Mechanical Behavior and Crack Evolution of Goaf Surrounding Rock with Different Roof-Contacted Filling Rates
Abstract
1. Introduction
2. Materials and Methods
2.1. Test Method
2.2. Numerical Simulation (PFC3D)
2.2.1. Determination of Micro-Mechanical Parameters of the GSR
2.2.2. Construction of the GSR
2.2.3. Arrangement of Measuring Ball
3. Analysis of Experimental Results
3.1. Stress-Strain Analysis
- Compaction stage (OA): The original cracks in the GSR are closed under load, while the backfill in the goaf is tightly connected to the rock wall under load compression, and the stress-strain curve is concave. Due to the tight connection stage between the backfill and the rock wall, the compression stage is long;
- Elastic stage (AB): Different from the previous stage, the GSR sample has been compacted and a small number of cracks gradually appear inside. The stress and strain in this stage increase linearly;
- Yield stage (BC): When the stress exceeds the yield limit, the particles can no longer be compressed, and their bond is damaged, resulting in a large number of cracks. As the loading continues, the cracks develop and spread in the weak area of the GSR, and the stress-strain curve fluctuates up and down;
- Failure stage (CD): After the bearing capacity of the GSR reaches its peak, under the action of inter-particle friction, not all bearing capacity is immediately lost, and residual stress is clearly manifested. At this time, the GSR still has bearing capacity. The stress-strain curve at this stage rapidly decreases after a period of fluctuation.

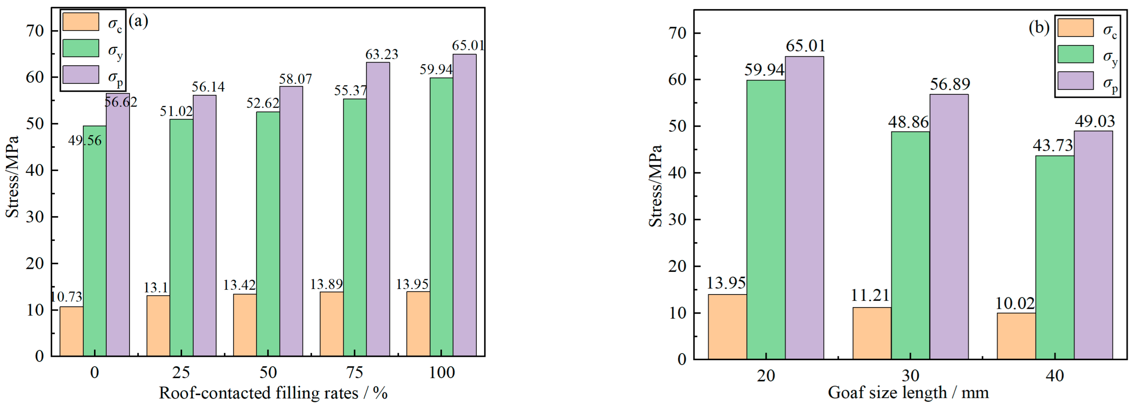
3.2. Analysis of Mechanical Characteristics of GSR
3.3. Characteristic Analysis of Acoustic Emission Signal
4. Crack Evolution in Combine Model
5. Conclusions
- The stress and strain curve of the GSR can be divided into four stages: In the compaction stage, the primary crack and goaf are compressed, and the curve is concave. In the elastic stage, the particles are compressed and the curve rises linearly. In the yield stage, the bond between the microparticles is continuously destroyed, and the curve rises in fluctuation. In the failure stage, the crack gradually penetrates the sample and the curve drops sharply. The stress magnitude at each stage increases with the increase of RCFR, and decreases with the increase of goaf size;
- The peak stress, peak strain, and elastic modulus of GSR increase linearly with the increase of RCFR, and decrease with the increase of goaf size. When the RCFR increases from 0% to 100%, the peak stress, peak strain, and elastic modulus of the GSR sample with a goaf size of 20 mm have the highest growth amplitude, with 14.8%, 11.7%, and 20.5%, respectively;
- The acoustic emission ringing count of the GSR sample significantly increases during the bC stage, and multiple ringing count peaks appear. The cumulative ringing count curve shows a “stepped” growth. The acoustic emission ringing count at each stage point increases with the increase of RCFR, but the proportion of acoustic emission ringing count at peak stage point C decreases with the increase of RCFR;
- During the loading process of the GSR samples, shear failure mainly occurs, and the initiated failure cracks are generated from the left and right ends of the filling joint between the rock mass and the backfill. According to the growth of RCFR, the crack initiation position changes accordingly. The rock mass in the GSR sample is prone to shear cracks, while the filling material is prone to tensile cracks, and the number of cracks increases faster in the rock mass;
- In the GSR sample, stress concentration is prone to occur at the crack initiation site, and failure occurs during the peak stage to release stress. The peak concentration stress in the rock mass and backfill is 1–2.5 times and 0.17–0.7 times the GSR peak stress, respectively. From the stress cloud nephogram, it can be seen that the four corners of the goaf and the middle of the backfill in the GSR sample are subject to stress concentration.
Author Contributions
Funding
Data Availability Statement
Acknowledgments
Conflicts of Interest
References
- Zhao, X.; Zhou, X.; Zhao, Y.; Yu, W.L. Research status and progress of prevention and control of mining disasters in deep metal mines. J. Cent. South Univ. Sci. Technol. 2021, 52, 2522–2538. [Google Scholar]
- Kaiser, P.K.; Cai, M. Design of rock support system under rockburst condition. J. Rock Mech. Geotech. Eng. 2012, 4, 215–227. [Google Scholar] [CrossRef]
- Fu, J.; Song, W.; Tan, Y. Criterion of local energy release rate of gob instability in deep mines considering unloading stress path. Int. J. Min. Sci. Technol. 2017, 27, 1011–1017. [Google Scholar] [CrossRef]
- Fu, J.; Cui, D.; Song, W. Strength sensitivity and failure mechanism of fully cemented tailings backfill. J. Chin. J. Eng. 2014, 36, 1149–1157. [Google Scholar]
- Ghazdali, O.; Moustadraf, J.; Tagma, T.; Alabjah, B.; Amraoui, F. Study and evaluation of the stability of underground mining method used in shallow-dip vein deposits hosted in poor quality rock. Min. Miner. Depos. 2021, 15, 31–38. [Google Scholar] [CrossRef]
- Zhang, J.; Yan, H.; Zhang, Q.; Li, B.; Zhang, S. Disaster-causing mechanism of extremely thick igneous rock induced by mining and prevention method by backfill mining. Eur. J. Environ. Civ. Eng. 2020, 24, 307–320. [Google Scholar] [CrossRef]
- Xue, Y.; Xu, T.; Wasantha, P.L.; Yang, T.-H.; Fu, T.-F. Dynamic disaster control of backfill mining under thick magmatic rock in one side goaf: A case study. J. Cent. South Univ. 2020, 27, 3103–3117. [Google Scholar] [CrossRef]
- Kuzmenko, O.; Dychkovskyi, R.; Petlovanyi, M.; Buketov, V.; Howaniec, N.; Smolinski, A. Mechanism of Interaction of Backfill Mixtures with Natural Rock Fractures within the Zone of Their Intense Manifestation while Developing Steep Ore Deposits. Sustainability 2023, 15, 4889. [Google Scholar] [CrossRef]
- Wang, J.; Fu, J.; Song, W.; Zhang, Y.; Wu, S. Acoustic emission characteristics and damage evolution process of layered cemented tailings backfill under uniaxial compression. Constr. Build. Mater. 2021, 295, 123663. [Google Scholar] [CrossRef]
- Zhang, C.; Fu, J.; Song, W.; Kang, M.; Li, T.; Wang, N. Analysis on mechanical behavior and failure characteristics of layered cemented paste backfill (LCPB) under triaxial compression. Constr. Build. Mater. 2022, 324, 126631. [Google Scholar] [CrossRef]
- Wang, J.; Fu, J.; Song, W.; Zhang, Y. Effect of rice husk ash (RHA) dosage on pore structural and mechanical properties of cemented paste backfill. J. Mater. Res. Technol. 2022, 17, 840–851. [Google Scholar] [CrossRef]
- Wang, J.; Zhang, C.; Fu, J.; Song, W.; Zhang, Y. Effect of water saturation on mechanical characteristics and damage behavior of cemented paste backfill. J. Mater. Res. Technol. 2021, 15, 6624–6639. [Google Scholar] [CrossRef]
- Wang, J.; Fu, J.; Song, W.; Zhang, Y.; Wang, Y. Mechanical behavior, acoustic emission properties and damage evolution of cemented paste backfill considering structural feature. Constr. Build. Mater. 2020, 261, 119958. [Google Scholar] [CrossRef]
- Wang, J.; Fu, J.; Song, W.; Zhang, Y. Viscosity and Strength Properties of Cemented Tailings Backfill with Fly Ash and Its Strength Predicted. Minerals 2021, 11, 78. [Google Scholar] [CrossRef]
- Zhang, Y.; Zhang, Z.; Guo, L.; Du, X. Strength Model of Backfill-Rock Irregular Interface Based on Fractal Theory. Front. Mater. 2021, 8, 792014. [Google Scholar] [CrossRef]
- Wang, J.; Zhang, C.; Fu, J.; Song, W.; Zhang, Y. The Energy Dissipation Mechanism and Damage Constitutive Model of Roof–CPB–Floor (RCF) Layered Composite Materials. Minerals 2022, 12, 419. [Google Scholar] [CrossRef]
- Yu, X.; Song, W.; Tan, Y.; Kemeny, J.; Wang, J. Energy dissipation and 3d fracturing of Backfill-encased-rock under triaxial compression. Constr. Build. Mater. 2022, 341, 127877. [Google Scholar] [CrossRef]
- Wang, J.; Zhang, C.; Song, W.; Zhang, Y. The Energy Dissipation, AE Characteristics, and Microcrack Evolution of Rock–Backfill Composite Materials (RBCM). Minerals 2022, 12, 482. [Google Scholar] [CrossRef]
- Tan, Y.; Yu, X.; Song, W.; Wang, H.P.; Cao, S. Experimental study on combined pressure-bearing mechanism of filling body and surrounding rock. J. Min. Saf. Eng. 2018, 35, 1071–1076. [Google Scholar]
- Song, W.; Zhu, P.; Qi, W.; Tang, Y.N. Coupling mechanism of rock-backfill system under triaxial compression. J. Min. Saf. Eng. 2017, 34, 573–579. [Google Scholar]
- Song, W.; Ren, H.; Cao, S. Interaction mechanism between backfill and rock pillar under confined compression condition. J. China Univ. Min. Technol. 2016, 45, 49–55. [Google Scholar]
- Fang, K.; Fall, M. Effects of curing temperature on shear behaviour of cemented paste backfill-rock interface. Int. J. Rock Mech. Min. Sci. 2018, 112, 184–192. [Google Scholar] [CrossRef]
- Fang, K.; Fall, M. Chemically Induced Changes in the Shear Behaviour of Interface Between Rock and Tailings Backfill Undergoing Cementation. Rock Mech. Rock Eng. 2019, 52, 3047–3062. [Google Scholar] [CrossRef]
- Fang, K.; Fall, M. Shear Behavior of the Interface Between Rock and Cemented Backfill: Effect of Curing Stress, Drainage Condition and Backfilling Rate. Rock Mech. Rock Eng. 2020, 53, 325–336. [Google Scholar] [CrossRef]
- Wang, J.; Fu, J.; Song, W.; Zhang, Y. Mechanical properties, damage evolution, and constitutive model of rock-encased backfill under uniaxial compression. Constr. Build. Mater. 2021, 285, 122898. [Google Scholar] [CrossRef]
- Zhao, Y.; Gao, Y.; Wu, S. Experimental and Numerical Studies of Brittle Rock-Like Samples with Internal Open Fractures and Cavities Under Uniaxial Compression. Arab. J. Sci. Eng. 2020, 45, 8349–8368. [Google Scholar] [CrossRef]
- Manouchehrian, A.; Marji, M. Numerical analysis of confinement effect on crack propagation mechanism from a flaw in a pre-cracked rock under compression. Acta Mech. Sin. 2012, 28, 1389–1397. [Google Scholar] [CrossRef]
- Manouchehrian, A.; Sharifzadeh, M.; Marji, M.; Gholamnejad, J. A bonded particle model for analysis of the flaw orientation effect on crack propagation mechanism in brittle materials under compression. Arch. Civ. Mech. Eng. 2014, 14, 40–52. [Google Scholar] [CrossRef]
- Liu, G.; Sun, W.; Lowinger, S.M.; Zhang, Z.; Huang, M.; Peng, J. Coupled flow network and discrete element modeling of injection-induced crack propagation and coalescence in brittle rock. Acta Geotech. 2019, 14, 843–868. [Google Scholar] [CrossRef]
- Haeri, H.; Sarfarazi, V.; Marji, M.F. Experimental and Numerical Investigation of Uniaxial Compression Failure in Rock-Like Specimens with L-shaped Nonpersistent Cracks. Iran. J. Sci. Technol. Trans. Civ. Eng. 2020, 45, 2555–2575. [Google Scholar] [CrossRef]
- Zhang, Y.; Feng, G.; Lin, M.; Li, X.; Gao, C.; Liang, X. Acoustic emission feature events during rock failure and their cumulative probability distribution: Case study of phosphate rock and granite. Front. Environ. Sci. 2022, 10, 1002474. [Google Scholar] [CrossRef]
- Zhang, Z.; Liu, X.; Zhang, Y.; Qin, X.; Khan, M. Comparative study on fracture characteristics of coal and rock samples based on acoustic emission technology. Theor. Appl. Fract. Mech. 2021, 111, 102851. [Google Scholar] [CrossRef]
- Wang, C.; Zhou, B.; Li, C.; Cao, C.; Sui, Q.; Zhao, G.; Yu, W.; Chen, Z.; Wang, Y.; Liu, B.; et al. Experimental investigation on the spatio-temporal-energy evolution pattern of limestone fracture using acoustic emission monitoring. J. Appl. Geophys. 2022, 206, 104787. [Google Scholar] [CrossRef]
- Xie, X.; Li, S.; Guo, J. Study on Multiple Fractal Analysis and Response Characteristics of Acoustic Emission Signals from Goaf Rock Bodies. Sensors 2022, 22, 2746. [Google Scholar] [CrossRef]
- Zhao, K.; Ma, H.; Liang, X.; Li, X.; Liu, Y.; Cai, R.; Ye, L.; Yang, C. Damage evaluation of rock salt under multilevel cyclic loading with constant stress intervals using AE monitoring and CT scanning. J. Pet. Sci. Eng. 2022, 208, 109517. [Google Scholar] [CrossRef]
- Hao, J.; Zhang, Y.; Qiao, L.; Deng, N.-F.; Li, Q.-W.; Zhang, Q.-L. Study on Gradual Fracture of Rock and Key Precursor Information before Peak Stress Based on AE Monitoring under True Triaxial Loading. J. Mater. Civ. Eng. 2022, 34. [Google Scholar] [CrossRef]
- Cheng, A.; Shu, P.; Zhang, Y.; Wang, P.; Wang, M.X. Acoustic emission characteristics and damage constitution of backfill-surrounding rock combination. J. Min. Saf. Eng. 2020, 37, 1238–1245. [Google Scholar]















| Micro-Parameters | Rock | Backfill | Rock-Backfill |
|---|---|---|---|
| Minimum radius of the particle Rmin (mm) | 0.8 | 0.64 | - |
| Maximum radius of the particle Rmax (mm) | 1.2 | 0.96 | - |
| Density of the particle, ρ (kg/m3) | 2500 | 1700 | - |
| Friction coefficient, μ | 0.7 | 0.7 | 0.7 |
| Normal-to-shear stiffness ratio, kn/ks | 2 | 2 | 2 |
| Linear Bond effective modulus E (GPa) | 8.44 | 0.15 | 0.175 |
| Linear Parallel Bond effective modulus E (GPa) | 8.44 | 0.15 | 0.175 |
| Linear Parallel Bond Tensile strength σc (MPa) | 50.02 | 3.9 | 4.2 |
| Linear Parallel Bond Cohesion c (MPa) | 25.01 | 1.95 | 2.1 |
| Friction angle ϕ (°) | 45 | 30 | 30 |
| Specimen Number | Peak Stress σ1/MPa | Peak Strain ε1/10−3 | Elastic Modulus E0/GPa |
|---|---|---|---|
| GSR-20-0 | 56.62 | 14.66 | 5.61 |
| GSR-20-25 | 56.14 | 14.94 | 5.91 |
| GSR-20-50 | 58.07 | 15.23 | 6.27 |
| GSR-20-75 | 63.23 | 16.11 | 6.45 |
| GSR-20-100 | 65.01 | 16.38 | 6.76 |
| GSR-30-0 | 51.30 | 14.25 | 5.16 |
| GSR-30-25 | 54.84 | 14.50 | 5.33 |
| GSR-30-50 | 55.76 | 14.41 | 5.57 |
| GSR-30-75 | 56.31 | 14.93 | 5.65 |
| GSR-30-100 | 56.89 | 15.11 | 5.97 |
| GSR-40-0 | 46.86 | 13.46 | 4.92 |
| GSR-40-25 | 47.27 | 13.96 | 5.07 |
| GSR-40-50 | 47.42 | 13.89 | 5.16 |
| GSR-40-75 | 48.11 | 14.06 | 5.25 |
| GSR-40-100 | 49.03 | 14.54 | 5.48 |
| Fitting Formulas | Goaf Size/mm | Fitting Formulas | R2 |
|---|---|---|---|
| Peak stress | 20 | y = 55.04 + 0.095x | 0.8711 |
| 30 | y = 52.49 + 0.051x | 0.8173 | |
| 40 | y = 46.70 + 0.021x | 0.9257 | |
| Peak strain | 20 | y = 14.54 + 0.0184x | 0.9521 |
| 30 | y = 14.21 + 0.0086x | 0.8728 | |
| 40 | y = 13.53 + 0.0090x | 0.8528 | |
| Elastic modulus | 20 | y = 5.632 + 0.0114x | 0.9918 |
| 30 | y = 5.148 + 0.0078x | 0.9742 | |
| 40 | y = 4.916 + 0.0052x | 0.9662 |
Disclaimer/Publisher’s Note: The statements, opinions and data contained in all publications are solely those of the individual author(s) and contributor(s) and not of MDPI and/or the editor(s). MDPI and/or the editor(s) disclaim responsibility for any injury to people or property resulting from any ideas, methods, instructions or products referred to in the content. |
© 2023 by the authors. Licensee MDPI, Basel, Switzerland. This article is an open access article distributed under the terms and conditions of the Creative Commons Attribution (CC BY) license (https://creativecommons.org/licenses/by/4.0/).
Share and Cite
Wang, J.; Huang, K.; Fu, J.; Song, W. Mechanical Behavior and Crack Evolution of Goaf Surrounding Rock with Different Roof-Contacted Filling Rates. Materials 2023, 16, 4435. https://doi.org/10.3390/ma16124435
Wang J, Huang K, Fu J, Song W. Mechanical Behavior and Crack Evolution of Goaf Surrounding Rock with Different Roof-Contacted Filling Rates. Materials. 2023; 16(12):4435. https://doi.org/10.3390/ma16124435
Chicago/Turabian StyleWang, Jie, Kaifei Huang, Jianxin Fu, and Weidong Song. 2023. "Mechanical Behavior and Crack Evolution of Goaf Surrounding Rock with Different Roof-Contacted Filling Rates" Materials 16, no. 12: 4435. https://doi.org/10.3390/ma16124435
APA StyleWang, J., Huang, K., Fu, J., & Song, W. (2023). Mechanical Behavior and Crack Evolution of Goaf Surrounding Rock with Different Roof-Contacted Filling Rates. Materials, 16(12), 4435. https://doi.org/10.3390/ma16124435
