Bending Analysis of Asymmetric Functionally Graded Material Sandwich Plates in Thermal Environments
Abstract
1. Introduction
2. Theoretical Models and Formulas
3. Model Validation and Numerical Analysis
3.1. Model Validation
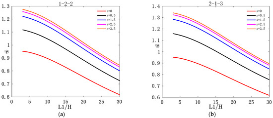
3.2. Parameter Study
4. Conclusions
- In contrast with other theories, this theory only generates four control equations and only four unknown variables are involved in solving the control equation. The complexity and workload of calculation are significantly reduced.
- By comparing the results of 1-1-1 FGM sandwich plates with those published in the literature, it can be seen that the theoretical model in this paper is accurate in predicting the bending performance of FGM sandwich plates under thermo-mechanical load.
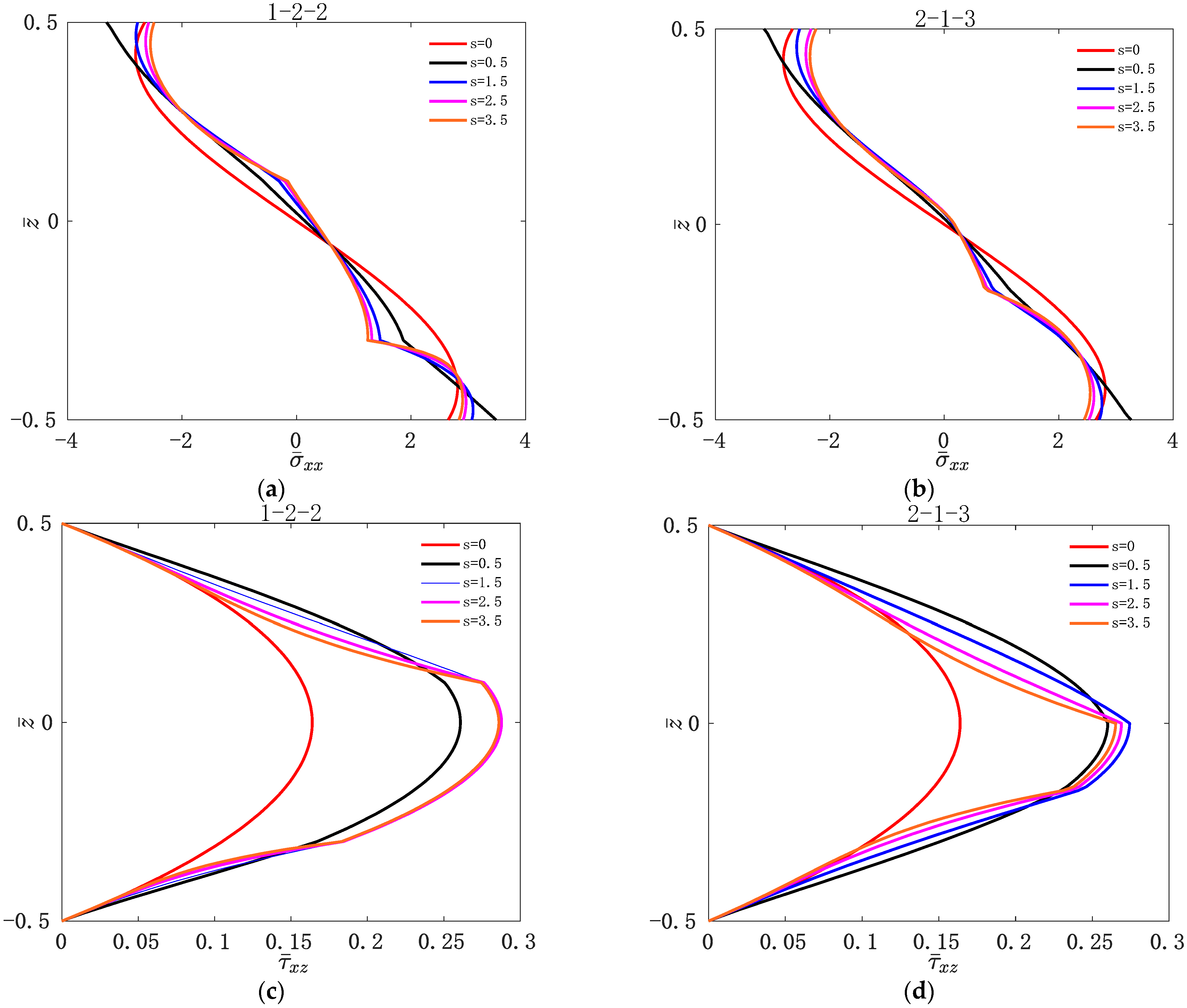
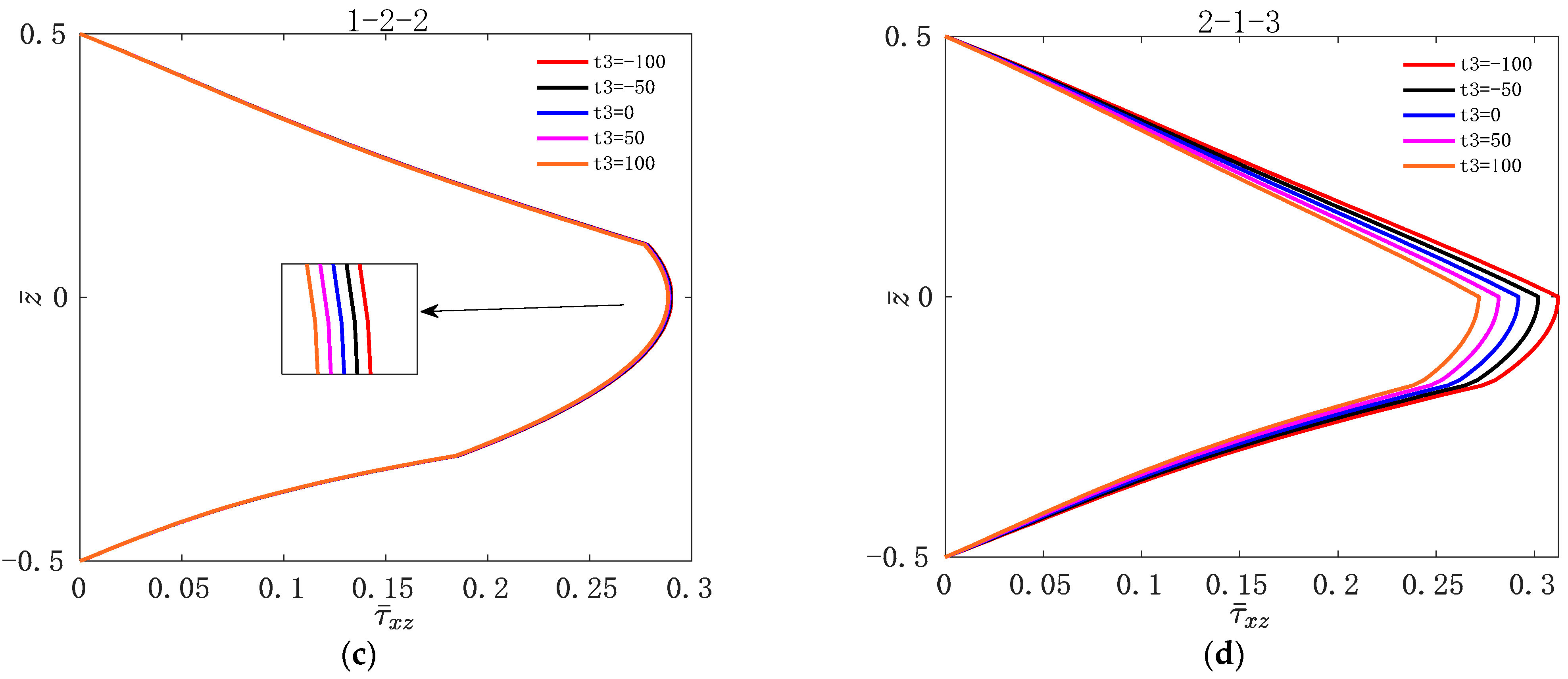
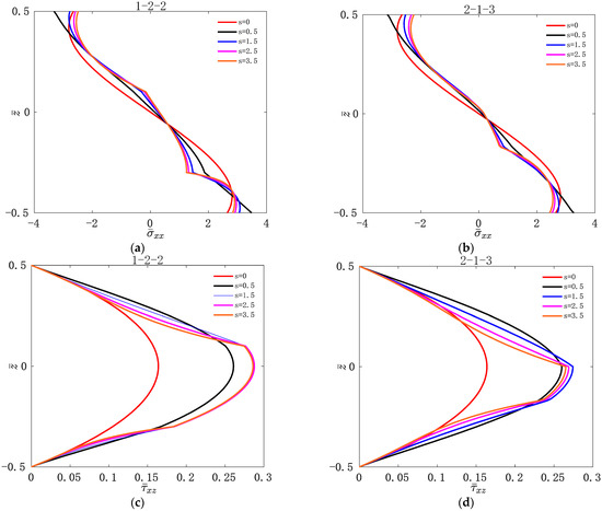
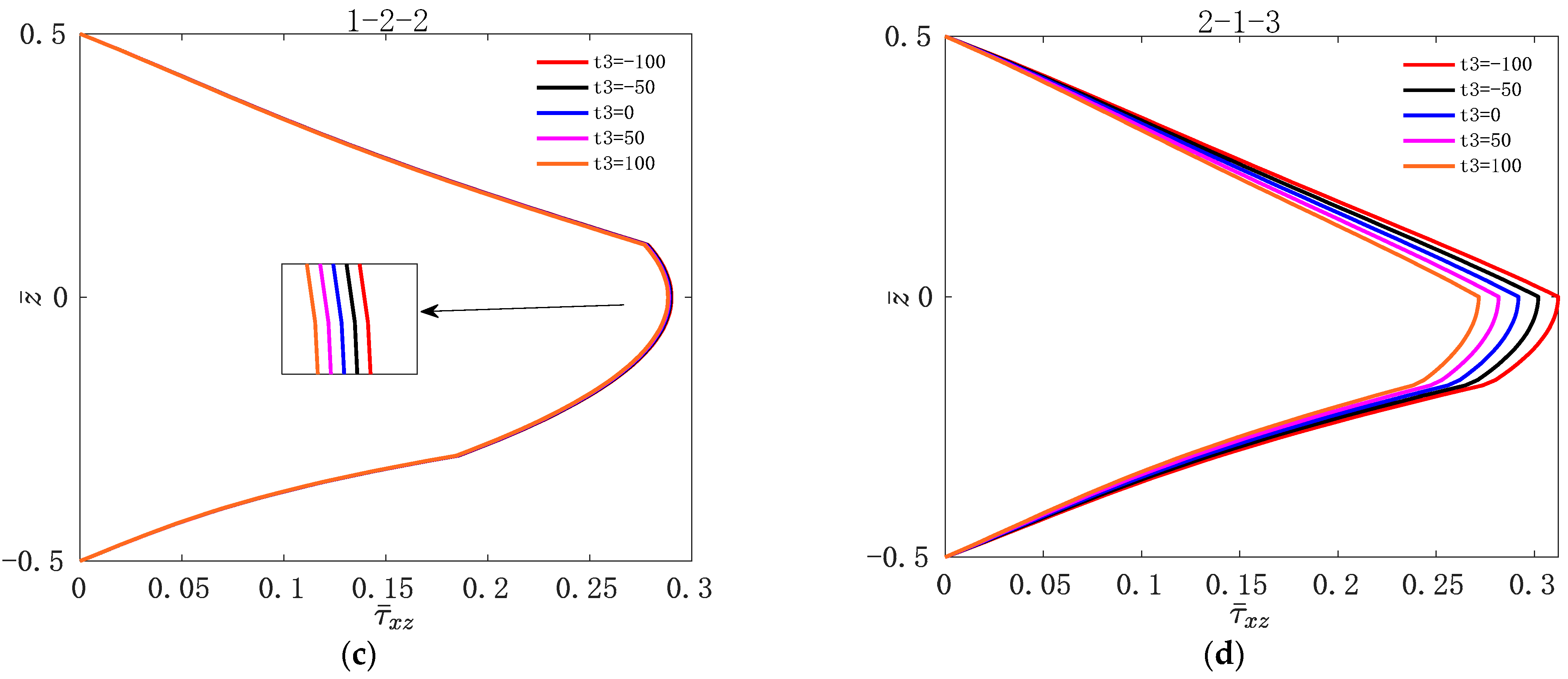
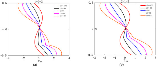
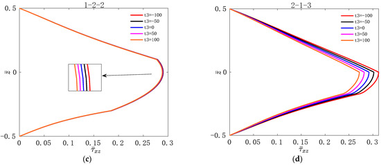
- For the asymmetric FGM sandwich plate, the stress is continuous, but not smooth, especially at the interface.
- For asymmetric FGM sandwich plates, regardless of the volume fraction index, layer thickness ratio, and nonlinear temperature, the maximum compressive stress is always generated on the top plate, the maximum tensile stress is always generated on the bottom plate, and maximum shear stress always occurs in the core layer.
Author Contributions
Funding
Institutional Review Board Statement
Informed Consent Statement
Data Availability Statement
Conflicts of Interest
Appendix A
References
- Meksi, R.; Benyoucef, S.; Mahmoudi, A.; Tounsi, A.; AddaBedia, E.A.; Mahmoud, S.R. An analytical solution for bending, buckling and vibration responses of FGM sandwich plates. J. Sandw. Struct. Mater. 2019, 21, 727–757. [Google Scholar] [CrossRef]
- Li, H.; Lv, H.; Gu, J.; Xiong, J.; Han, Q.; Liu, J.; Qin, Z. Nonlinear vibration characteristics of fibre reinforced composite cylindrical shells in thermal environment. Mech. Syst. Signal Process. 2021, 156, 107665. [Google Scholar] [CrossRef]
- Liu, Y.; Qin, Z.; Chu, F. Nonlinear forced vibrations of FGM sandwich cylindrical shells with porosities on an elastic substrate. Nonlinear Dyn. 2021, 104, 1007–1021. [Google Scholar] [CrossRef]
- Gao, W.L.; Liu, Y.F.; Qin, Z.Y.; Chu, F.L. Wave propagation in smart sandwich plates with functionally graded nanocomposite porous core and piezoelectric layers in multi-physics environment. Int. J. Appl. Mech. 2022, 14, 2250071. [Google Scholar] [CrossRef]
- Yang, J.; Kitipornchai, S.; Liew, K.M. Nonliner local bending of FGM sandwich plates. J. Mech. Mater. Struct. 2008, 3, 1977–1992. [Google Scholar] [CrossRef]
- Zenkour, A.M. The effect of transverse shear and normal Deformations on the thermomechanical bending of functionally graded sandwich plates. Int. J. Appl. Mech. 2009, 1, 667–707. [Google Scholar] [CrossRef]
- Daouadji, T.H.; Adim, B. Mechanical behaviour of FGM sandwich plates using a quasi-3D higher order shear and normal deformation theory. Struct. Eng. Mech. 2017, 61, 49–63. [Google Scholar] [CrossRef]
- Zarga, D.; Tounsi, A.; Bousahla, A.A.; Bourada, F.; Mahmoud, S.R. Thermomechanical bending study for functionally graded sandwich plates using a simple quasi-3D shear deformation theory. Steel Compos. Struct. 2019, 32, 389–410. [Google Scholar]
- Rouzegar, J.; Gholami, M. Thermo-elastic bending analysis of functionally graded sandwich plates by hyperbolic shear deformation theory. Sci. Iran. 2015, 22, 561–577. [Google Scholar]
- Di Sciuva, M.; Sorrenti, M. Bending and free vibration analysis of functionally graded sandwich plates: An assessment of the Refined Zigzag Theory. J. Sandw. Struct. Mater. 2021, 23, 760–802. [Google Scholar] [CrossRef]
- Li, D.; Deng, Z.; Xiao, H. Thermomechanical bending analysis of functionally graded sandwich plates using four-variable refined plate theory. Compos. Part B Eng. 2016, 106, 107–119. [Google Scholar] [CrossRef]
- Trinh, M.C.; Kim, S.E. Deterministic and stochastic thermomechanical nonlinear dynamic responses of functionally graded sandwich plates. Compos. Struct. 2021, 274, 114359. [Google Scholar] [CrossRef]
- Liu, Y.; Qin, Z.; Chu, F. Analytical study of the impact response of shear deformable sandwich cylindrical shell with a functionally graded porous core. Mech. Adv. Mater. Struct. 2022, 29, 1338–1347. [Google Scholar] [CrossRef]
- Yoosefifian, A.R.; Golmakani, M.E.; Sadeghian, M. Nonlinear bending of functionally graded sandwich plates under mechanical and thermal load. Commun. Nonlinear Sci. Numer. Simul. 2019, 84, 105161. [Google Scholar] [CrossRef]
- Daikh, A.A.; Bensaid, I.; Zenmour, A.M. Temperature dependent thermomechanical bending response of functionally graded sandwich plates. Eng. Res. Express 2021, 2, 015006. [Google Scholar] [CrossRef]
- Naveenkumar, D.T.; Prahallada, M.C.; Nagaraju, B. Analysis of FGM sandwich plates using higher order refined computational model-in-plane stresses. Int. J. Civ. Eng. Technol. 2018, 9, 577–586. [Google Scholar]
- Liu, Y.; Qin, Z.; Chu, F. Nonlinear dynamic responses of sandwich functionally graded porous cylindrical shells embedded in elastic media under 1:1internal resonance. Appl. Math. Mech. 2021, 42, 805–818. [Google Scholar] [CrossRef]
- Houari, M.; Tounsi, A.; Beg, O.A. Thermoelastic bending analysis of functionally graded sandwich plates using a new higher order shear and normal deformation theory. Int. J. Mech. Sci. 2013, 76, 102–111. [Google Scholar] [CrossRef]
- Tounsi, A.; Houari, M.; Benyoucef, S.; Bedia, E. A refined trigonometric shear deformation theory for thermoelastic bending of functionally graded sandwich plates. Aerosp. Sci. Technol. 2013, 24, 209–220. [Google Scholar] [CrossRef]
- Kaci, A.; Draiche, K.; Zidi, M.; Houari, M.S.A.; Tounsi, A. An efficient and simple refined theory for nonlinear bending analysis of functionally graded sandwich plates. J. Appl. Mech. Tech. Phys. 2013, 54, 847–856. [Google Scholar] [CrossRef]
- Ahmed Houari, M.S.; Benyoucef, S.; Mechab, I.; Tounsi, A.; AddaBedia, E.A. Two-Variable Refined Plate Theory for Thermoelastic Bending Analysis of Functionally Graded Sandwich Plates. J. Therm. Stress. 2011, 34, 315–334. [Google Scholar] [CrossRef]
- Abdelaziz, H.H.; Atmane, H.A.; Mechab, I.; Boumia, L.; Tounsi, A.; Abbas, A. Static Analysis of Functionally Graded Sandwich Plates Using an Efficient and Simple Refined Theory. Chin. J. Aeronaut. 2011, 24, 434–448. [Google Scholar] [CrossRef]
- Zenkour, A.M. Bending analysis of functionally graded sandwich plates using a simple four-unknown shear and normal deformations theory. J. Sandw. Struct. Mater. 2013, 15, 629–656. [Google Scholar] [CrossRef]
- Mantari, J.L.; Granados, E.V. A refined FSDT for the static analysis of functionally graded sandwich plates. Thin-Walled Struct. 2015, 90, 150–158. [Google Scholar] [CrossRef]
- Tlidji, Y.; Daouadji, T.H.; Hadji, L.; Tounsi, A.; Bedia, E.A.A. Elasticity Solution for Bending Response of Functionally Graded Sandwich Plates Under Thermomechanical Loading. J. Therm. Stress. 2014, 37, 852–869. [Google Scholar] [CrossRef]
- Bouamoud, A.; Boucham, B.; Bourada, F.; Houari, M.; Tounsi, A. Thermomechanical bending investigation of FGM sandwich plates using four shear deformation plate theory. Steel Compos. Struct. 2019, 32, 611–632. [Google Scholar]
- Van Do, V.N.; Lee, C.H. Nonlinear analyses of FGM plates in bending by using a modified radial point interpolation mesh-free method. Appl. Math. Model. 2018, 57, 1–20. [Google Scholar] [CrossRef]
- Hirane, H.; Belarbi, M.O.; Houari, M.S.A.; Tounsi, A. On the layerwise finite element formulation for static and free vibration analysis of functionally graded sandwich plates. Eng. Comput. 2021, 38, 3871–3899. [Google Scholar] [CrossRef]
- Naghavi, M.; Sarrami-Foroushani, S.; Azhari, F. Bending analysis of functionally graded sandwich plates using the refined finite strip method. J. Sandw. Struct. Mater. 2022, 24, 448–483. [Google Scholar] [CrossRef]
- Vinh, P.V. Analysis of bi-directional functionally graded sandwich plates via higher-order shear deformation theory and finite element method. J. Sandw. Struct. Mater. 2022, 24, 860–899. [Google Scholar] [CrossRef]
- Natarajan, S.; Ganapathi, M. A comparison of various plate theories for functionally graded material sandwich plates. In From Materials to Structures: Advancement through Innovation; CRC Press: Boca Raton, FL, USA, 2012; pp. 127–131. [Google Scholar]
- Merdaci, S.; Tounsi, A.; Houari, M.S.A.; Mechab, I.; Hebali, H.; Benyoucef, S. Two new refined shear displacement models for functionally graded sandwich plates. Arch. Appl. Mech. 2011, 81, 1507–1522. [Google Scholar] [CrossRef]
- Reissner, E. On transverse bending of plates, including the effect of transverse shear deformation. Int. J. Solids Struct. 1974, 11, 569–573. [Google Scholar] [CrossRef]
- Reddy, J.N. A simple higher-order theory for laminated composite plates. J. Appl. Mech. 1984, 51, 745–752. [Google Scholar] [CrossRef]
- Touratier, M. An efficient standard plate theory. Int. J. Eng. Sci. 1991, 29, 901–916. [Google Scholar] [CrossRef]
- Li, D.; Deng, Z.; Chen, G.; Xiao, H.; Zhu, L. Thermomechanical bending analysis of sandwich plates with both functionally graded face sheets and functionally graded core. Compos. Struct. 2017, 169, 29–41. [Google Scholar] [CrossRef]
- Mantari, J.L.; Granados, E.V. Thermoelastic behavior of advanced composite sandwich plates by using a new 6 unknown quasi-3D hybrid type HSDT. Compos. Struct. 2015, 126, 132–144. [Google Scholar] [CrossRef]
- Zenkour, A.M.; Alghamdi, N.A. Bending Analysis of Functionally Graded Sandwich Plates Under the Effect of Mechanical and Thermal Loads. Mech. Adv. Mater. Struct. 2010, 17, 419–432. [Google Scholar] [CrossRef]






| Ti-6Al-4V | ZrO2 | |
|---|---|---|
| Young’s modulus (GPa) | 66.2 | 117.0 |
| Poisson’s ratio | 1/3 | 1/3 |
| Thermal expansion coefficient (10−6/K) | 10.3 | 7.11 |
| S | Theory | |||
|---|---|---|---|---|
| 0 | SSDPT [38] | 0.796783 | −2.388909 | 0.171603 |
| TSDPT [15] | 0.808168 | −2.461177 | 0.174481 | |
| FSDPT [11] | 0.895735 | −3.597007 | 0.173624 | |
| Present | 0.895427 | −2.650327 | 0.163882 | |
| 1 | SSDPT [38] | 1.011263 | −2.659816 | 0.289195 |
| TSDPT [15] | 1.025367 | −2.730494 | 0.280495 | |
| FSDPT [11] | 1.132449 | −3.756017 | 0.203004 | |
| Present | 1.136261 | −2.961917 | 0.280083 | |
| 3 | SSDPT [38] | 1.092312 | −2.262512 | 0.282953 |
| TSDPT [15] | 1.107475 | −2.328042 | 0.276238 | |
| FSDPT [11] | 1.223232 | −3.311823 | 0.221768 | |
| Present | 1.227011 | −2.517070 | 0.273899 | |
| 5 | SSDPT [38] | 1.112660 | −2.162596 | 0.273950 |
| TSDPT [15] | 1.128152 | −2.226550 | 0.269077 | |
| FSDPT [11] | 1.246833 | −3.196423 | 0.228818 | |
| Present | 1.249763 | −2.405376 | 0.265250 |
| s | Theory | ||||
|---|---|---|---|---|---|
| 1-1-2 | 1-2-2 | 1-2-3 | 2-1-3 | ||
| 0 | Reissener | 0.895427 | 0.895427 | 0.895427 | 0.895427 |
| Reddy | 0.808168 | 0.801678 | 0.808168 | 0.808168 | |
| Touratier | 0.796783 | 0.796783 | 0.796783 | 0.796783 | |
| 1 | Reissener | 1.142143 | 1.110215 | 1.112215 | 1.165239 |
| Reddy | 1.030702 | 1.001863 | 1.003709 | 1.051579 | |
| Touratier | 1.016519 | 0.988059 | 0.989855 | 1.037101 | |
| 3 | Reissener | 1.226837 | 1.190182 | 1.185903 | 1.255485 |
| Reddy | 1.107398 | 1.074180 | 1.070394 | 1.133342 | |
| Touratier | 1.092173 | 1.059464 | 1.055662 | 1.117730 | |
| 5 | Reissener | 1.245792 | 1.210657 | 1.202900 | 1.274230 |
| Reddy | 1.124634 | 1.092766 | 1.085831 | 1.150416 | |
| Touratier | 1.109130 | 1.077772 | 1.070861 | 1.134501 | |
| s | Theory | ||||
|---|---|---|---|---|---|
| 1-1-2 | 1-2-2 | 1-2-3 | 2-1-3 | ||
| 0 | Reissener | −2.650327 | −2.650327 | −2.650327 | −2.650327 |
| Reddy | −2.461177 | −2.461177 | −2.461177 | −2.461177 | |
| Touratier | −2.388909 | −2.388909 | −2.388909 | −2.388909 | |
| 1 | Reissener | −3.066004 | −2.967628 | −2.890075 | −2.738889 |
| Reddy | −2.824426 | −2.735543 | −2.665281 | −2.528809 | |
| Touratier | −2.752510 | −2.664883 | −2.595690 | −2.460966 | |
| 3 | Reissener | −2.693963 | −2.527080 | −2.461049 | −2.275796 |
| Reddy | −2.488009 | −2.336886 | −2.276629 | −2.109048 | |
| Touratier | −2.420248 | −2.271451 | −2.212478 | −2.047177 | |
| 5 | Reissener | −2.606560 | −2.414872 | −2.364258 | −2.184386 |
| Reddy | −2.408708 | −2.234923 | −2.188565 | −2.025707 | |
| Touratier | −2.342244 | −2.177731 | −2.540488 | −1.965394 | |
Disclaimer/Publisher’s Note: The statements, opinions and data contained in all publications are solely those of the individual author(s) and contributor(s) and not of MDPI and/or the editor(s). MDPI and/or the editor(s) disclaim responsibility for any injury to people or property resulting from any ideas, methods, instructions or products referred to in the content. |
© 2023 by the authors. Licensee MDPI, Basel, Switzerland. This article is an open access article distributed under the terms and conditions of the Creative Commons Attribution (CC BY) license (https://creativecommons.org/licenses/by/4.0/).
Share and Cite
Han, M.; Huang, J.; Huang, Z.; Wang, X. Bending Analysis of Asymmetric Functionally Graded Material Sandwich Plates in Thermal Environments. Materials 2023, 16, 4682. https://doi.org/10.3390/ma16134682
Han M, Huang J, Huang Z, Wang X. Bending Analysis of Asymmetric Functionally Graded Material Sandwich Plates in Thermal Environments. Materials. 2023; 16(13):4682. https://doi.org/10.3390/ma16134682
Chicago/Turabian StyleHan, Mengna, Jiahao Huang, Zhicheng Huang, and Xingguo Wang. 2023. "Bending Analysis of Asymmetric Functionally Graded Material Sandwich Plates in Thermal Environments" Materials 16, no. 13: 4682. https://doi.org/10.3390/ma16134682
APA StyleHan, M., Huang, J., Huang, Z., & Wang, X. (2023). Bending Analysis of Asymmetric Functionally Graded Material Sandwich Plates in Thermal Environments. Materials, 16(13), 4682. https://doi.org/10.3390/ma16134682

