Microstructure Characteristics and Hydrogen Storage Kinetics of Mg77+xNi20−xLa3 (x = 0, 5, 10, 15) Alloys
Abstract
1. Introduction
2. Materials and Methods
2.1. Material Preparation Methods
2.2. Structural Characterizations
2.3. Hydrogen Storage Measurements
3. Results
3.1. Microstructure Characteristics
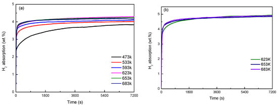
3.2. Activation Behaviors and Hydrogen Absorption Kinetics
3.3. Hydrogen Desorption Kinetics and Activation Energy
4. Conclusions
Author Contributions
Funding
Institutional Review Board Statement
Informed Consent Statement
Data Availability Statement
Conflicts of Interest
References
- Zou, C.; Zhao, Q.; Zhang, G.; Xiong, B. Energy revolution: From a fossil energy era to a new energy era. Nat. Gas Ind. B 2016, 3, 1–11. [Google Scholar] [CrossRef]
- Attia, N.F.; Menemparabath, M.M.; Arepalli, S.; Geckeler, K.E. Inorganic nanotube composites based on polyaniline: Potential room-temperature hydrogen storage materials. Int. J. Hydrogen Energy 2013, 38, 9251–9262. [Google Scholar] [CrossRef]
- Li, L.; Jiang, G.; Tian, H.; Wang, Y. Effect of the hierarchical Co@C nanoflowers on the hydrogen storage properties of MgH2. Int. J. Hydrogen Energy 2017, 42, 28464–28472. [Google Scholar] [CrossRef]
- Liu, C.; Li, F.; Ma, L.P.; Cheng, H.M. Advanced materials for energy storage. Adv. Mater. 2010, 22, E28–E62. [Google Scholar] [CrossRef] [PubMed]
- Chen, X.; Zou, J.; Zeng, X.; Ding, W. Hydrogen storage properties of a Mg-La-Fe-H nano-composite prepared through reactive ball milling. J. Alloys Compd. 2017, 701, 208–214. [Google Scholar] [CrossRef]
- Kojima, Y. Hydrogen storage materials for hydrogen and energy carriers. Int. J. Hydrogen Energy 2019, 44, 18179–18192. [Google Scholar] [CrossRef]
- Rusman, N.A.A.; Dahari, M. A review on the current progress of metal hydrides material for solid-state hydrogen storage applications. Int. J. Hydrogen Energy 2016, 41, 12108–12126. [Google Scholar] [CrossRef]
- Stern, A.G. A new sustainable hydrogen clean energy paradigm. Int. J. Hydrogen Energy 2018, 43, 4244–4255. [Google Scholar] [CrossRef]
- Lototskyy, M.V.; Davids, M.W.; Tolj, I.; Klochko, Y.V.; Sekhar, B.S.; Chidziva, S.; Smith, F.; Swanepoel, D.; Pollet, B.G. Metal hydride systems for hydrogen storage and supply for stationary and automotive low temperature PEM fuel cell power modules. Int. J. Hydrogen Energy 2015, 40, 11491–11497. [Google Scholar] [CrossRef]
- Gosalawit–Utke, R.; Thiangviriya, S.; Javadian, P.; Laipple, D.; Pistidda, C.; Bergemann, N.; Horstmann, C.; Jensen, T.R.; Klassen, T.; Dornheim, M. Effective nanoconfinement of 2LiBH4–MgH2 via simply MgH2 premilling for reversible hydrogen storages. Int. J. Hydrogen Energy 2014, 39, 15614–15626. [Google Scholar] [CrossRef]
- Ali, N.A.; Idris, N.H.; Din, M.F.M.; Yahya, M.; Ismail, M. Nanoflakes MgNiO2 synthesised via a simple hydrothermal method and its catalytic roles on the hydrogen sorption performance of MgH2. J. Alloys Compd. 2019, 796, 279–286. [Google Scholar] [CrossRef]
- Ren, J.; Musyoka, N.M.; Langmi, H.W.; Mathe, M.; Liao, S. Current research trends and perspectives on materials-based hydrogen storage solutions: A critical review. Int. J. Hydrogen Energy 2017, 42, 289–311. [Google Scholar] [CrossRef]
- Wu, Z.; Zhu, L.; Yang, F.; Jiang, Z.; Zhang, Z. First-principles insights into influencing mechanisms of metalloid B on Mg-based hydrides. J. Alloys Compd. 2017, 693, 979–988. [Google Scholar] [CrossRef]
- Ismail, M. Effect of adding different percentages of HfCl4 on the hydrogen storage properties of MgH2. Int. J. Hydrogen Energy 2021, 46, 8621–8628. [Google Scholar] [CrossRef]
- Sakintuna, B.; Lamari-Darkrim, F.; Hirscher, M. Metal hydride materials for solid hydrogen storage: A review. Int. J. Hydrogen Energy 2007, 32, 1121–1140. [Google Scholar] [CrossRef]
- Ren, S.; Fu, Y.; Zhang, L.; Cong, L.; Xie, Y.; Yu, H.; Wang, W.; Li, Y.; Jian, L.; Wang, Y.; et al. An improved hydrogen storage performance of MgH2 enabled by core-shell structure Ni/Fe3O4@ MIL. J. Alloys Compd. 2022, 892, 162048. [Google Scholar] [CrossRef]
- Jain, I.P.; Lal, C.; Jain, A. Hydrogen storage in Mg: A most promising material. Int. J. Hydrogen Energy 2010, 35, 5133–5144. [Google Scholar] [CrossRef]
- Yartys, V.A.; Lototskyy, M.V.; Akiba, E.; Albert, R.; Antonov, V.; Ares, J.; Baricco, M.; Bourgeois, N.; Buckley, C.; von Colbe, J.B.; et al. Magnesium based materials for hydrogen based energy storage: Past; present and future. Int. J. Hydrogen Energy 2019, 44, 7809–7859. [Google Scholar] [CrossRef]
- Kang, H.; Yong, H.; Wang, J.; Xu, S.; Li, L.; Wang, S.; Hu, J.; Zhang, Y. Characterization on the kinetics and thermodynamics of Mg-based hydrogen storage alloy by the multiple alloying of Ce; Ni and Y elements. Mater. Charact. 2021, 182, 111583. [Google Scholar] [CrossRef]
- Zhang, H.; Fu, L.; Qi, J.; Ji, Z. Effects of doping with yttrium on the hydrogen storage performances of the La2Mg17 alloy surface. J. Power Sources 2019, 417, 76–82. [Google Scholar] [CrossRef]
- Akbarzadeh, F.Z.; Rajabi, M. Mechanical alloying fabrication of nickel/cerium/MgH2 nanocomposite for hydrogen storage: Molecular dynamics study and experimental verification. J. Alloys Compd. 2022, 899, 163280. [Google Scholar] [CrossRef]
- Yuan, Z.; Li, X.; Li, T.; Zhai, T.; Lin, Y.; Feng, D.; Zhang, Y. Improved hydrogen storage performances of nanocrystalline RE5Mg41-type alloy synthesized by ball milling. J. Energy Storage 2022, 46, 103702. [Google Scholar] [CrossRef]
- Guo, F.; Zhang, T.; Shi, L.; Chen, Y.; Song, L. Mechanisms of hydrides’ nucleation and the effect of hydrogen pressure induced driving force on hydrogen absorption/desorption kinetics of Mg-based nanocrystalline alloys. Int. J. Hydrogen Energy 2022, 47, 1063–1075. [Google Scholar] [CrossRef]
- Li, Y.; Liu, Z.; Zhang, Y.; Ren, H. A comparative study on the microstructure and cycling stability of the amorphous and nanocrystallization Mg60Ni20La10 alloys. Int. J. Hydrogen Energy 2018, 43, 19141–19151. [Google Scholar] [CrossRef]
- Sazelee, N.; Md Din, M.F.; Ismail, M.; Rather, S.-U.; Bamufleh, H.S.; Alhumade, H.; Taimoor, A.A.; Saeed, U. Effect of LaCoO3 synthesized via solid-state method on the hydrogen storage properties of MgH2. Materials 2023, 16, 2449. [Google Scholar] [CrossRef]
- Yong, H.; Wei, X.; Wang, Y.; Guo, S.; Yuan, Z.; Qi, Y.; Zhao, D.; Zhang, Y. Phase evolution; thermodynamics and kinetics property of transition metal (TM = Zr; Ti; V) catalyzed Mg–Ce–Y–Ni hydrogen storage alloys. J. Phys. Chem. Solids 2020, 144, 109516. [Google Scholar] [CrossRef]
- Suárez-Alcántara, K.; Flores-Jacobo, N.I.; Osorio-García, M.P.; Cabañas-Moreno, J.G. Fast Hydrogen Sorption Kinetics in Mg-VCl3 Produced by Cryogenic Ball-Milling. Materials 2023, 16, 2526. [Google Scholar] [CrossRef] [PubMed]
- Chen, J.N.; Zhang, J.; He, J.H.; Zhou, X.; Lu, X.; Chen, X.; Yu, L.; Zhou, D. A comparative study on hydrogen storage properties of as-cast and extruded Mg-4.7 Y-4.1 Nd-0.5 Zr alloys. J. Phys. Chem. Solids 2022, 161, 110483. [Google Scholar] [CrossRef]
- Lyu, J.; Elman, R.; Svyatkin, L.; Kudiiarov, V. Theoretical and Experimental Studies of Al-Impurity Effect on the Hydrogenation Behavior of Mg. Materials 2022, 15, 8126. [Google Scholar] [CrossRef]
- Zhang, J.; Yao, Y.; He, L.; Zhou, X.; Yu, L.; Lu, X.; Peng, P. Hydrogen storage properties and mechanisms of as-cast; homogenized and ECAP processed Mg98. 5Y1Zn0. 5 alloys containing LPSO phase. Energy 2021, 217, 119315. [Google Scholar] [CrossRef]
- Pozzo, M.; Alfe, D. Hydrogen dissociation and diffusion on transition metal (= Ti; Zr; V.; Fe; Ru; Co; Rh; Ni; Pd; Cu; Ag)-doped Mg (0001) surfaces. Int. J. Hydrogen Energy 2009, 34, 1922–1930. [Google Scholar] [CrossRef]
- Cui, J.; Liu, J.; Wang, H.; Ouyang, L.; Sun, D.; Zhu, M.; Yao, D. Mg–TM (TM: Ti; Nb; V.; Co; Mo or Ni) core–shell like nanostructures: Synthesis; hydrogen storage performance and catalytic mechanism. J. Mater. Chem. A 2014, 2, 9645–9655. [Google Scholar] [CrossRef]
- Tan, Z.; Ouyang, L.; Liu, J.; Wang, H.; Shao, H.; Zhu, M. Hydrogen generation by hydrolysis of Mg-Mg2Si composite and enhanced kinetics performance from introducing of MgCl2 and Si. Int. J. Hydrogen Energy 2018, 43, 2903–2912. [Google Scholar] [CrossRef]
- Ding, X.; Chen, R.; Jin, Y.; Chen, X.; Guo, J.; Su, Y.; Ding, H.; Fu, H. Activation mechanism and dehydrogenation behavior in bulk hypo/hyper-eutectic Mg-Ni alloy. J. Power Sources 2018, 374, 158–165. [Google Scholar] [CrossRef]
- Khan, D.; Zou, J.; Zeng, X.; Ding, W. Hydrogen storage properties of nanocrystalline Mg2Ni prepared from compressed 2MgH2Ni powder. Int. J. Hydrogen Energy 2018, 43, 22391–22400. [Google Scholar] [CrossRef]
- Čermák, J.; Král, L. Hydrogen diffusion in Mg–H and Mg–Ni–H alloys. Acta Mater. 2008, 56, 2677–2686. [Google Scholar] [CrossRef]
- Zhou, C.; Fang, Z.Z.; Lu, J.; Zhang, X. Thermodynamic and kinetic destabilization of magnesium hydride using Mg–In solid solution alloys. J. Am. Chem. Soc. 2013, 135, 10982–10985. [Google Scholar] [CrossRef] [PubMed]
- Korablov, D.; Besenbacher, F.; Jensen, T.R. Kinetics and thermodynamics of hydrogenation-dehydrogenation for Mg-25% TM (TM = Ti; Nb or V) composites synthesized by reactive ball milling in hydrogen. Int. J. Hydrogen Energy 2018, 43, 16804–16814. [Google Scholar] [CrossRef]
- El-Eskandarany, M.S.; Shaban, E.; Ali, N.; Aldakheel, F.; Alkandary, A. In-situ catalyzation approach for enhancing the hydrogenation/dehydrogenation kinetics of MgH2 powders with Ni particles. Sci. Rep. 2016, 6, 37335. [Google Scholar] [CrossRef]
- Ouyang, L.Z.; Huang, J.M.; Wang, H.; Wen, Y.; Zhang, Q.; Sun, D.; Zhu, M. Excellent hydrolysis performances of Mg3RE hydrides. Int. J. Hydrogen Energy 2013, 38, 2973–2978. [Google Scholar] [CrossRef]
- Zhang, Q.A.; Liu, D.D.; Wang, Q.Q.; Fang, F.; Sun, D.; Ouyang, L.; Zhu, M. Superior hydrogen storage kinetics of Mg12YNi alloy with a long-period stacking ordered phase. Scr. Mater. 2011, 65, 233–236. [Google Scholar] [CrossRef]
- Ouyang, L.Z.; Yang, X.S.; Zhu, M.; Li, J.; Dong, H.; Sun, D.; Zou, J.; Yao, X. Enhanced hydrogen storage kinetics and stability by synergistic effects of in situ formed CeH2.73 and Ni in CeH2.73-MgH2-Ni nanocomposites. J. Phys. Chem. C 2014, 118, 7808–7820. [Google Scholar] [CrossRef]
- Pang, X.; Ran, L.; Luo, Y.; Luo, Y.; Pan, F. Enhancing hydrogen storage performance via optimizing Y and Ni element in magnesium alloy. J. Magnes. Alloys 2022, 10, 821–835. [Google Scholar] [CrossRef]
- Guo, F.; Zhang, T.; Shi, L.; Song, L. Composition dependent microstructure evolution; activation and hydrogen absorption/desorption properties of Mg–Ni–La alloys. Int. J. Hydrogen Energy 2019, 44, 16745–16756. [Google Scholar] [CrossRef]
- Yong, H.; Guo, S.; Yuan, Z.; Qi, Y.; Zhao, D.; Zhang, Z. Catalytic effect of in situ formed Mg2Ni and REHx (RE: Ce and Y) on thermodynamics and kinetics of Mg-RE-Ni hydrogen storage alloy. Renew. Energy 2020, 157, 828–839. [Google Scholar] [CrossRef]
- Kang, Y.B.; Jin, L.; Chartrand, P.; Gheribi, A.E.; Bai, K.; Wu, P. Thermodynamic evaluations and optimizations of binary Mg-light rare Earth (La; Ce; Pr; Nd; Sm) systems. Calphad 2012, 38, 100–116. [Google Scholar] [CrossRef]
- Ding, X.; Chen, R.; Zhang, J.; Chen, X.; Su, Y.; Guo, J. Achieving superior hydrogen storage properties via in-situ formed nanostructures: A high-capacity Mg–Ni alloy with La microalloying. Int. J. Hydrogen Energy 2022, 47, 6755–6766. [Google Scholar] [CrossRef]
- Lass, E.A. Hydrogen storage measurements in novel Mg-based nanostructured alloys produced via rapid solidification and devitrification. Int. J. Hydrogen Energy 2011, 36, 10787–10796. [Google Scholar] [CrossRef]
- Zhang, J.; Ding, X.; Chen, R.; Cao, W.; Su, Y.; Guo, J. Design of LPSO-introduced Mg96Y2Zn2 alloy and its improved hydrogen storage properties catalyzed by in-situ formed YH2. J. Alloys Compd. 2022, 910, 164832. [Google Scholar] [CrossRef]
- He, J.H.; Zhang, J.; Zhou, X.J.; Chen, J.; Yu, L.; Jiang, L.; Jiang, K.; Lu, X.; Chen, X.; Zhou, Z. Hydrogen storage properties of Mg98.5Gd1Zn0.5 and Mg98.5Gd0.5Y0.5Zn0.5 alloys containing LPSO phases. Int. J. Hydrogen Energy 2021, 46, 32949–32961. [Google Scholar] [CrossRef]
- Tanaka, K.; Kanda, Y.; Furuhashi, M.; Saito, K.; Kuroda, K.; Saka, H. Improvement of hydrogen storage properties of melt-spun Mg–Ni–RE alloys by nanocrystallization. J. Alloys Compd. 1999, 293, 521–525. [Google Scholar] [CrossRef]
- Li, Y.; Yang, J.; Luo, L.; Hu, F.; Zhai, T.; Zhao, Z.; Zhang, Z.; Zhao, D. Microstructure characteristics, hydrogen storage kinetic and thermodynamic properties of Mg80−xNi20Yx (x= 0 –7) alloys. Int. J. Hydrogen Energy 2019, 44, 7371–7380. [Google Scholar] [CrossRef]
- Poletaev, A.A.; Denys, R.V.; Solberg, J.K.; Tarasov, B.P.; Yartys, V.A. Microstructural optimization of LaMg12 alloy for hydrogen storage. J. Alloys Compd. 2011, 509, S633–S639. [Google Scholar] [CrossRef]










| Alloy | 5 K/min | 10 K/min | 20 K/min | 40 K/min | ||||
|---|---|---|---|---|---|---|---|---|
| Mg2NiH4 | MgH2 | Mg2NiH4 | MgH2 | Mg2NiH4 | MgH2 | Mg2NiH4 | MgH2 | |
| Mg77Ni20La3 | 515.7 | 551.9 | 516.6 | 569.8 | 519.2 | 598.9 | 522.3 | 623.7 |
| Mg82Ni15La3 | 514.4 | 572.3 | 514.9 | 591.4 | 517.5 | 621.9 | 520.5 | 647.6 |
| Mg87Ni10La3 | 513.2 | 579.3 | 514.8 | 604.5 | 515.8 | 629.8 | 518.4 | 656.3 |
| Mg92Ni5La3 | 513.6 | 575.9 | 513.6 | 598.4 | 514.9 | 624.1 | 517.5 | 659.4 |
| Alloy | Peak Temperature/°C | Melting Enthalpy/J·g−1 | ||||||
|---|---|---|---|---|---|---|---|---|
| 5 K/min | 10 K/min | 20 K/min | 40 K/min | 5 K/min | 10 K/min | 20 K/min | 40 K/min | |
| Mg77Ni20La3 | 545.4 | 561.1 | 589.7 | 613.7 | −1177 | −1176 | −1067 | −1112 |
| Mg82Ni15La3 | 572.3 | 591.4 | 621.9 | 647.6 | −1218 | −1107 | −1062 | −1142 |
| Mg87Ni10La3 | 579.3 | 604.5 | 629.8 | 656.3 | −1529 | −1322 | −1328 | −1406 |
| Mg92Ni5La3 | 575.9 | 598.4 | 624.1 | 659.4 | −1428 | −1271 | −1314 | −1180 |
Disclaimer/Publisher’s Note: The statements, opinions and data contained in all publications are solely those of the individual author(s) and contributor(s) and not of MDPI and/or the editor(s). MDPI and/or the editor(s) disclaim responsibility for any injury to people or property resulting from any ideas, methods, instructions or products referred to in the content. |
© 2023 by the authors. Licensee MDPI, Basel, Switzerland. This article is an open access article distributed under the terms and conditions of the Creative Commons Attribution (CC BY) license (https://creativecommons.org/licenses/by/4.0/).
Share and Cite
Tian, H.; Wang, Q.; Li, X.; Luo, L.; Li, Y. Microstructure Characteristics and Hydrogen Storage Kinetics of Mg77+xNi20−xLa3 (x = 0, 5, 10, 15) Alloys. Materials 2023, 16, 4576. https://doi.org/10.3390/ma16134576
Tian H, Wang Q, Li X, Luo L, Li Y. Microstructure Characteristics and Hydrogen Storage Kinetics of Mg77+xNi20−xLa3 (x = 0, 5, 10, 15) Alloys. Materials. 2023; 16(13):4576. https://doi.org/10.3390/ma16134576
Chicago/Turabian StyleTian, Hongxiao, Qichang Wang, Xia Li, Long Luo, and Yongzhi Li. 2023. "Microstructure Characteristics and Hydrogen Storage Kinetics of Mg77+xNi20−xLa3 (x = 0, 5, 10, 15) Alloys" Materials 16, no. 13: 4576. https://doi.org/10.3390/ma16134576
APA StyleTian, H., Wang, Q., Li, X., Luo, L., & Li, Y. (2023). Microstructure Characteristics and Hydrogen Storage Kinetics of Mg77+xNi20−xLa3 (x = 0, 5, 10, 15) Alloys. Materials, 16(13), 4576. https://doi.org/10.3390/ma16134576
