Effect of Prior Boriding on Microstructure and Mechanical Properties of Nanobainitic X37CrMoV5-1 Hot-Work Tool Steel
Abstract
1. Introduction
2. Materials and Methods
3. Results
3.1. Microstructure after Boriding and after Hybrid Treatments
3.2. Dilatometry
3.3. Mechanical Properties
4. Discussion
4.1. Influence of Borided Layer on Mechanical Properties
4.2. Redistribution of Alloying Elements
4.3. Influence of Thermal Cycle
5. Conclusions
- Applying pack boriding prior to the nanobainitising allowed obtaining a new material based on the X37CrMoV5-1 hot-work tool steel. The main effect caused by the hybrid treatment was the formation of a hard saw-tooth-like layer of borides with a thickness of ca. 43 µm. The layer was composed of FeB (closer to the surface) and Fe2B (located in deeper areas of the layer) borides. Due to the borided layer’s formation, the microhardness of the steel surface increased from ca. 600 HV0.05 (in the nanobainitic core) up to 1800 HV0.05.
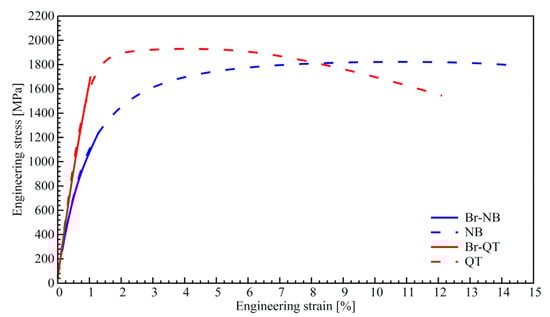
- Besides a significant increase in hardness, the prior boriding process decreased other mechanical properties of nanobainitised steel (Br-NB) compared to the unborided state (NB). For the nanobainitised state without boriding, the ultimate tensile strength was 1858 MPa, the yield strength was 878 MPa, the uniform elongation was 9.84%, the total elongation was 14.41%, and the impact toughness was 41.8 J/cm2. In the case of the previously borided and nanobainitised state, the mechanical properties were, respectively, rupture strength of 1233 MPa, yield strength of 842 MPa, total elongation of 0.74% (there was no uniform elongation), and impact toughness of 3.5 J/cm2. The reason for the decrease in the mechanical properties’ values is the brittleness of the borided layer. Additionally, borided steel after quenching and tempering (Br-QT) exhibited a decrease in these mechanical properties. The Br-NB state retained higher plasticity and impact toughness than the Br-QT state, indicating the advantage of the new hybrid treatment over the conventional treatment. This property indicates that the nanobainitic core is less susceptible to the propagation of cracks formed in the borided layer.
- The formation and growth of the borided layer during the pack boriding led to the redistribution of alloying elements in X37CrMoV5-1 steel. Significantly, the silicon and carbon atoms were pushed out of the boride zone towards the substrate due to their strongly limited solubility in borides. In the case of silicon atoms, this led to the formation of the soft silicon-rich ferrite zone. In the case of carbon atoms, this resulted in the precipitation of borocarbides in the transition zone. An intense refinement in the bainitic structure was observed in the transition zone formed between the borided layer and the nanobainitic core.
- Dilatometric studies have shown that the thermal cycle of prior boriding led to a change in the kinetics of phase transformations during the nanobainitising process. These changes included the acceleration of the kinetics of bainitic transformation during isothermal hold at temp. 320 °C. This effect should be taken into account when designing hybrid heat treatments. However, as it was established experimentally, observed changes did not prevent the formation of nanobainite in the borided steel.
Author Contributions
Funding
Institutional Review Board Statement
Informed Consent Statement
Data Availability Statement
Acknowledgments
Conflicts of Interest
References
- Caballero, F.G.; Bhadeshia, H.K.D.H.; Mawella, K.J.A.; Jones, D.G.; Brown, P. Very strong low temperature bainite. Mater. Sci. Technol. 2002, 18, 279–284. [Google Scholar] [CrossRef]
- Marciniak, S.; Skołek, E.; Świątnicki, W. The Effect of Stepped Austempering on Phase Composition and Mechanical Properties of Nanostructured X37CrMoV5-1 Steel. Arch. Metall. Mater. 2015, 60, 517–521. [Google Scholar] [CrossRef]
- Zhao, J.; Guo, K.; He, Y.M.; Wang, Y.F.; Wang, T.S. Extremely high strength achievement in medium-C nanobainite steel. Scr. Mater. 2018, 152, 20–23. [Google Scholar] [CrossRef]
- Kumar, A.; Singh, A. Toughness dependence of nano-bainite on phase fraction and morphology. Mater. Sci. Eng. A. 2018, 729, 439–443. [Google Scholar] [CrossRef]
- Liu, N.; Zhang, X.; Ding, J.; He, J.; Yin, F. Microstructure and mechanical properties of nanobainitic steel subjected to multiple isothermal heat treatments. J. Iron Steel Res. Int. 2018, 25, 1062–1067. [Google Scholar] [CrossRef]
- Das Bakshi, S.; Leiro, A.; Prakash, B.; Bhadeshia, H.K.D.H. Dry rolling/sliding wear of nanostructured bainite. Wear 2014, 316, 70–78. [Google Scholar] [CrossRef]
- Zhi, C.; Gong, Y.F.; Zhao, A.M.; He, J.G.; Ding, R. Wear Resistance Research of Advanced High Strength Steels. Mater. Sci. Forum. 2016, 850, 197–201. [Google Scholar] [CrossRef]
- Bhadeshia, H.K.D.H. Atomic Mechanism of the Bainite Transformation. HTM J. Heat Treat. Mater. 2017, 72, 340–345. [Google Scholar] [CrossRef]
- Hao, Z.; Qing, P.; Xianwen, L.; Xuejun, J. Jiangxi Naipu Mining Machinery Co Ltd. High-Strength and High-Toughness Bainite Wear-Resistant Steel Suitable for Large-Scale Semi495 Autogenous Mill Lining Plate and Preparation Method Thereof. China Patent CN109913751B, 6 November 2020. [Google Scholar]
- Zhang, F.; Wang, T.; Lü, B.; Zhang, M.; Qian, L. Yanshan University. High-Speed Railway Frog Manufactured from Nano-Bainitic Steel with High Aluminum Content and Manufacturing Method Thereof. China Patent CN101748331A, 24 August 2011. [Google Scholar]
- Wang, T.; Sun, X.; Wang, Y.; Shi, X. Yanshan University. Nano Bainite Hot Work Die Steel and Preparation Method Thereof. China Patent CN111893391A, 6 November 2020. [Google Scholar]
- Marcisz, J.; Garbarz, B.; Tomczak, T.; Janik, A.; Zalecki, W.; Burdek, M.; Adamczyk, M.; Starczewski, L.; Gmitrzuk, M.; Nyc, R.; et al. Development of technology for the production of a lightweight observation and protective container (LOOK) made of nanostructured ultra-strength steels. J. Met. Mater. 2021, 73, 13–39. [Google Scholar] [CrossRef]
- Wasiluk, K.; Skołek, E.; Świątnicki, W. Microstructure and Properties of Surface Layer of Carburized 38CrAlMo6-10 Steel Subjected to Nanostructurization by a Heat Treatment Process. Arch. Metall. Mater. 2014, 59, 1685–1690. [Google Scholar] [CrossRef]
- Skołek, E.; Wasiak, K.; Świątnicki, W.A. Structure and properties of the carburized surface layer on 35CrSiMn5-5-4 steel after nanostructurization treatment. Mater. Tehnol. 2015, 49, 933–939. [Google Scholar] [CrossRef]
- Wang, Y.; Yang, Z.; Zhang, F.; Qin, Y.; Wang, X.; Lv, B. Microstructures and properties of a novel carburizing nanobainitic bearing steel. Mater. Sci. Eng. A. 2020, 777, 139086. [Google Scholar] [CrossRef]
- Moissan, H. Préparation et propriétés du borure de fer, C.R. Hebd. Seances Acad. Sci. 1895, 120, 173–177. [Google Scholar]
- Sorkin, L.M. Boriding of die steels. Met. Sci. Heat Treat. 1969, 11, 35–36. [Google Scholar] [CrossRef]
- Fichtl, W. Boronizing and its practical applications. Mater. Des. 1981, 2, 276–286. [Google Scholar] [CrossRef]
- Hunger, H.J.; Trute, G. Boronizing to produce wear-resistant surface layers. Heat Treat. Met. 1994, 21, 31–39. [Google Scholar]
- Labunets, V.F.; Voroshnin, L.G.; Kindrachuk, M.V. Iznosostoykie Boridnye Pokrytiya; Tekhnika: Kyiv, Ukraine, 1989. [Google Scholar]
- Campos-Silva, I.E.; Rodríguez-Castro, G.A. Boriding to improve the mechanical properties and corrosion resistance of steels. In Thermochemical Surface Engineering of Steels. Improving Materials Performance; Mittemeijer, E.J., Somers, M.A.J., Eds.; Elsevier: Amsterdam, The Netherlands, 2015; pp. 651–702. [Google Scholar]
- Lyakhovich, L.S. Khimiko-Termicheskaya Obrabotka Metallov i Splavov; Spravochnik: Moskow, Russia, 1981. [Google Scholar]
- Mariani, F.E.; Bortoluci de Assis, G.; Casteletti, L.C.; Neto, A.L.; Totten, G.E. Austempering and Boro-Austempering Treatments in Gray Cast Iron. Mater. Perform. Charact. 2017, 6, 20150038. [Google Scholar] [CrossRef]
- Liu, M.; Wang, Z.; Pan, C.; Zhang, Q.; Hu, H.; Xu, G. Microstructure and Properties of a Medium-Carbon High-Strength Bainitic Steel Treated by Boro-Austempering Treatment. Steel Res. Int. 2020, 91, 2000128. [Google Scholar] [CrossRef]
- Liu, M.; Wang, W.; Hu, H.; Cai, F.; Liu, S.; Xu, G. The Corrosion and Wear Behaviors of a Medium-Carbon Bainitic Steel Treated by Boro-Austempering Process. Metals 2021, 11, 1959. [Google Scholar] [CrossRef]
- ISO 4957:1999; Tool Steels. International Organization for Standardization: Geneva, Switzerland, 1999.
- Kulka, M. Current Trends in Boriding; Springer International Publishing: Cham, Switzerland, 2019. [Google Scholar]
- Garcia-Mateo, C.; Jimenez, J.A.; Lopez-Ezquerra, B.; Rementeria, R.; Morales-Rivas, L.; Kuntz, M.; Caballero, F.G. Analyzing the scale of the bainitic ferrite plates by XRD, SEM and TEM. Mater. Charact. 2016, 122, 83–89. [Google Scholar] [CrossRef]
- Krukovich, M.G.; Prusakov, B.A.; Sizov, I.G. Plasticity of Boronized Layers; Springer International Publishing: Cham, Switzerland, 2016. [Google Scholar]
- Genel, K. Boriding kinetics of H13 steel. Vacuum 2006, 80, 451–457. [Google Scholar] [CrossRef]
- Taktak, S. Some mechanical properties of borided AISI H13 and 304 steels. Mater. Des. 2007, 28, 1836–1843. [Google Scholar] [CrossRef]
- Joshi, A.A.; Hosmani, S.S. Pack-Boronizing of AISI 4140 Steel: Boronizing Mechanism and the Role of Container Design. Mater. Manuf. Process. 2014, 29, 1062–1072. [Google Scholar] [CrossRef]
- Taazim, N.T.; Jauhari, I.; Miyashita, Y.; Sabri, M.F.M. Development and Kinetics of TiB2 Layers on the Surface of Titanium Alloy by Superplastic Boronizing. Met. Mater. Trans. A 2016, 47, 2217–2222. [Google Scholar] [CrossRef]
- Arslan, M.; Ok, A.C.; Sireli, G.K.; Timur, S. Investigation on structural and tribological properties of borided gear steel after phase homogenization. Surf. Coat. Tech. 2022, 429, 127967. [Google Scholar] [CrossRef]
- Litoria, A.K.; Figueroa, C.A.; Bim, L.T.; Pruncu, C.I.; Joshi, A.A.; Hosmani, S.S. Pack-boriding of low alloy steel: Microstructure evolution and migration behaviour of alloying elements. Philos. Mag. 2020, 100, 353–378. [Google Scholar] [CrossRef]
- Fiedler, H.C.; Hayes, W.J. The formation of a solf layer in borided hot work die steels. Metall. Mater. Trans. B. 1970, 1, 1071–1073. [Google Scholar] [CrossRef]
- Krelling, A.P.; Milan, J.C.G.; da Costa, C.E. Tribological behaviour of borided H13 steel with different boriding agents. Surf. Eng. 2015, 31, 581–587. [Google Scholar] [CrossRef]
- Motallebzadeh, A.; Dilektasli, E.; Baydogan, M.; Atar, E.; Cimenoglu, H. Evaluation of the effect of boride layer structure on the high temperature wear behavior of borided steels. Wear 2015, 328–329, 110–114. [Google Scholar] [CrossRef]
- Morón, R.C.; Hernández-Onofre, I.; Contla-Pacheco, A.D.; Bravo-Bárcenas, D.; Campos-Silva, I. Friction and Reciprocating Wear Behavior of Borided AISI H13 Steel Under Dry and Lubricated Conditions. J. Mater. Eng. Perform. 2020, 29, 4529–4540. [Google Scholar] [CrossRef]
- Balusamy, T.; Sankara Narayanan, T.S.N.; Ravichandran, K.; Song Park, I.; Lee, M.H. Pack boronizing of AISI H11 tool steel: Role of surface mechanical attrition treatment. Vacuum 2013, 97, 36–43. [Google Scholar] [CrossRef]
- Keddam, M.; Ortiz-Domínguez, M.; Elias-Espinosa, M.; Damián-Mejía, O.; Arenas-Flores, A.; Gómez-Vargas, O.A.; Abreu-Quijano, M.; Aldana-González, J.I.; Zuno-Silva, J. Growth Kinetics of the Fe2B Coating on AISI H13 Steel. Trans Indian Inst Met 2015, 68, 433–442. [Google Scholar] [CrossRef]
- Jurči, P.; Hudáková, M. Diffusion Boronizing of H11 Hot Work Tool Steel. JMEPEG 2011, 20, 1180–1187. [Google Scholar] [CrossRef]
- Campos-Silva, I.; Ortiz-Domínguez, M.; López-Perrusquia, N.; Meneses-Amador, A.; Escobar-Galindo, R.; Martínez-Trinidad, J. Characterization of AISI 4140 borided steels. Appl. Surf. Sci. 2010, 256, 2372–2379. [Google Scholar] [CrossRef]
- Loder, D.; Michelic, S.K.; Bernhard, C. Acicular Ferrite Formation and Its Influencing Factors—A Review. J. Mater. Sci. Res. 2016, 6, 24. [Google Scholar] [CrossRef]
- Quidort, D.; Bréchet, Y. The role of carbon on the kinetics of bainite transformation in steels. Scr. Mater. 2002, 47, 151–156. [Google Scholar] [CrossRef]
- Singh, S.; Bhadeshia, H.K.D.H. Estimation of bainite plate-thickness in low-alloy steels. Mater. Sci. Eng. A. 1998, 245, 72–79. [Google Scholar] [CrossRef]
- Kozeschnik, E.; Bhadeshia, H.K.D.H. Influence of silicon on cementite precipitation in steels. Mater. Sci. Technol. 2008, 24, 343–347. [Google Scholar] [CrossRef]











| Element | C | Si | Cr | Mn | Mo | Ni | V | Fe and Impurities |
|---|---|---|---|---|---|---|---|---|
| This work | 0.37 ± 0 | 1.16 ± 0.01 | 4.95 ± 0.05 | 0.43 ± 0 | 1.22 ± 0.01 | 0.26 ± 0 | 0.40 ± 0 | Balance |
| Standard | 0.33–0.41 | 0.80–1.20 | 4.80–5.50 | 0.25–0.50 | 1.10–1.50 | - | 0.30–0.50 | Balance |
| Designation | Boriding | Austenitising | Quenching | Tempering |
|---|---|---|---|---|
| Br | 950 °C 4 h | - | - | - |
| Br-NB | 1025–1035 °C 15 min | isothermal 320 °C 1 h + 260 °C 18 h | - | |
| Br-QT | direct to RT | 540 °C 2 h + 560 °C 2 h | ||
| NB | - | isothermal 320 °C 1 h + 260 °C 18 h | - | |
| QT | - | direct to RT | 540 °C 2 h + 560 °C 2 h |
| Distance from the Surface [µm] | Br | Br-NB | Br-QT |
|---|---|---|---|
| 20 | 1934 ± 54 | 1523 ± 144 | 1283 ± 156 |
| 40 | 1738 ± 171 | 1822 ± 226 | 1770 ± 171 |
| 50 | 663 ± 110 | 1373 ± 423 | 2014 ± 218 |
| 60 | 449 ± 18 | 894 ± 307 | 1417 ± 381 |
| 80 | 526 ± 60 | 502 ± 39 | 410 ± 15 |
| 100 | 591 ± 3 | 628 ± 73 | 611 ± 16 |
| Variant | UTS or RS [MPa] | Yield Strength Rp0.2 [MPa] | Uniform Elongation [%] | Total Elongation [%] | Impact Toughness KU [J/cm2] |
|---|---|---|---|---|---|
| NB | 1858 ± 31 | 878 ± 17 | 9.84 ± 0.36 | 14.41 ± 1.62 | 41.8 ± 2.4 |
| QT | 1938 ± 6 | 1560 ± 13 | 3.15 ± 0.24 | 11.38 ± 0.33 | 26.1 ± 2.4 |
| Br-NB | 1233 ± 41 | 842 ± 13 | - | 0.74 ± 0.03 | 3.5 ± 0.2 |
| Br-QT | 1573 ± 101 | 1435 ± 30 | - | 0.41 ± 0.41 | 2.9 ± 0.5 |
Disclaimer/Publisher’s Note: The statements, opinions and data contained in all publications are solely those of the individual author(s) and contributor(s) and not of MDPI and/or the editor(s). MDPI and/or the editor(s) disclaim responsibility for any injury to people or property resulting from any ideas, methods, instructions or products referred to in the content. |
© 2023 by the authors. Licensee MDPI, Basel, Switzerland. This article is an open access article distributed under the terms and conditions of the Creative Commons Attribution (CC BY) license (https://creativecommons.org/licenses/by/4.0/).
Share and Cite
Łukaszewicz, G.; Tacikowski, M.; Kulka, M.; Chmielarz, K.; Węsierska-Hinca, M.; Świątnicki, W.A. Effect of Prior Boriding on Microstructure and Mechanical Properties of Nanobainitic X37CrMoV5-1 Hot-Work Tool Steel. Materials 2023, 16, 4237. https://doi.org/10.3390/ma16124237
Łukaszewicz G, Tacikowski M, Kulka M, Chmielarz K, Węsierska-Hinca M, Świątnicki WA. Effect of Prior Boriding on Microstructure and Mechanical Properties of Nanobainitic X37CrMoV5-1 Hot-Work Tool Steel. Materials. 2023; 16(12):4237. https://doi.org/10.3390/ma16124237
Chicago/Turabian StyleŁukaszewicz, Grzegorz, Michał Tacikowski, Michał Kulka, Krzysztof Chmielarz, Monika Węsierska-Hinca, and Wiesław A. Świątnicki. 2023. "Effect of Prior Boriding on Microstructure and Mechanical Properties of Nanobainitic X37CrMoV5-1 Hot-Work Tool Steel" Materials 16, no. 12: 4237. https://doi.org/10.3390/ma16124237
APA StyleŁukaszewicz, G., Tacikowski, M., Kulka, M., Chmielarz, K., Węsierska-Hinca, M., & Świątnicki, W. A. (2023). Effect of Prior Boriding on Microstructure and Mechanical Properties of Nanobainitic X37CrMoV5-1 Hot-Work Tool Steel. Materials, 16(12), 4237. https://doi.org/10.3390/ma16124237

