 | 600 | 1.3521 |
| S2-1 | 1.0 | 420 | 0.2596 |
| S2-2 | 1.0 | 480 | 0.5589 |
| S2-3 | 1.0 | 540 | 1.3897 |
| S2-4 | 1.0 | 600 | 1.4458 |
| S3-1 | 1.5 | 420 | 1.2048 |
| S3-2 | 1.5 | 480 | 1.5905 |
| S3-3 | 1.5 | 540 | 1.7632 |
| S3-4 | 1.5 | 600 | 1.9388 |
| S4-1 | 2.0 | 420 | 1.9288 |
| S4-2 | 2.0 | 480 | 1.9661 |
| S4-3 | 2.0 | 540 | 2.0287 |
| S4-4 | 2.0 | 600 | 2.1266 |
| Code | Pit Depth (mm) | Stress Range (MPa) | Equivalent Initial Flaw Size (mm) |
|---|---|---|---|
| D1-1 | 0.5–0.5 | 420 | 0.0647 |
| D1-2 | 0.5–0.5 | 480 | 0.1426 |
| D1-3 | 0.5–0.5 | 540 | 0.3597 |
| D1-4 | 0.5–0.5 | 600 | 0.6639 |
| D2-1 | 1.0–0.5 | 420 | 0.2784 |
| D2-2 | 1.0–0.5 | 480 | 0.5021 |
| D2-3 | 1.0–0.5 | 540 | 0.6407 |
| D2-4 | 1.0–0.5 | 600 | 0.8423 |
| D3-1 | 1.0–1.0 | 420 | 0.2333 |
| D3-2 | 1.0–1.0 | 480 | 0.4562 |
| D3-3 | 1.0–1.0 | 540 | 0.5938 |
| D3-4 | 1.0–1.0 | 600 | 0.7585 |
| D4-1 | 1.5–0.5 | 420 | 1.1252 |
| D4-2 | 1.5–0.5 | 480 | 1.2611 |
| D4-3 | 1.5–0.5 | 540 | 1.4419 |
| D4-4 | 1.5–0.5 | 600 | 1.5891 |
| D5-1 | 1.5–1.0 | 420 | 1.1922 |
| D5-2 | 1.5–1.0 | 480 | 1.3347 |
| D5-3 | 1.5–1.0 | 540 | 1.4776 |
| D5-4 | 1.5–1.0 | 600 | 1.6152 |
| D6-1 | 1.5–1.5 | 420 | 1.3072 |
| D6-2 | 1.5–1.5 | 480 | 1.2779 |
| D6-3 | 1.5–1.5 | 540 | 1.4293 |
| D6-4 | 1.5–1.5 | 600 | 1.7174 |
| D7-1 | 2.0–0.5 | 420 | 1.7659 |
| D7-2 | 2.0–0.5 | 480 | 1.8542 |
| D7-3 | 2.0–0.5 | 540 | 1.9208 |
| D7-4 | 2.0–0.5 | 600 | 2.0344 |
| D8-1 | 2.0–1.0 | 420 | 1.7881 |
| D8-2 | 2.0–1.0 | 480 | 1.7898 |
| D8-3 | 2.0–1.0 | 540 | 1.8859 |
| D8-4 | 2.0–1.0 | 600 | 1.9120 |
| D9-1 | 2.0–1.5 | 420 | 1.8110 |
| D9-2 | 2.0–1.5 | 480 | 1.8227 |
| D9-3 | 2.0–1.5 | 540 | 1.8943 |
| D9-4 | 2.0–1.5 | 600 | 1.8816 |
| D10-1 | 2.0–2.0 | 420 | 1.8240 |
| D10-2 | 2.0–2.0 | 480 | 1.8180 |
| D10-3 | 2.0–2.0 | 540 | 1.8666 |
| D10-4 | 2.0–2.0 | 600 | 1.9424 |
Disclaimer/Publisher’s Note: The statements, opinions and data contained in all publications are solely those of the individual author(s) and contributor(s) and not of MDPI and/or the editor(s). MDPI and/or the editor(s) disclaim responsibility for any injury to people or property resulting from any ideas, methods, instructions or products referred to in the content. |
© 2023 by the authors. Licensee MDPI, Basel, Switzerland. This article is an open access article distributed under the terms and conditions of the Creative Commons Attribution (CC BY) license (https://creativecommons.org/licenses/by/4.0/).
Share and Cite
Zhu, J.; Jie, Z.; Chen, C.; Zheng, H.; Wang, W. Fatigue Crack Propagation of Corroded High-Strength Steel Wires Using the XFEM and the EIFS. Materials 2023, 16, 4738. https://doi.org/10.3390/ma16134738
Zhu J, Jie Z, Chen C, Zheng H, Wang W. Fatigue Crack Propagation of Corroded High-Strength Steel Wires Using the XFEM and the EIFS. Materials. 2023; 16(13):4738. https://doi.org/10.3390/ma16134738
Chicago/Turabian StyleZhu, Jianchao, Zhiyu Jie, Chao Chen, Hao Zheng, and Weiguo Wang. 2023. "Fatigue Crack Propagation of Corroded High-Strength Steel Wires Using the XFEM and the EIFS" Materials 16, no. 13: 4738. https://doi.org/10.3390/ma16134738
APA StyleZhu, J., Jie, Z., Chen, C., Zheng, H., & Wang, W. (2023). Fatigue Crack Propagation of Corroded High-Strength Steel Wires Using the XFEM and the EIFS. Materials, 16(13), 4738. https://doi.org/10.3390/ma16134738


