Investigation on the Ductility Capacity of Concrete Columns with High Strength Steel Reinforcement under Eccentric Loading
Abstract
1. Introduction
2. Experimental Research
2.1. Test Design
2.2. Loading and Measurement
2.3. Material Properties
3. Results of Tests and Analysis
3.1. General Behavior of Specimens
3.2. Load-Deflection Curves
3.3. Reinforcement Strain
4. Numerical Analyses
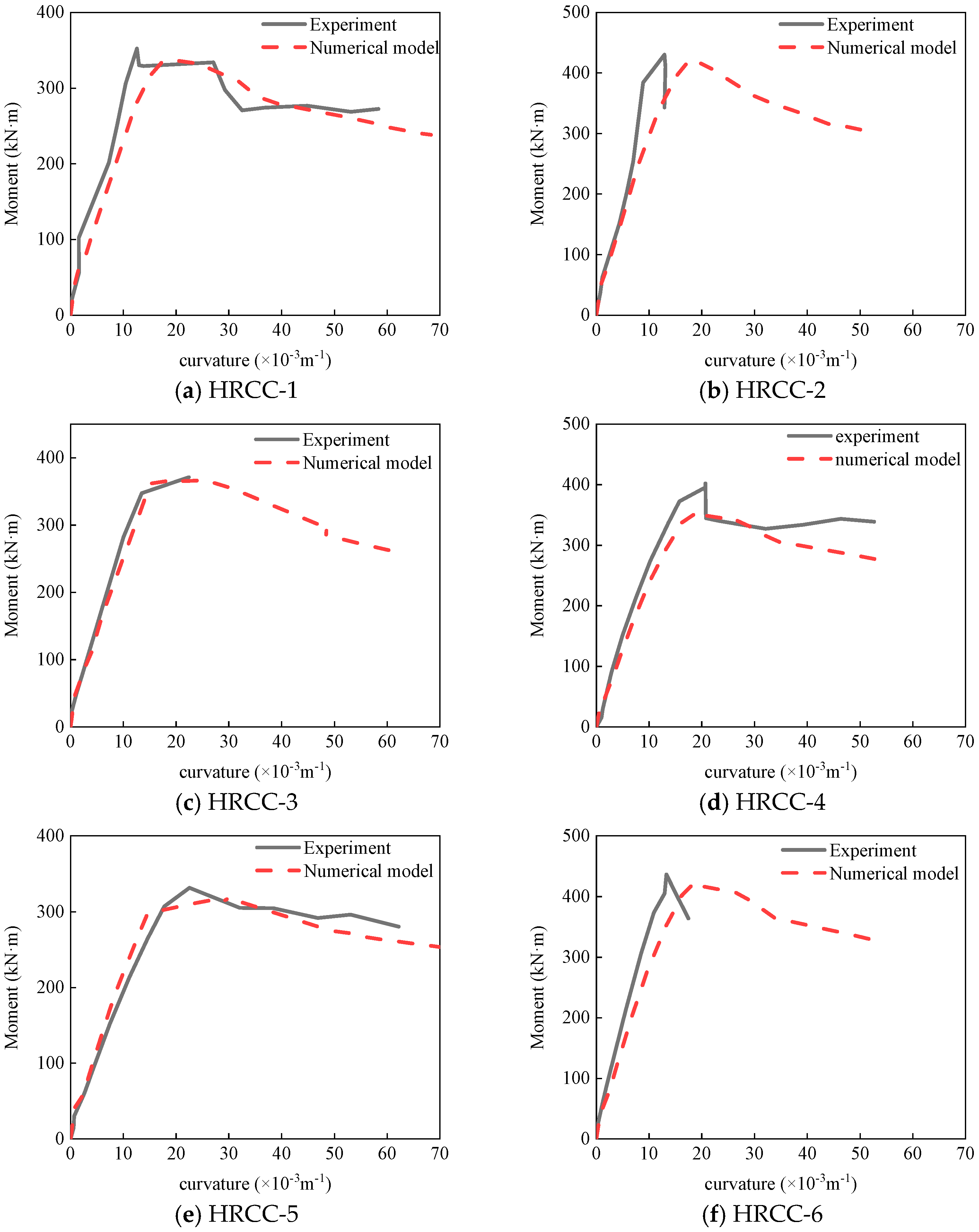
4.1. Model Establishment and Validation
4.2. Parametric Analysis
4.2.1. Influence of Concrete Strength
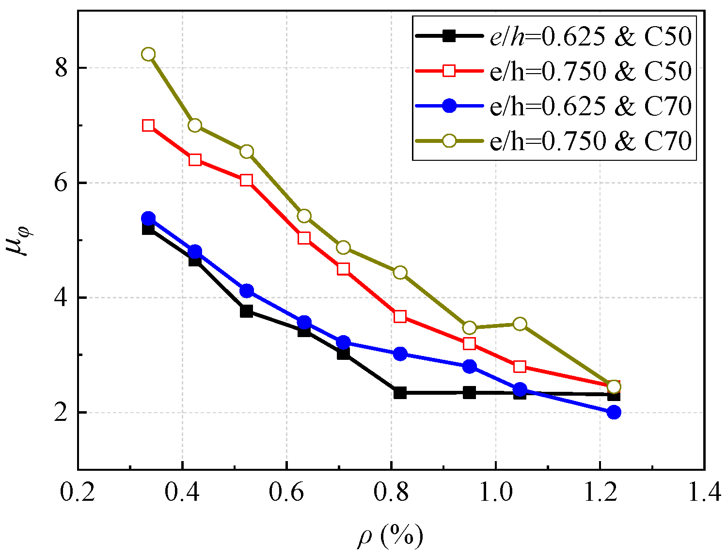
4.2.2. Effect of Reinforcement Ratio
4.2.3. Effect of Eccentricity Ratio
4.3. Ductility Calculation
5. Conclusions
- (1)
- The failure modes of concrete columns with high strength steel reinforcement under eccentric loading are similar to that with ordinary steel reinforcement.
- (2)
- The ductility of the column section under eccentric compression increases with the increase of concrete strength, but in some cases there was no obvious pattern.
- (3)
- The ductility of column section decreases with the increase of reinforcement ratio, especially when the eccentricity is large, and the ductility of the sections with larger eccentricity is generally larger. For small eccentricity, when the reinforcement ratio increases from 0.34% to 1.23%, the ductility decreases by about 58%, and for large eccentricity, the ductility decreases by about 70%.
- (4)
- The ductility of column section increases with the increase of eccentricity ratio, and the change is greater when the reinforcement ratio is smaller. For a smaller reinforcement ratio, when the eccentricity increases from 0.475 to 0.85, the section ductility increases by about 113%, and for a larger reinforcement ratio, the ductility increases by about 45%.
- (5)
- The simplified calculation formula of curvature ductility can accurately evaluate the ductility of the concrete columns with high strength steel reinforcement under eccentric loading.
- (6)
- The ductility of the concrete columns with high strength steel reinforcement under eccentric loading can be improved by improving the concrete strength and increasing eccentricity ratio. Increasing the reinforcement ratio has a negative impact on ductility, so when there is a demand for high ductility, it is necessary to control the reinforcement ratio to not exceed a certain limit value.
- (7)
- There are some limitations in the work of this manuscript, for examples, the results were based on cross-sections and ignored the influence of slenderness ratio, and the bidirectional eccentricity was not considered. In future research, more attention will be paid to spatial effects.
Author Contributions
Funding
Institutional Review Board Statement
Informed Consent Statement
Data Availability Statement
Acknowledgments
Conflicts of Interest
References
- Harris, L.A.; Newmark, N.M. The Effect of Fabricated Edge Conditions on Brittle Fracture of Structural Steels; University of Illinois Engineering Experiment Station: Champaign, IL, USA, 1957. [Google Scholar]
- Smith, S.T.; Gilbert, R. Tests on RC Slabs Reinforced with 500 MPa Welded Wire Fabric. Aust. J. Civ. Eng. 2003, 1, 59–66. [Google Scholar] [CrossRef]
- Sokoli, D.; Ghannoum, W.M. High-Strength Reinforcement in Columns under High Shear Stresses. ACI Struct. J. 2016, 113, 605. [Google Scholar] [CrossRef]
- Gilbert, R. The Impact of 500 MPA Reinforcement on the Ductility of Concrete Structures: Revision of AS3600. In Proceedings of the Concrete Institute of Australia Conference, 20th, 2001, Perth, WA, Australia, 11–14 September 2001. [Google Scholar]
- Wang, J.; Wang, M.; Geng, S. The Experimental Research of Reinforced Concrete Column by HRBFS00 Bars. Eng. Mech. 2011, 28, 152–157. [Google Scholar]
- Barrera, A.; Bonet, J.; Romero, M.L.; Fernández, M. Ductility of Slender Reinforced Concrete Columns under Monotonic Flexure and Constant Axial Load. Eng. Struct. 2012, 40, 398–412. [Google Scholar] [CrossRef]
- Zhou, J.; He, F.; Liu, T. Curvature Ductility of Columns and Structural Displacement Ductility in RC Frame Structures Subjected to Ground Motions. Soil Dyn. Earthq. Eng. 2014, 63, 174–183. [Google Scholar] [CrossRef]
- Liu, H.; Wang, Y.; He, M.; Shi, Y.; Waisman, H. Strength and Ductility Performance of Concrete-Filled Steel Tubular Columns after Long-Term Service Loading. Eng. Struct. 2015, 100, 308–325. [Google Scholar] [CrossRef]
- Zhang, Y.; Liu, Y.; Xin, H.; He, J. Numerical Parametric Study on Ultimate Load and Ductility of Concrete Encased Equal-Leg Angle Steel Composite Columns. Eng. Struct. 2019, 200, 109679. [Google Scholar] [CrossRef]
- Tuladhar, R.; Lancini, B.J. Ductility of Concrete Slabs Reinforced with Low-Ductility Welded Wire Fabric and Steel Fibers. Struct. Eng. Mech. 2014, 49, 449–461. [Google Scholar] [CrossRef]
- Shaikh, F.U.A.; Alishahi, R. Behaviour of CFRP Wrapped RC Square Columns under Eccentric Compressive Loading. Structures 2019, 20, 309–323. [Google Scholar] [CrossRef]
- Farhan, N.A.; Sheikh, M.N.; Hadi, M.N.S. Behaviour of Ambient Cured Steel Fibre Reinforced Geopolymer Concrete Columns Under Axial and Flexural Loads. Structures 2018, 15, 184–195. [Google Scholar] [CrossRef]
- Chen, C.-C.; Chen, C.-C.; Shen, J.-H. Effects of Steel-to-Member Depth Ratio and Axial Load on Flexural Ductility of Concrete-Encased Steel Composite Columns. Eng. Struct. 2018, 155, 157–166. [Google Scholar] [CrossRef]
- Galano, L.; Vignoli, A. Strength and Ductility of HSC and SCC Slender Columns Subjected to Short-Term Eccentric Load. ACI Struct. J. 2008, 105, 259. [Google Scholar]
- Sadeghian, P.; Rahai, A.R.; Ehsani, M.R. Experimental Study of Rectangular RC Columns Strengthened with CFRP Composites under Eccentric Loading. J. Compos. Constr. 2010, 14, 443–450. [Google Scholar] [CrossRef]
- Hadi, M.N.; Widiarsa, I.B.R. Axial and Flexural Performance of Square RC Columns Wrapped with CFRP under Eccentric Loading. J. Compos. Constr. 2012, 16, 640–649. [Google Scholar] [CrossRef]
- Li, H.; Deeks, A.; Liu, L.; Su, X. Comparison of Chinese and Australian 500 MPa Reinforcing Steel. Aust. J. Struct. Eng. 2010, 10, 137–144. [Google Scholar] [CrossRef]
- Li, X.L.; Hong, Y.L.; Zhang, Y.; Qian, L. Experimental Study on Behavior of Eccentrically Loaded RC Columns with 500 MPa Steel Bars. J. Zhengzhou Univ. Eng. Sci. 2007, 28, 30–34. (In Chinese) [Google Scholar]
- Li, H.; Su, X.; Deeks, A.J. Evaluation of the Adequacy of Development Length Requirements for 500 MPa Reinforcing Bars. Adv. Struct. Eng. 2011, 14, 367–378. [Google Scholar] [CrossRef]
- Hadi, M.N. Behaviour of High Strength Axially Loaded Concrete Columns Confined with Helices. Constr. Build. Mater. 2005, 19, 135–140. [Google Scholar] [CrossRef]
- Li, H.; Deeks, A.J.; Su, X. Experimental Study on Compressive Bond Anchorage Properties of 500 MPa Steel Bars in Concrete. J. Struct. Eng. 2012, 139, 04013005. [Google Scholar] [CrossRef]
- Wang, T.; Liu, X.; Zhao, H. Experimental Study of the Seismic Performance of L-Shaped Columns with 500 MPa Steel Bars. Sci. World J. 2014, 2014, 105826. [Google Scholar] [CrossRef]
- Li, H.; Su, X.; Zhao, Y. Experiment on Concrete Columns Reinforced with 500 MPa Fine-Grained Rebar under Low Cycle Reversed Loading. Struct. Eng. 2009, 25, 135–140. (In Chinese) [Google Scholar]
- Feng, J.; Wang, S.; Meloni, M.; Zhang, Q.; Yang, J.; Cai, J. Seismic Behavior of RC Beam Column Joints with 600 MPa High Strength Steel Bars. Appl. Sci. 2020, 10, 4684. [Google Scholar] [CrossRef]
- Shi, Q.; Ma, L.; Wang, Q.; Wang, B.; Yang, K. Seismic Performance of Square Concrete Columns Reinforced with Grade 600 MPa Longitudinal and Transverse Reinforcement Steel under High Axial Load. Structures 2021, 32, 1955–1970. [Google Scholar] [CrossRef]
- GB 50010-2010; Code for Design of Concrete Structures. Construction Industry Press: Beijing, China, 2015. (In Chinese)
- Chadwell, C.; Imbsen, R. XTRACT: A Tool for Axial Force-Ultimate Curvature Interactions. In Structures 2004: Building on the Past, Securing the Future; American Society of Civil Engineers: Reston, VA, USA, 2004; pp. 1–9. [Google Scholar]
- Colajanni, P.; Fossetti, M.; Papia, M. Analytical Prediction of Ultimate Moment and Curvature of RC Rectangular Sections in Compression. Bull. Earthq. Eng. 2013, 11, 2055–2078. [Google Scholar] [CrossRef]
- Palanci, M. Flexural Response Prediction of Reinforced Concrete Members Based on Statistical Observations. Arab. J. Sci. Eng. 2017, 42, 3689–3709. [Google Scholar] [CrossRef]


















| Specimen Number | Concrete Strength Grade | Longitudinal Reinforcement Ratio/% | Eccentricity/mm |
|---|---|---|---|
| HRCC-1 | C50 | 0.82 | 250 |
| HRCC-2 | C50 | 1.23 | 250 |
| HRCC-3 | C70 | 0.82 | 250 |
| HRCC-4 | C70 | 1.23 | 300 |
| HRCC-5 | C50 | 0.82 | 300 |
| HRCC-6 | C50 | 1.23 | 300 |
| Reinforcement Type | Diameter/mm | Yield Strength/MPa | Ultimate Strength/MPa |
|---|---|---|---|
| HRB500 | 25 | 540 | 675 |
| HRB400 | 8 | 420 | 510 |
| Concrete Strength Grade | Rs/MPa | fc′/MPa |
|---|---|---|
| C50 | 53.81 | 45.74 |
| C70 | 72.73 | 61.82 |
Disclaimer/Publisher’s Note: The statements, opinions and data contained in all publications are solely those of the individual author(s) and contributor(s) and not of MDPI and/or the editor(s). MDPI and/or the editor(s) disclaim responsibility for any injury to people or property resulting from any ideas, methods, instructions or products referred to in the content. |
© 2023 by the authors. Licensee MDPI, Basel, Switzerland. This article is an open access article distributed under the terms and conditions of the Creative Commons Attribution (CC BY) license (https://creativecommons.org/licenses/by/4.0/).
Share and Cite
Zhang, F.; Liu, X.; Ge, F.-W.; Cui, C. Investigation on the Ductility Capacity of Concrete Columns with High Strength Steel Reinforcement under Eccentric Loading. Materials 2023, 16, 4389. https://doi.org/10.3390/ma16124389
Zhang F, Liu X, Ge F-W, Cui C. Investigation on the Ductility Capacity of Concrete Columns with High Strength Steel Reinforcement under Eccentric Loading. Materials. 2023; 16(12):4389. https://doi.org/10.3390/ma16124389
Chicago/Turabian StyleZhang, Feiyan, Xiang Liu, Fang-Wen Ge, and Chenxing Cui. 2023. "Investigation on the Ductility Capacity of Concrete Columns with High Strength Steel Reinforcement under Eccentric Loading" Materials 16, no. 12: 4389. https://doi.org/10.3390/ma16124389
APA StyleZhang, F., Liu, X., Ge, F.-W., & Cui, C. (2023). Investigation on the Ductility Capacity of Concrete Columns with High Strength Steel Reinforcement under Eccentric Loading. Materials, 16(12), 4389. https://doi.org/10.3390/ma16124389

