Thermal Mechanical Bending Response of Symmetrical Functionally Graded Material Plates
Abstract
:1. Introduction
2. Theoretical Models and Formulas
3. Model Validation and Numerical Analysis
3.1. Symmetrical FGM Plate
3.2. Symmetrical FGM Sandwich Plates
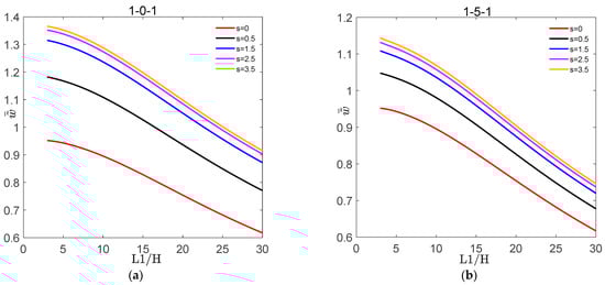
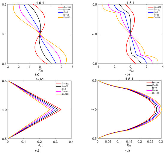
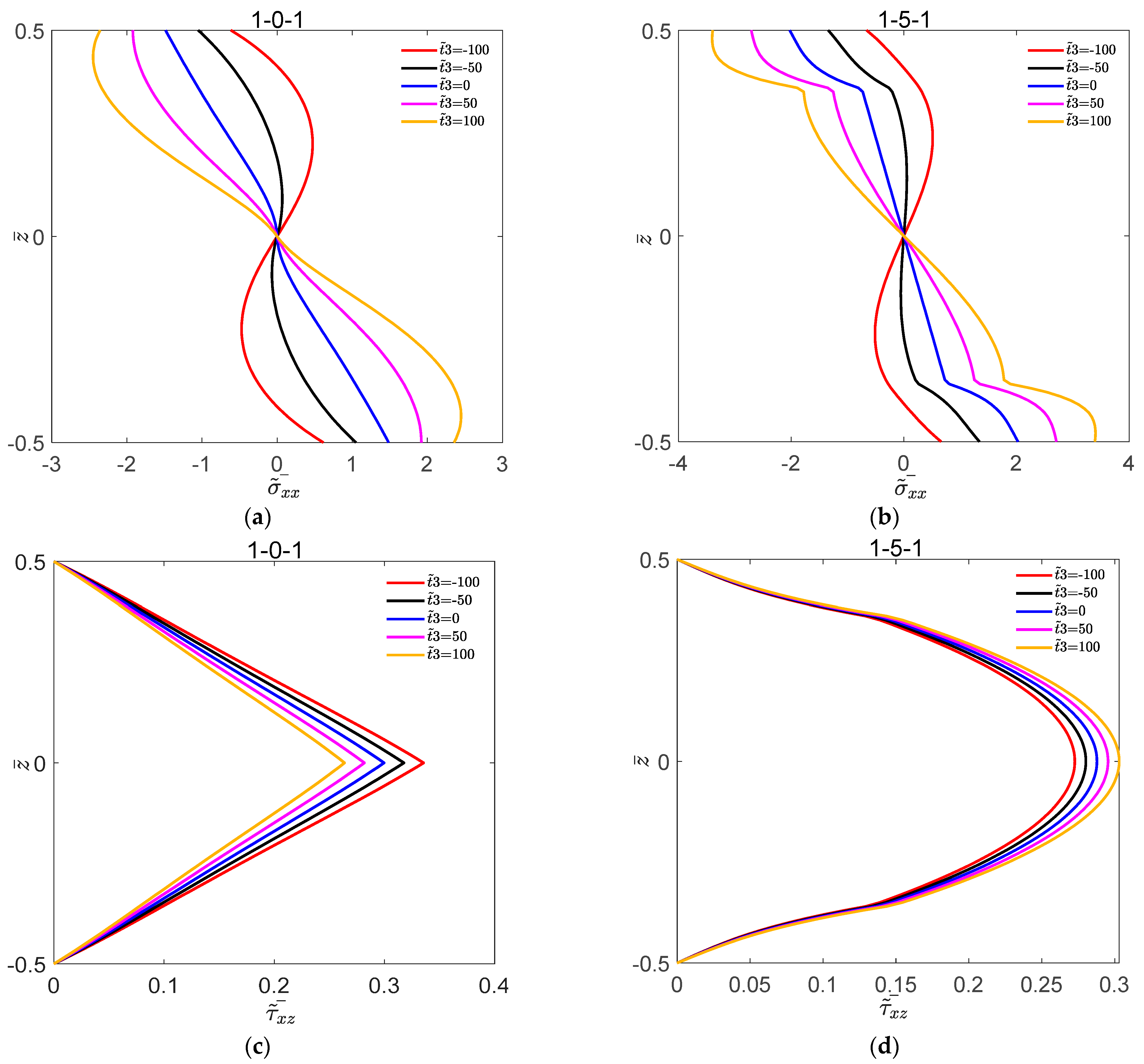
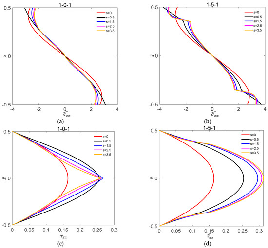
3.3. Parameter Study
4. Conclusions
- In this paper, there are only four control equations and unknown variables. The complexity and workload of calculation were significantly reduced.
- By comparing the results of the symmetric 1-0-1 FGM sandwich plate with those published in the literature, it could be seen that the theoretical model in this paper was accurate in predicting the bending performance of FGM sandwich plates under thermo-mechanical load.
- For the symmetric FGM plate and FGM sandwich plate, the stress was continuous, but not always smooth, especially at the interface.
- Conclusion of the parameter study:
- (1)
- When the nonlinear temperature is constant, regardless of the volume fraction index , the dimensionless deflection of the FGM plate and FGM sandwich plates will decrease with the increase in . However, when the volume fraction index is constant, and , the dimensionless deflection of the FGM plate and FGM sandwich plates will decrease with the increase in , while when , the dimensionless deflection of the FGM plate and FGM sandwich plates will increase with .
- (2)
- For the symmetric FGM plate and FGM sandwich plate, the greater the volume fraction index or the nonlinear temperature , the greater the dimensionless deflection.
- (3)
- For the symmetric FGM plate and FGM sandwich plate, the maximum compressive stress is always generated on the top plate, and the maximum tensile stress is always generated on the bottom plate; the maximum shear stress of the symmetric FGM plate and FGM sandwich plate always occurs in the core of the plates.
- (4)
- When the layer thickness ratio and volume fraction index are given, the dimensionless transverse shear stresses of the FGM plate will decrease with the increase in nonlinear temperature , while the dimensionless transverse shear stresses of the symmetric FGM sandwich plate is exactly the opposite. In addition, the dimensionless normal stress of the FGM sandwich plate becomes unstable at the interface.
- (5)
- In any case, the dimensionless deflection of FGM plates is greater than that of FGM sandwich plates, and the dimensionless normal stress of FGM is smaller than that of FGM sandwich plates.
Author Contributions
Funding
Institutional Review Board Statement
Informed Consent Statement
Data Availability Statement
Conflicts of Interest
Appendix A
References
- Meksi, R.; Benyoucef, S.; Mahmoudi, A.; Tounsi, A.; Adda Bedia, E.A.; Mahmoud, S.R. An analytical solution for bending, buckling and vibration responses of FGM sandwich plates. J. Sandw. Struct. Mater. 2019, 21, 727–757. [Google Scholar] [CrossRef]
- Huang, Z.; Pan, J.; Yang, Z.; Wang, X.; Chu, F. Transverse Vibration of Viscoelastic Sandwich Structures: Finite Element Modeling and Experimental Study. Materials 2021, 14, 7751. [Google Scholar] [CrossRef]
- Huang, Z.; Mao, Y.; Dai, A.; Han, M.; Wang, X.; Chu, F. Active Vibration Control of Piezoelectric Sandwich Plates. Materials 2022, 15, 3907. [Google Scholar] [CrossRef]
- Sekkal, M.; Fahsi, B.; Mahmoud, A.S.R. A new quasi-3D HSDT for buckling and vibration of FG plate. Struct. Eng. Mech. 2017, 64, 737–749. [Google Scholar]
- Gao, W.; Liu, Y.; Qin, Z.; Chu, F. Wave Propagation in Smart Sandwich Plates with Functionally Graded Nanocomposite Porous Core and Piezoelectric Layers in Multi-Physics Environment. Int. J. Appl. Mech. 2022, 14, 2250071. [Google Scholar] [CrossRef]
- Babaei, M.; Asemi, K.; Safarpour, P. Buckling and static analyses of functionally graded saturated porous thick beam resting on elastic foundation based on higher order beam theory. Iran. Soc. Mech. Eng. 2019, 20, 94–112. [Google Scholar]
- He, X.Q.; Ng, T.Y.; Sivashanker, S.; Liew, K.M. Active control of FGM plates with integrated piezoelectric sensors and actuators. Int. J. Solids Struct. 2001, 38, 1641–1655. [Google Scholar] [CrossRef]
- Yang, T.; Zheng, W.; Huang, Q.; Li, S. Sound radiation of functionally graded materials plates in thermal environment. Compos. Struct. 2016, 144, 165–176. [Google Scholar] [CrossRef]
- Wang, Y.Q.; Wan, Y.H.; Zhang, Y.F. Vibrations of longitudinally traveling functionally graded material plates with porosities. Eur. J. Mech. A Solids 2017, 66, 55–68. [Google Scholar] [CrossRef]
- Hien, T.D.; Noh, H.C. Stochastic isogeometric analysis of free vibration of functionally graded plates considering material randomness. Comput. Methods Appl. Mech. Eng. 2017, 318, 845–863. [Google Scholar] [CrossRef]
- Zhou, K.; Huang, X.; Tian, J.; Hua, H. Vibration and flutter analysis of supersonic porous functionally graded material plates with temperature gradient and resting on elastic foundation. Compos. Struct. 2018, 204, 63–79. [Google Scholar] [CrossRef]
- Chen, X.; Chen, L.; Huang, S.; Li, M.; Li, X. Nonlinear forced vibration of in-plane bi-directional functionally graded materials rectangular plate with global and localized geometrical imperfections. Appl. Math. Model. 2020, 93, 443–466. [Google Scholar] [CrossRef]
- Yin, Z.; Gao, H.; Lin, G. Bending and free vibration analysis of functionally graded plates made of porous materials according to a novel the semi-analytical method. Eng. Anal. Bound. Elem. 2021, 133, 185–199. [Google Scholar] [CrossRef]
- Nguyen, V.D.; Phung, V.B. Static bending, free vibration, and buckling analyses of two-layer FGM plates with shear connectors resting on elastic foundations. Alex. Eng. J. 2023, 62, 369–390. [Google Scholar] [CrossRef]
- Naveenkumar, D.T.; Prahallada, M.C.; Nagaraju, B. Analysis of FGM sandwich plates using higher order refined compu-tational model-in-plane stresses. Int. J. Civ. Eng. Technol. 2018, 9, 577–586. [Google Scholar]
- Liu, Y.; Qin, Z.; Chu, F. Nonlinear dynamic responses of sandwich functionally graded porous cylindrical shells embedded in elastic media under 1:1 internal resonance. Appl. Math. Mech. 2021, 42, 805–818. [Google Scholar] [CrossRef]
- Hirane, H.; Belarbi, M.-O.; Mohammed, M.S.A.; Tounsi, A. On the layerwise fnite element formulation for static and free vibration analysis of functionally graded sandwich plates. Eng. Comput. 2021, 38, 3871–3899. [Google Scholar] [CrossRef]
- Naghavi, M.; Sarrami-Foroushani, S.; Azhari, F. Bending analysis of functionally graded sandwich plates using the refined finite strip method. J. Sandw. Struct. Mater. 2021, 24, 448–483. [Google Scholar] [CrossRef]
- Van Vinh, P. Analysis of bi-directional functionally graded sandwich plates via higher-order shear deformation theory and finite element method. J. Sandw. Struct. Mater. 2021, 24, 860–899. [Google Scholar] [CrossRef]
- Liu, Y.; Qin, Z.; Chu, F. Analytical study of the impact response of shear deformable sandwich cylindrical shell with a functionally graded porous core. Mech. Adv. Mater. Struct. 2020, 29, 1338–1347. [Google Scholar] [CrossRef]
- Zenkour, A.M.; Alghamdi, N.A. Thermomechanical Bending Response of Functionally Graded Nonsymmetric Sandwich Plates. J. Sandw. Struct. Mater. 2009, 12, 7–46. [Google Scholar] [CrossRef]
- Pandey, S.; Pradyumna, S. A finite element formulation for thermally induced vibrations of functionally graded material sandwich plates and shell panels. Compos. Struct. 2017, 160, 877–886. [Google Scholar] [CrossRef]
- Zarga, D.; Tounsi, A.; Bousahla, A.A.; Bourada, F.; Mahmoud, S.R. Thermomechanical bending study for functionally graded sandwich plates using a simple quasi-3D shear deformation theory. Steel Compos. Struct. 2019, 32, 389–410. [Google Scholar]
- Trinh, M.C.; Kim, S.E. Nonlinear stability of moderately thick functionally graded sandwich shells with double curvature in thermal environment. Aerosp. Sci. Technol. 2019, 84, 672–685. [Google Scholar] [CrossRef]
- Joseph, S.V.; Mohanty, S.C. Free vibration and parametric instability of viscoelastic sandwich plates with functionally graded material constraining layer. Acta Mech. 2019, 230, 2783–2798. [Google Scholar] [CrossRef]
- Bouamoud, A.; Boucham, B.; Bourada, F.; Houari, M.S.A.; Tounsi, A. Thermome-chanical bending investigation of FGM sandwich plates using four shear deformation plate theory. Steel Compos. Struct. 2019, 32, 611–632. [Google Scholar]
- Yoosefian, A.; Golmakani, M.; Sadeghian, M. Nonlinear bending of functionally graded sandwich plates under mechanical and thermal load. Commun. Nonlinear Sci. Numer. Simul. 2019, 84, 105161. [Google Scholar] [CrossRef]
- Trinh, M.-C.; Kim, S.E. Deterministic and stochastic thermomechanical nonlinear dynamic responses of func-tionally graded sandwich plates. Compos. Struct. 2021, 274, 114359. [Google Scholar] [CrossRef]
- Daikh, A.A.; Bensaid, I.; Zenkour, A.M. Temperature dependent thermomechanical bending response of functionally graded sandwich plates. Eng. Res. Express 2020, 2, 015006. [Google Scholar] [CrossRef]
- Saffari, P.R.; Sirimontree, S.; Thongchom, C.; Jearsiripongkul, T.; Keawsawasvong, S. Effect of uniform and nonuniform temperature distributions on sound transmission loss of double-walled porous functionally graded magneto-electro-elastic sandwich plates with subsonic external flow. Int. J. Thermofluids 2023, 17, 100311. [Google Scholar] [CrossRef]
- Belkhodja, Y.; Belkhodja, M.E.A.; Fekirini, H.; Ouinas, D. New quasi-three-, and two-dimensional trigonometric-cubic monomial HSDT for thermal buckling and thermo-mechanical bending analyses of FGM symmet-rical/non-symmetrical sandwich plates with hard/soft core. Compos. Struct. 2023, 304, 116402. [Google Scholar] [CrossRef]
- Faraz, K.; Masoud, B.; Dimitri, R.; Tornabene, F. Hygrothermal modeling of the buckling behavior of sandwich plates with nanocomposite face sheets resting on a Pasternak foundation. Contin. Mech. Thermodyn. 2021, 21, 911–932. [Google Scholar]
- Natarajan, S.; Ganapathi, M. A comparison of Various Plate Theories for Functionally Graded Material Sandwich Plates. In From Materials to Structures: Advancement through Innovation; Routledge: Oxfordshire, UK, 2012; pp. 127–131. [Google Scholar]
- Merdaci, S.; Tounsi, A.; Houari, M.S.A.; Mechab, I.; Hebali, H.; Benyoucef, S. Two new refined shear displacement models for functionally graded sandwich plates. Arch. Appl. Mech. 2011, 81, 1507–1522. [Google Scholar] [CrossRef]
- Reissner, E. On transverse bending of plates, including the effect of transverse shear deformation. Int. J. Solids Struct. 1975, 11, 569–573. [Google Scholar] [CrossRef]
- Reddy, J.N. A Simple Higher-Order Theory for Laminated Composite Plates. J. Appl. Mech. 1984, 51, 745–752. [Google Scholar] [CrossRef]
- Touratier, M. An efficient standard plate theory. Int. J. Eng. Sci. 1991, 29, 901–916. [Google Scholar] [CrossRef]
- Li, D.; Deng, Z.; Chen, G.; Xiao, H.; Zhu, L. Thermomechanical bending analysis of sandwich plates with both functionally graded face sheets and functionally graded core. Compos. Struct. 2017, 169, 29–41. [Google Scholar] [CrossRef]
- Mantari, J.; Granados, E. Thermoelastic behavior of advanced composite sandwich plates by using a new 6 unknown quasi-3D hybrid type HSDT. Compos. Struct. 2015, 126, 132–144. [Google Scholar] [CrossRef]
- Zenkour, A.M.; Alghamdi, N.A. Bending Analysis of Functionally Graded Sandwich Plates Under the Effect of Mechanical and Thermal Loads. Mech. Adv. Mater. Struct. 2010, 17, 419–432. [Google Scholar] [CrossRef]





| Ti-6Al-4V | ZrO2 | |
|---|---|---|
| Young’s modulus (GPa) | 66.2 | 117.0 |
| Poisson’s ratio | 1/3 | 1/3 |
| Thermal expansion coefficient (10−6/K) | 10.3 | 7.11 |
| Theory | ||||
|---|---|---|---|---|
| 0 | SSDPT [40] | 0.796783 | −2.388909 | 0.171603 |
| TSDPT [40] | 0.808168 | −2.461177 | 0.174481 | |
| FSDPT [29] | 0.895735 | −3.597007 | 0.173624 | |
| Present | 0.895427 | −2.650327 | 0.163882 | |
| Error 1 | 12.4% | 10.9% | −4.5% | |
| Error 2 | 10.8% | 7.7% | −6.1% | |
| Error 3 | −0.0009% | −26.3% | −5.6% | |
| 1 | SSDPT [40] | 1.062840 | −2.406797 | 0.277018 |
| TSDPT [40] | 1.077690 | −2.473903 | 0.272347 | |
| FSDPT [29] | 1.190728 | −3.471099 | 0.221768 | |
| Present | 1.194105 | −2.678183 | 0.281900 | |
| Error 1 | 12.4% | 11.3% | 1.8% | |
| Error 2 | 10.8% | 8.3% | 3.5% | |
| Error 3 | 0.3% | −22.8% | 27.1% | |
| 3 | SSDPT [40] | 1.141655 | −2.020416 | 0.269608 |
| TSDPT [40] | 1.157693 | −2.081815 | 0.270110 | |
| FSDPT [29] | 1.280741 | −3.031284 | 0.257465 | |
| Present | 1.282283 | −2.245913 | 0.260808 | |
| Error 1 | 12.3% | 11.2% | −3.3% | |
| Error 2 | 10.8% | 7.9% | −3.4% | |
| Error 3 | 0.1% | −25.9% | 1.3% | |
| 5 | SSDPT [40] | 1.154412 | −1.957959 | 0.272070 |
| TSDPT [40] | 1.170720 | −2.018086 | 0.274512 | |
| FSDPT [29] | 1.296101 | −2.956534 | 0.272062 | |
| Present | 1.296532 | −2.176143 | 0.262983 | |
| Error 1 | 12.3% | 11.1% | −3.3% | |
| Error 2 | 10.7% | 7.8% | −4.2% | |
| Error 3 | 0.04% | −26.4% | −3.3% |
| s | Theory | ||||
|---|---|---|---|---|---|
| 1-3-1 | 1-4-1 | 1-5-1 | 1-6-1 | ||
| 0 | Reissner | 0.895427 | 0.895427 | 0.895427 | 0.895427 |
| Reddy | 0.808168 | 0.808168 | 0.808168 | 0.808168 | |
| Touratier | 0.796783 | 0.796783 | 0.796783 | 0.796783 | |
| 1 | Reissner | 1.058120 | 1.034178 | 1.016134 | 1.002128 |
| Reddy | 0.954808 | 0.933207 | 0.916933 | 0.904303 | |
| Touratier | 0.941636 | 0.920308 | 0.904235 | 0.891760 | |
| 3 | Reissner | 1.123332 | 1.089506 | 1.063861 | 1.043945 |
| Reddy | 1.013647 | 0.983087 | 0.959932 | 0.941960 | |
| Touratier | 0.999831 | 0.969663 | 0.946795 | 0.929038 | |
| 5 | Reissner | 1.142467 | 1.106027 | 1.078229 | 1.056585 |
| Reddy | 1.322916 | 0.998014 | 0.972901 | 0.953358 | |
| Touratier | 1.016938 | 0.984428 | 0.959631 | 0.940325 | |
| s | Theory | ||||
|---|---|---|---|---|---|
| 1-3-1 | 1-4-1 | 1-5-1 | 1-6-1 | ||
| 0 | Reissner | −2.650327 | −2.650327 | −2.650327 | −2.650327 |
| Reddy | −2.461177 | −2.461177 | −2.461177 | −2.461177 | |
| Touratier | −2.388909 | −2.388909 | −2.388909 | −2.388909 | |
| 1 | Reissner | −3.345092 | −3.462328 | −3.550618 | −3.619105 |
| Reddy | −3.076466 | −3.182234 | −3.26186 | −3.323619 | |
| Touratier | −3.001256 | −3.105682 | −3.184311 | −3.245294 | |
| 3 | Reissner | −3.026031 | −3.191827 | −3.317418 | −3.414879 |
| Reddy | −2.788595 | −2.938375 | −3.051764 | −3.139716 | |
| Touratier | −2.716584 | −2.864442 | −2.976419 | −3.063296 | |
| 5 | Reissner | −2.932290 | −3.110958 | −3.247136 | −3.353091 |
| Reddy | −2.703191 | −2.865312 | −2.988331 | −3.083995 | |
| Touratier | −2.632905 | −2.794581 | −2.922533 | −2.884668 | |
| s | Theory | ||||
|---|---|---|---|---|---|
| 1-3-1 | 1-4-1 | 1-5-1 | 1-6-1 | ||
| 0 | Reissner | 0.163382 | 0.163882 | 0.163882 | 0.163882 |
| Reddy | 0.174481 | 0.174481 | 0.174481 | 0.174481 | |
| Touratier | 0.171603 | 0.171603 | 0.171603 | 0.171603 | |
| 1 | Reissner | 0.291248 | 0.287672 | 0.282126 | 0.275960 |
| Reddy | 0.289538 | 0.286179 | 0.281109 | 0.275520 | |
| Touratier | 0.300347 | 0.296398 | 0.290494 | 0.284036 | |
| 3 | Reissner | 0.312159 | 0.313772 | 0.310535 | 0.305124 |
| Reddy | 0.308697 | 0.309871 | 0.306802 | 0.301833 | |
| Touratier | 0.322239 | 0.323475 | 0.319771 | 0.313921 | |
| 5 | Reissner | 0.313283 | 0.317634 | 0.315957 | 0.311397 |
| Reddy | 0.309879 | 0.313459 | 0.311757 | 0.307532 | |
| Touratier | 0.323573 | 0.327623 | 0.325487 | 0.320468 | |
Disclaimer/Publisher’s Note: The statements, opinions and data contained in all publications are solely those of the individual author(s) and contributor(s) and not of MDPI and/or the editor(s). MDPI and/or the editor(s) disclaim responsibility for any injury to people or property resulting from any ideas, methods, instructions or products referred to in the content. |
© 2023 by the authors. Licensee MDPI, Basel, Switzerland. This article is an open access article distributed under the terms and conditions of the Creative Commons Attribution (CC BY) license (https://creativecommons.org/licenses/by/4.0/).
Share and Cite
Han, M.; Li, Z.; Huang, Z.; Wang, X.; Gao, W. Thermal Mechanical Bending Response of Symmetrical Functionally Graded Material Plates. Materials 2023, 16, 4683. https://doi.org/10.3390/ma16134683
Han M, Li Z, Huang Z, Wang X, Gao W. Thermal Mechanical Bending Response of Symmetrical Functionally Graded Material Plates. Materials. 2023; 16(13):4683. https://doi.org/10.3390/ma16134683
Chicago/Turabian StyleHan, Mengna, Zichan Li, Zhicheng Huang, Xingguo Wang, and Wenjie Gao. 2023. "Thermal Mechanical Bending Response of Symmetrical Functionally Graded Material Plates" Materials 16, no. 13: 4683. https://doi.org/10.3390/ma16134683
APA StyleHan, M., Li, Z., Huang, Z., Wang, X., & Gao, W. (2023). Thermal Mechanical Bending Response of Symmetrical Functionally Graded Material Plates. Materials, 16(13), 4683. https://doi.org/10.3390/ma16134683

