Numerical Study on Mechanical Responses during Quench Protection in High-Temperature Superconducting Coils
Abstract
1. Introduction
2. Model Description
2.1. Magneto–Thermal–Mechanical
2.2. Electrical Circuit Model
2.3. Selection of the Dump Resistor
3. Results and Optimization
3.1. Effects of Trigger System
3.2. Effects of Background Field
3.3. Optimization
4. Conclusions
- (1)
- The decrease in the time taken to trigger the system dump can significantly decrease the temperature but has no influence on the dissipation velocity. After the quench protection process, the maximum tensile radial stresses are less than the critical transverse tensile stress.
- (2)
- The radial and hoop stresses and radial strain reach their maximum values during the quench process, and the axial background field has a great influence on the radial stress.
- (3)
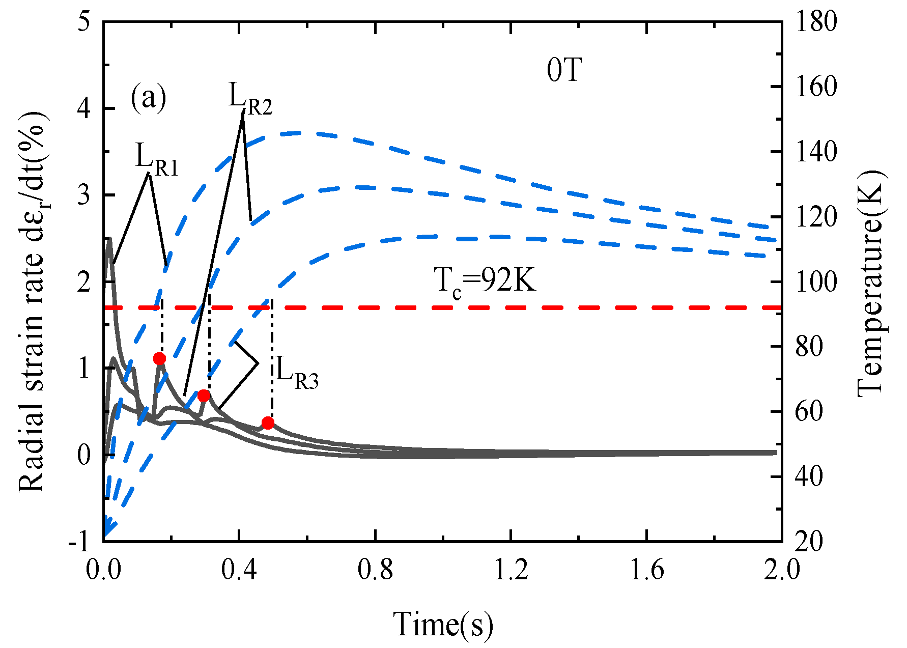
- An apparent slope change of the radial strain rate is observed when the quench occurs regardless of the background field, which suggests the theoretical feasibility of a strain-based quench detection method for REBCO pancake coils.
- (4)
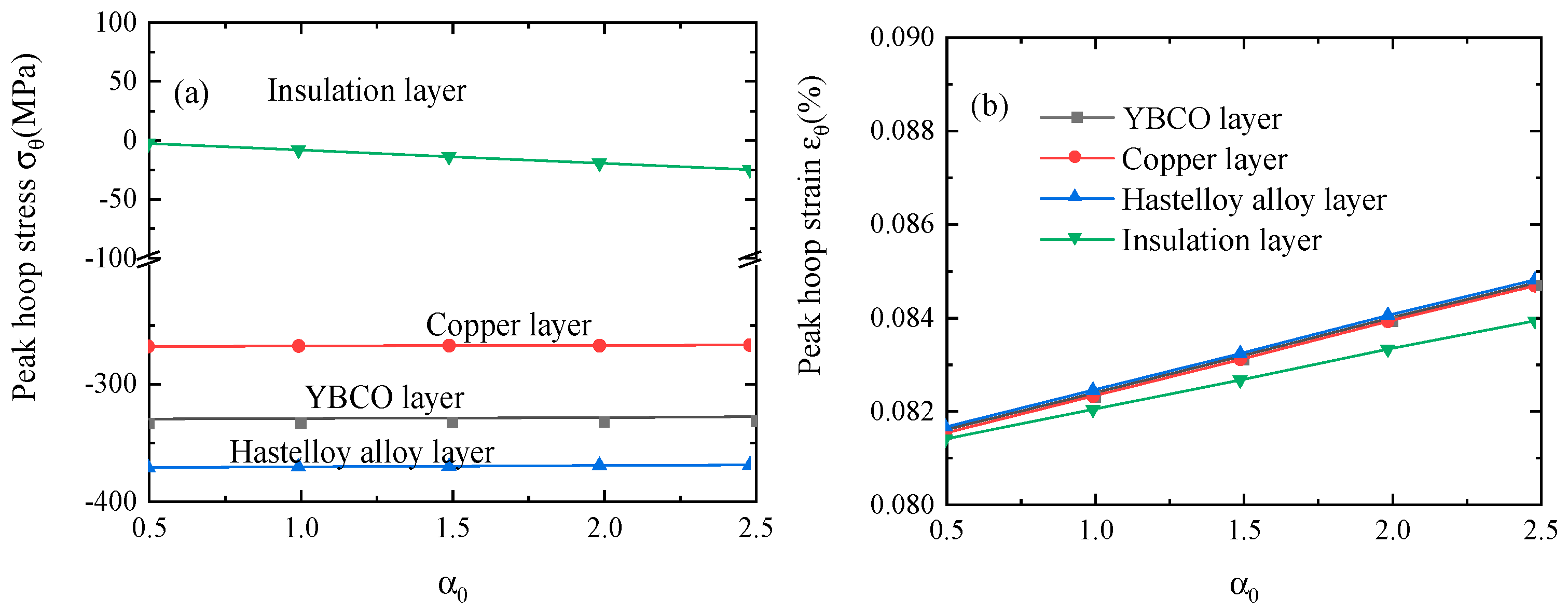
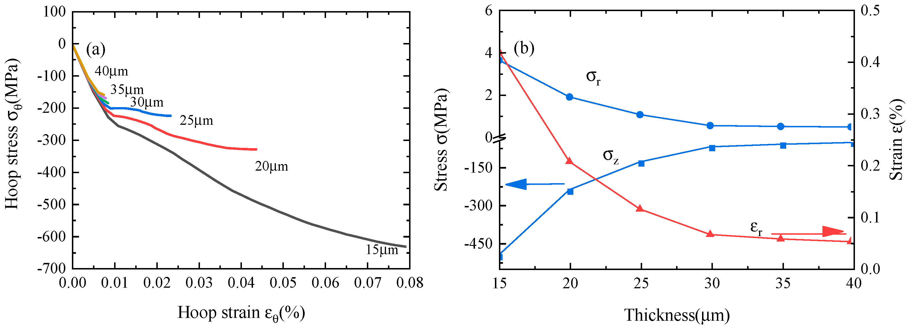
- The peak hoop stress and strain of each layer decrease greatly as the thermal conductivity of the insulation layer increases, and decreasing the thermal expansion coefficient of the insulation layer can suppress the maximum stress and strain, though this effect is limited. Increasing the thickness of the copper layer can suppress the maximum stresses and strain to a degree. Increasing the inner coil radius can also reduce the radial stress.
Author Contributions
Funding
Institutional Review Board Statement
Informed Consent Statement
Data Availability Statement
Conflicts of Interest
References
- Bednorz, J.G.; Mueller, K.A. Possible high Tc superconductivity in the Ba-La-Cu-O system. Z. Phys. B Condens. Matter 1986, 64, 189–193. [Google Scholar] [CrossRef]
- Bruzzone, P.; Fietz, W.H.; Minervini, J.V.; Novikov, M.; Yanagi, N.; Zhai, Y.; Zheng, J. High Temperature Superconductors for fusion magnets. Nucl. Fusion 2018, 58, 103001.1–103001.13. [Google Scholar] [CrossRef]
- Yao, C.; Ma, Y. Superconducting materials: Challenges and opportunities for large-scale applications. iScience 2021, 24, 102541. [Google Scholar] [CrossRef]
- Huguet, M. The ITER Magnet System. Fusion. Eng. Des. 1997, 36, 23–32. [Google Scholar] [CrossRef]
- Iwasa, Y.; Bascunan, J.; Hahn, S.; Tomita, M.; Yao, W. High-Temperature Superconducting Magnets for NMR and MRI: R&D Activities at the MIT Francis Bitter Magnet Laboratory. IEEE Trans. Appl. Supercond. 2010, 20, 718–721. [Google Scholar]
- Zhang, M.; Kim, J.-H.; Pamidi, S.; Chudy, M.; Yuan, W.; Coombs, T.A. Study of second generation, high-temperature superconducting coils: Determination of critical current. J. Appl. Phys. 2013, 118, 083902. [Google Scholar] [CrossRef]
- Hahn, S.; Kim, K.; Kim, K.; Hu, X.; Painter, T.; Dixon, I.; Kim, S.; Bhattarai, K.R.; Noguchi, S.; Jaroszynski, J.; et al. 45.5-tesla direct-current magnetic field generated with a high-temperature superconducting magnet. Nature 2019, 570, 496–499. [Google Scholar] [CrossRef]
- Tsukamoto, O.; Fujimoto, Y.; Takao, T. Study on stabilization and quench protection of coils wound of HTS coated conductors considering quench origins—Proposal of criteria for stabilization and quench protection. Cryogenics 2014, 63, 148–154. [Google Scholar] [CrossRef]
- Delille, B.; Evrard, S.; Inigo-Golfin, J.; Lindell, G.; Trant, R.; Völlinger, C. Safety of Personnel in LHC Underground Areas Following the Accident of 19th September 2008. Task Force Report, Europern. June 2009, p. 33. Available online: https://cds.cern.ch/record/1184225 (accessed on 7 June 2023).
- Chan, W.K.; Schwartz, J. Three-Dimensional Micrometer-Scale Modeling of Quenching in High-Aspect-Ratio YBa2Cu3O7−δ Coated Conductor Tapes-Part II: Influence of Geometric and Material Properties and Implications for Conductor Engineering and Magnet Design. IEEE Trans. Appl. Supercond. 2011, 21, 3628–3634. [Google Scholar] [CrossRef]
- Chan, W.K.; Schwartz, J. A Hierarchical Three-Dimensional Multiscale Electro–Magneto–Thermal Model of Quenching in Coat-ed-Conductor-Based Coils. IEEE Trans. Appl. Supercond. 2012, 22, 4706010. [Google Scholar] [CrossRef]
- Breschi, M.; Cavallucci, L.; Ribani, P.L.; Gavrilin, A.V.; Weijers, H.W. Analysis of quench in the NHMFL REBCO prototype coils for the 32 T Magnet Project. Supercond. Sci. Technol. 2016, 29, 055002. [Google Scholar] [CrossRef]
- Badel, A.; Rozier, B.; Ramdane, B.; Meunier, G.; Tixador, P. Modeling of ‘quench’ or the occurrence and propagation of dissipative zones in REBCO high temperature supercon-ducting coils. Supercond. Sci. Technol. 2019, 32, 094001. [Google Scholar] [CrossRef]
- Zeng, L.; Chen, X.-Y.; Feng, Y.-J.; Chen, Y.; Xie, Q. Temperature Field Simulations of a ReBCO Pancake Coil Under Pulsed Overcurrent Conditions. IEEE Trans. Appl. Supercond. 2019, 29, 1–5. [Google Scholar] [CrossRef]
- Johansen, T.H. Flux-pinning-induced stress and magnetostriction in bulk superconductors. Supercond. Sci. Technol. 2000, 13, R121–R137. [Google Scholar]
- Barth, C.; Mondonico, G.; Senatore, C. Electro-mechanical properties of REBCO coated conductors from various industrial manufacturers at 77 K, self-field and 4.2 K, 19 T. Supercond. Sci. Technol. 2015, 28, 045011. [Google Scholar] [CrossRef]
- Osamura, K.; Machiya, S.; Hampshire, D.P. Mechanism for the uniaxial strain dependence of the critical current in practical REBCO tapes. Supercond. Sci. Technol. 2016, 29, 065019. [Google Scholar] [CrossRef]
- Gao, P.; Chan, W.K.; Wang, X.; Zhou, Y.; Schwartz, J. Three-dimensional stress, strain and electromechanical analyses of (RE)Ba2Cu3Ox conductors using mixed-dimensional modeling: Fabrication, cooling and tensile behavior. Supercond. Sci. Technol. 2020, 33, 044015. [Google Scholar] [CrossRef]
- Gao, P.; Mao, J.; Chen, J.; Wang, X.; Zhou, Y. Electromechanical degradation of REBCO coated conductor tapes under combined tension and torsion loading. Int. J. Mech. Sci. 2022, 223, 107314. [Google Scholar]
- Pan, Y.; Gao, P. Analysis of mechanical behavior and electromechanical properties of REBCO-coated conductor tapes under combined bending-tension loads using numerical methods. Supercond. Sci. Technol. 2023, 36, 045006. [Google Scholar]
- Shin, H.-S.; Gorospe, A.; Bautista, Z.; Dedicatoria, M.J. Evaluation of the electromechanical properties in GdBCO coated conductor tapes under low cyclic loading and bending. Supercond. Sci. Technol. 2015, 29, 014001. [Google Scholar] [CrossRef]
- Ilin, K.; Yagotintsev, K.A.; Zhou, C.; Gao, P.; Kosse, J.; Otten, S.J.; Wessel, W.A.J.; Haugan, T.J.; van der Laan, D.C.; Nijhuis, A. Experiments and FE modeling of stress–strain state in ReBCO tape under tensile, torsional and transverse load. Supercond. Sci. Technol. 2015, 28, 055006. [Google Scholar]
- Li, X.; Yang, Z.; Xu, Y.; Ren, L.; Zhang, H.; Ding, X.; Tang, Y. Effects of bending and torsion behavior on Ic degradation and microstructure of ReBCO coated conductors. Cryogenics 2022, 126, 103523. [Google Scholar]
- Li, X.; Xu, Y.; Ren, L.; Tang, Y. Improved mechanical models and Ic estimation for the whole life cycle of high temperature superconducting coated conductors. Compos. Struct. 2022, 298, 116000. [Google Scholar]
- Matsuda, T.; Okamura, T.; Hamada, M.; Matsumoto, S.; Ueno, T.; Piao, R.; Yanagisawa, Y.; Maeda, H. Degradation of the performance of an epoxy-impregnated REBCO solenoid due to electromagnetic forces. Cryogenics 2018, 90, 47–51. [Google Scholar] [CrossRef]
- Gao, P.; Guan, M.; Wang, X.; Zhou, Y. Electromagnetic-thermal-structure multi-layer nonlinear elastoplastic modelling study on epoxy impregnated REBCO pancake coils in high-field magnets. Superconductivity 2022, 1, 100002. [Google Scholar]
- Gao, P.; Pan, Y. Delamination model of an epoxy-impregnated REBCO superconducting pancake winding. Supercond. Sci. Technol. 2022, 36, 065009. [Google Scholar]
- Gao, P.; Zhang, H.; Wang, X. Mechanical behavior of impregnated REBCO pancake winding based on electromagnetic-thermoelastic analysis. IEEE Trans. Appl. Supercond. 2021, 31, 1200105. [Google Scholar]
- Niu, M.; Xia, J.; Yong, H. Numerical analysis of the electromechanical behavior of high-field REBCO coils in all-superconducting magnets. Supercond. Sci. Technol. 2021, 34, 115005. [Google Scholar]
- Liu, D.; Li, D.; Zhang, W.; Yong, H.; Zhou, Y. Electromagnetic-thermal-mechanical characteristics with active feedback control in a high-temperature superconducting no-insulation magnet. Sci. China Phys. Mech. 2022, 65, 294612. [Google Scholar]
- Shin, H.S.; Dedicatoria, M.J. Intrinsic strain effect on critical current in Cu-stabilized GdBCO coated conductor tapes with different substrates. Supercond. Sci. Technol. 2013, 26, 055005. [Google Scholar] [CrossRef]
- Majkic, G.; Galstyan, E.; Zhang, Y.; Selvamanickam, V. Investigation of delamination mechanisms in IBAD-MOCVD REBCO coated conductors. IEEE Trans. Appl. Supercond. 2013, 23, 6600205. [Google Scholar]
- Shin, H.S.; Gorospe, A. Characterization of transverse tensile stress response of critical current and delamination behaviour in GdBCO coated conductor tapes by anvil test. Supercond. Sci. Technol. 2014, 27, 025001. [Google Scholar]
- Gao, P.; Geng, X.; Zhang, H.; Man, G.; Wang, X. Measurement of transverse tensile interfacial strength of REBCO-coated conductors. Acta Mech. Solida Sin. 2022, 35, 40–50. [Google Scholar]
- Gao, P.; Geng, X.; Man, G.; Wang, X. Measurement of shear delamination strength of REBCO coated conductors. IEEE Trans. Appl. Supercond. 2022, 32, 6600305. [Google Scholar]
- Maeda, H.; Yanagisawa, Y. Recent Developments in High-Temperature Superconducting Magnet Technology (Review). IEEE Trans. Appl. Supercond. 2014, 24, 1–12. [Google Scholar] [CrossRef]
- Tong, Y.; Guan, M.; Wang, X. Theoretical estimation of quench occurrence and propagation based on generalized thermoelasticity for LTS/HTS tapes triggered by a spot heater. Supercond. Sci. Technol. 2017, 30, 045002. [Google Scholar] [CrossRef]
- Niu, M.; Xia, J.; Yong, H.; Zhou, Y. Quench characteristics and mechanical responses during quench propagation in rare earth barium copper oxide pancake coils. Appl. Math. Mech. 2021, 42, 235–250. [Google Scholar]
- Niu, M.; Yong, H.; Zhou, Y. 3D modelling of coupled electromagnetic-mechanical responses in REBCO coils involving tape inhomogeneity. Supercond. Sci. Technol. 2022, 35, 054009. [Google Scholar]
- Green, M.A. Quench Protection Solutions for Magnets Fabricated With Insulated HTS Tape Conductors. IEEE Trans. Appl. Supercond. 2018, 28, 1–5. [Google Scholar]
- Green, M.A. Various Quench Protection Methods for HTS Magnets. IOP Conf. Ser. Mater. Sci. Eng. 2020, 755, 012134. [Google Scholar] [CrossRef]
- Kojima, A.; Fuchida, Y.; Toriyama, H.; Nomoto, A.; Takao, T.; Nakamura, K.; Tsukamoto, O.; Furuse, M. Study on optimal thickness of copper layer of REBCO-coated wire for quench protection. IOP Conf. Ser. Mater. Sci. Eng. 2019, 502, 012180. [Google Scholar]
- Wang, Y.; Chan, W.L.; Schwartz, J. Self-protection mechanisms in no-insulation (RE)Ba2Cu3Ox high temperature superconductor pancake coils. Supercond. Sci. Technol. 2016, 29, 045007. [Google Scholar]
- Hahn, S.; Park, D.K.; Bascunan, J.; Iwasa, Y. HTS Pancake Coils Without Turn-to-Turn Insulation. IEEE Trans. Appl. Supercond. 2011, 21, 1592–1595. [Google Scholar]
- Blandine, R.; Arnaud, B.; Brahim, R.; Gérard, M. Calculation of the local current density in high-temperature superconducting insulated rare earth–barium–copper oxide coils using a volume integral formulation and its contribution to coil protection. Supercond. Sci. Technol. 2019, 32, 044008. [Google Scholar]
- Haro, E.; Stenvall, A.; Nugteren, J.V.; Kirby, G. Hot spot temperature in an HTS coil: Simulations with MIITs and finite element method. IEEE Trans. Appl. Supercond. 2015, 25, 1–7. [Google Scholar]
- Cavallucci, L.; Breschi, M.; Ribani, P.L.; Gavrilin, A.; Noyes, P.D. A numerical study of quench in the NHMFL 32 T magnet. IEEE Trans. Appl. Supercond. 2019, 29, 1–5. [Google Scholar]
- Trillaud, F.; Ang, I.C.; Kim, W.S.; Lee, H.G.; Iwasa, Y.; Voccio, J.P. Protection and quench detection of YBCO coils results with small test coil assemblies. IEEE Trans. Appl. Supercond. 2007, 17, 2450–2453. [Google Scholar] [CrossRef]
- Yang, P.; Li, K.; Wang, Y.; Wang, L.; Wu, Q.; Huang, A.; Hong, Z.; Jiang, G.; Jin, Z. Quench protection system of a 1 MW high temperature superconductor DC induction heater. IEEE Trans. Appl. Supercond. 2019, 29, 1–6. [Google Scholar]
- Liu, D.; Tang, Y.; Li, D.; Yong, H. Mechanical analysis of a no-insulation pancake coil with the overband during a quench. Acta Mech. Solida Sin. 2022, 35, 357–366. [Google Scholar]
- Liu, D.; Li, D.; Zhang, W.; Yong, H.; Zhou, Y. Electromagnetic-thermal-mechanical behaviors of a no-insulation double-pancake coil induced by a quench in the self field and the high field. Supercond. Sci. Technol. 2021, 34, 025014. [Google Scholar]
- Huang, C.; Song, Z.; Zhang, T.; Xu, B. Electro-thermal-mechanical modeling of quench and stress evolution triggered by various factors in high-temperature superconducting coils. J. Appl. Phys. 2021, 129, 213902. [Google Scholar]
- Available online: www.comsol.com/patent (accessed on 20 January 2023).
- Lu, J.; Choi, E.S.; Zhou, H.D. Physical properties of Hastelloy®; C-276TM at cryogenic temperatures. J. Appl. Phys. 2008, 103, 064908. [Google Scholar] [CrossRef]
- Ikebe, M.; Fujishiro, H.; Naito, T.; Noto, K.; Kohayashi, S.; Yoshizawa, S. Thermal conductivity of YBCO(123) and YBCO(211) mixed crystals prepared by MMTG. Cryogenics 1994, 34, 57–61. [Google Scholar] [CrossRef]
- Phillips, N.E.; Fisher, R.A.; Gordon, J.E. The specific heat of high-Tc superconductors. In Progress in Low Temperature Physics, 1st ed.; Brewer, D.F., Ed.; Elsevier Science: Amsterdam, The Netherlands, 1992; Volume 13, pp. 267–357. [Google Scholar]
- Cryogenic Technology Resources. 2020. Available online: http://cryogenics.nist.gov (accessed on 20 January 2023).
- Ventura, G.; Perfetti, M. Thermal Properties of Solids at Room and Cryogenic Temperatures, 1st ed.; Springer: Berlin/Heidelberg, Germany, 2014; pp. 69–78. [Google Scholar]
- Zhang, H.; Suo, H.; Wang, L.; Ma, L.; Liu, J.; Zhang, Z.; Wang, Q. Database of the effect of stabilizer on the resistivity and thermal conductivity of 20 different commercial REBCO tapes. Supercond. Sci. Technol. 2022, 35, 045016. [Google Scholar]
- Duron, J.; Grilli, F.; Dutoit, B.; Stavrev, S. Modelling the E-J relation of high-Tc superconductors in an arbitrary current range. Phys. C Supercond. 2004, 401, 231–235. [Google Scholar] [CrossRef]
- Zhang, M.; Matsuda, K.; Coombs, T.A. New application of temperature-dependent modelling of high temperature superconductors: Quench propagation and pulse magnetization. J. Appl. Phys. 2012, 112, 043912.1–043912.8. [Google Scholar]
- Marinucci, C.; Bottura, L.; Calvi, M.; Wesche, R. Quench analysis of a high-current forced-flow HTS conductor model for fusion magnets. IEEE Trans. Appl. Supercond. 2011, 21, 2445–2448. [Google Scholar]
- Shiroyanagi, Y.; Sampson, W.B.; Ghosh, A.K. Quench propagation studies using a small bifilar YBCO coil. AIP Conf. Proc. 2012, 1435, 265–272. [Google Scholar]
- Wang, X.; Guan, M.; Ma, L. Strain-Based Quench Detection for a Solenoid Superconducting Magnet. Supercond. Sci. Technol. 2012, 25, 095009. [Google Scholar] [CrossRef]
- Guan, M.; Wang, X.; Zhou, Y.; Ma, L. A criterion of the strain-based quench decision for a low-temperature superconducting solenoid. IEEE Trans. Appl. Supercond. 2014, 24, 4700804. [Google Scholar]
- Laan, D.C.V.D.; Ekin, J.W.; Clickner, C.C.; Stauffer, T.C. Delamination strength of YBCO coated conductors under transverse tensile stress. Supercond. Sci. Technol. 2007, 20, 765. [Google Scholar] [CrossRef]













Disclaimer/Publisher’s Note: The statements, opinions and data contained in all publications are solely those of the individual author(s) and contributor(s) and not of MDPI and/or the editor(s). MDPI and/or the editor(s) disclaim responsibility for any injury to people or property resulting from any ideas, methods, instructions or products referred to in the content. |
© 2023 by the authors. Licensee MDPI, Basel, Switzerland. This article is an open access article distributed under the terms and conditions of the Creative Commons Attribution (CC BY) license (https://creativecommons.org/licenses/by/4.0/).
Share and Cite
Jiao, R.; Guan, M. Numerical Study on Mechanical Responses during Quench Protection in High-Temperature Superconducting Coils. Materials 2023, 16, 4356. https://doi.org/10.3390/ma16124356
Jiao R, Guan M. Numerical Study on Mechanical Responses during Quench Protection in High-Temperature Superconducting Coils. Materials. 2023; 16(12):4356. https://doi.org/10.3390/ma16124356
Chicago/Turabian StyleJiao, Ruoshan, and Mingzhi Guan. 2023. "Numerical Study on Mechanical Responses during Quench Protection in High-Temperature Superconducting Coils" Materials 16, no. 12: 4356. https://doi.org/10.3390/ma16124356
APA StyleJiao, R., & Guan, M. (2023). Numerical Study on Mechanical Responses during Quench Protection in High-Temperature Superconducting Coils. Materials, 16(12), 4356. https://doi.org/10.3390/ma16124356
