Evaluation of the Effect of Binary Fly Ash-Lime Mixture on the Bearing Capacity of Natural Soils: A Comparison with Two Conventional Stabilizers Lime and Portland Cement
Abstract
1. Introduction
2. Materials and Methods
2.1. Materials and Characterization
2.2. Methods
2.2.1. Experimental Development in Pastes
2.2.2. Experimental Development in Stabilized Soils
- Maximum dry weight and optimum moisture
- Bearing capacity of soils and mixtures
2.2.3. Field Work
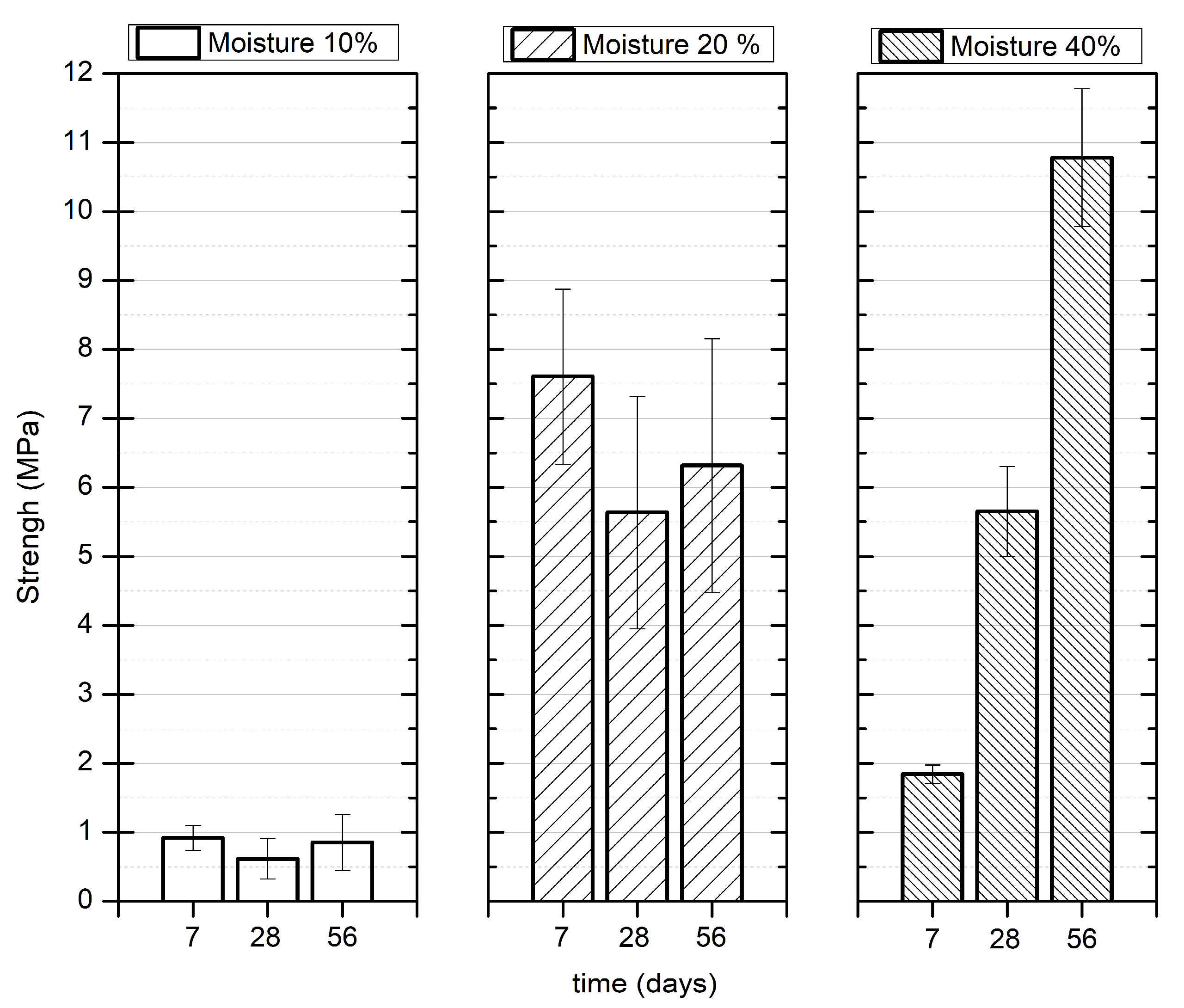
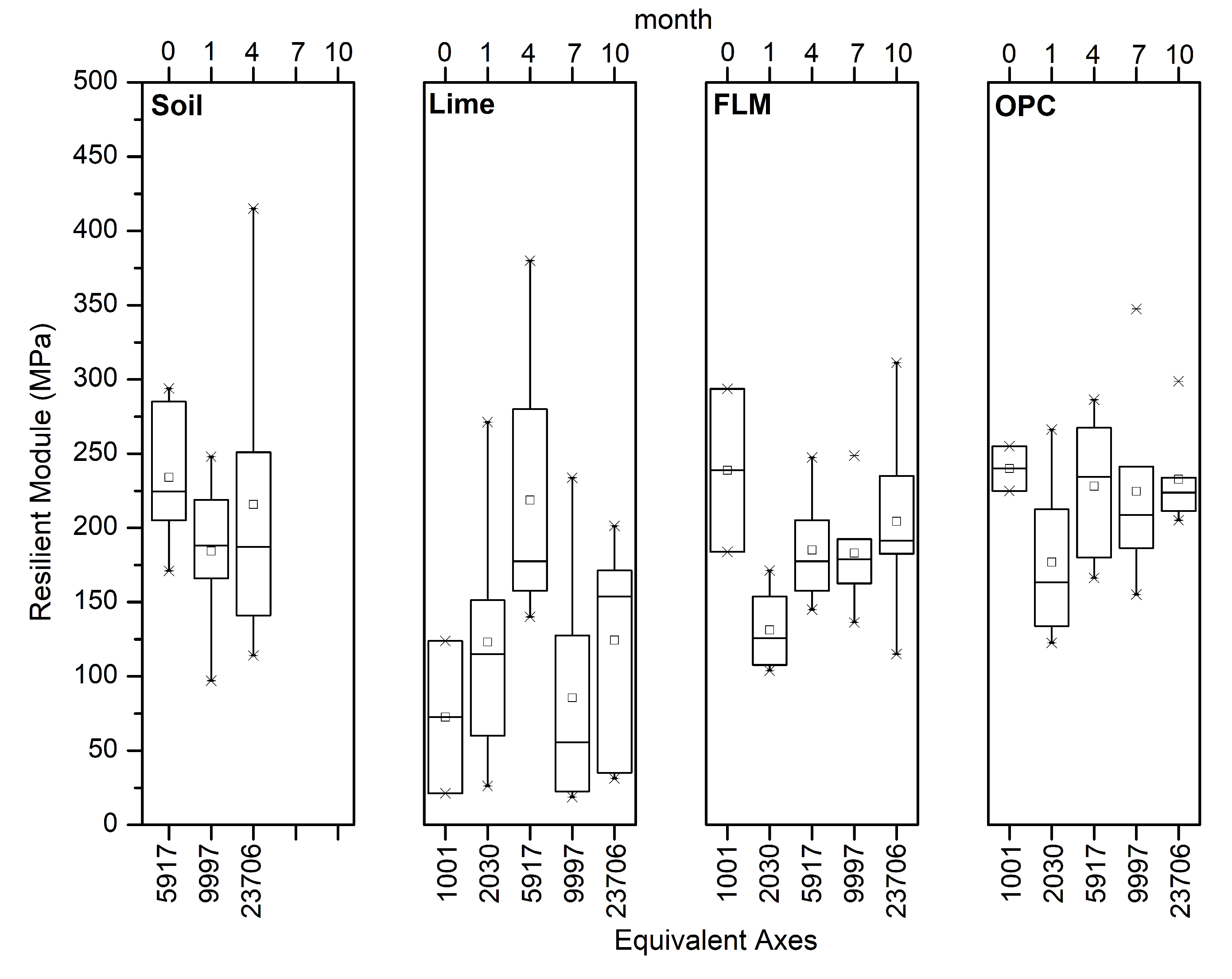
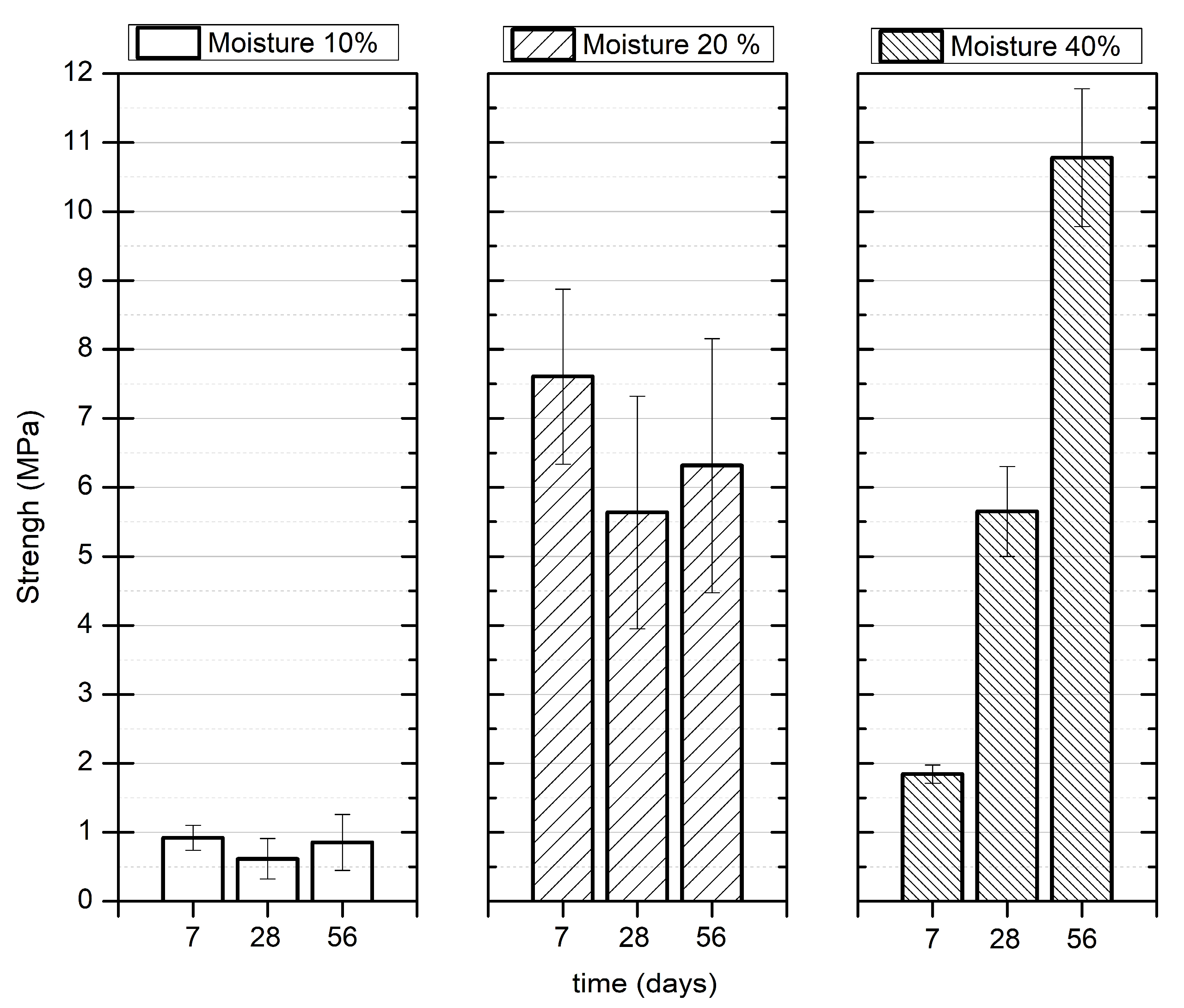
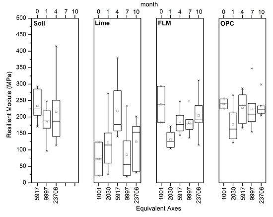
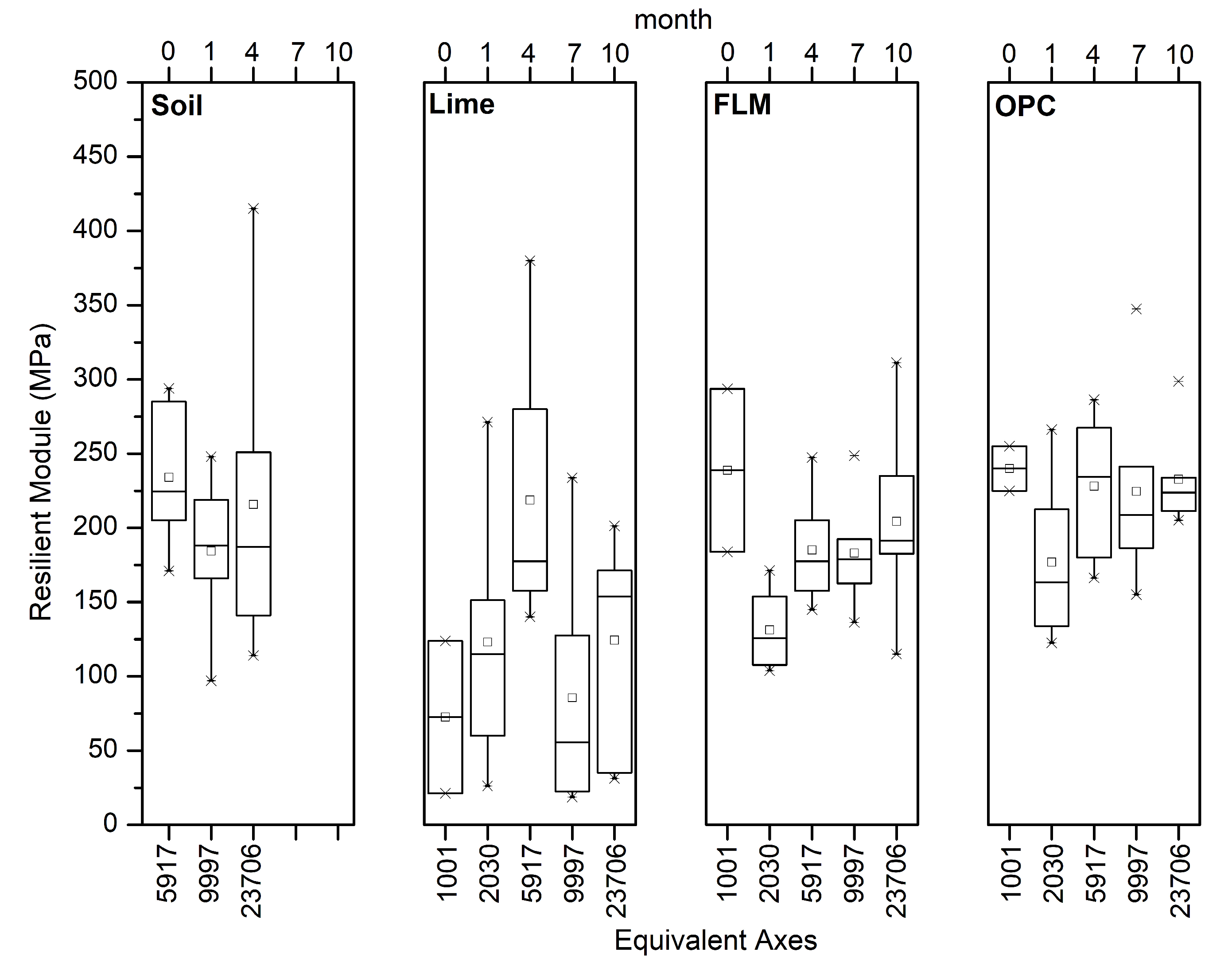
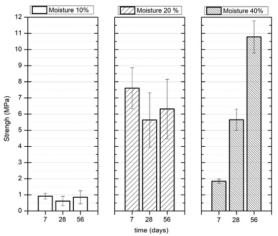
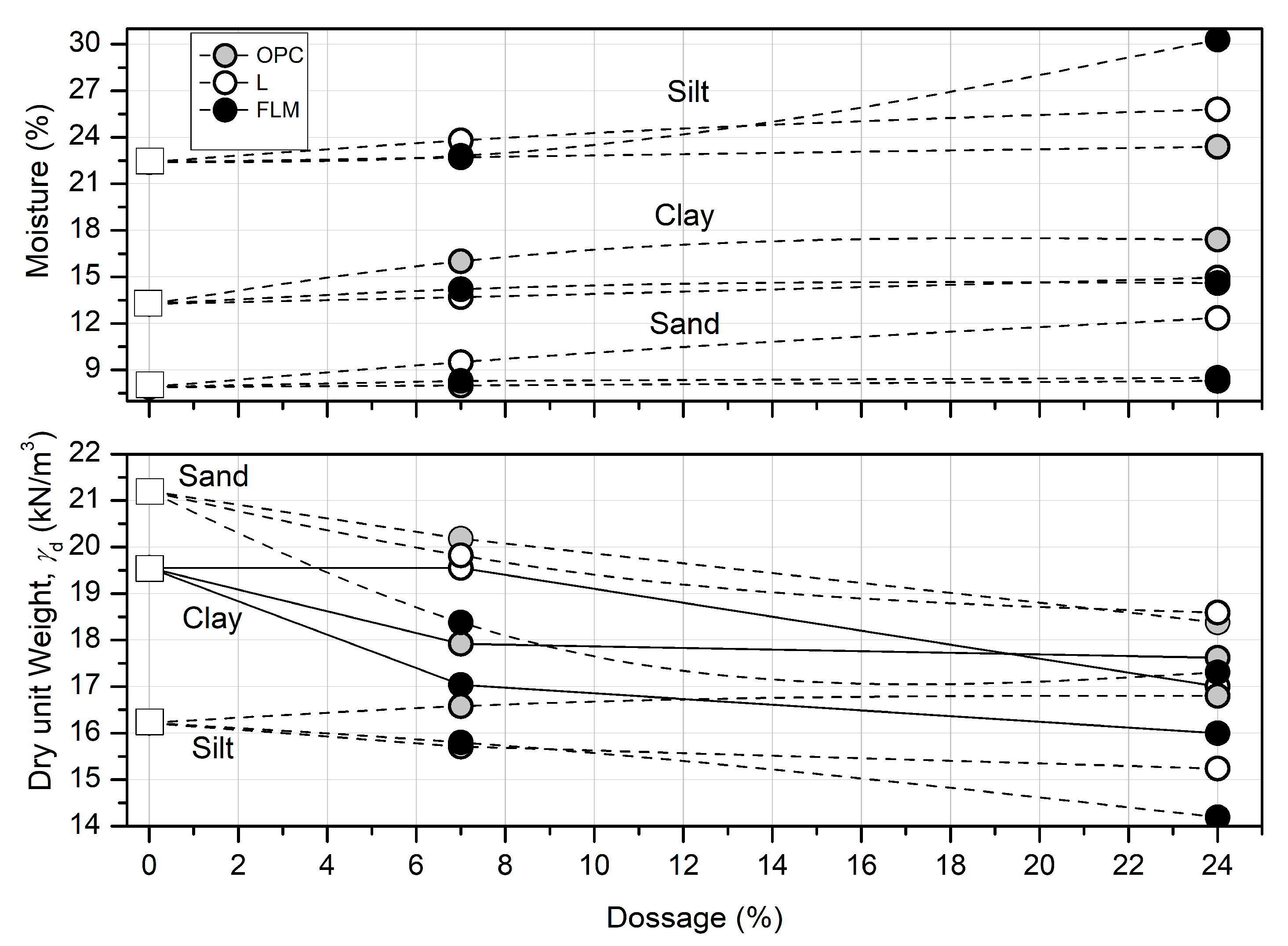
3. Results
3.1. Development of Pastes
3.2. Development of Stabilized Soils
3.3. Field Work
4. Discussion
5. Conclusions
Author Contributions
Funding
Institutional Review Board Statement
Informed Consent Statement
Data Availability Statement
Conflicts of Interest
References
- Petry, T.M.; Little, D.N. Review of Stabilization of Clays and Expansive Soils in Pavements and Lightly Loaded Structures-History, Practice, and Future. J. Mater. Civ. Eng. 2002, 14, 447–460. [Google Scholar] [CrossRef]
- Behnood, A. Soil and clay stabilization with calcium- and non-calcium-based additives: A state-of-the-art review of challenges, approaches and techniques. Transp. Geotech. 2018, 17, 14–32. [Google Scholar] [CrossRef]
- Kolias, S.; Kasselouri-Rigopoulou, V.; Karahalios, A. Stabilisation of clayey soils with high calcium fly ash and cement. Cem. Concr. Compos. 2005, 27, 301–313. [Google Scholar] [CrossRef]
- Ijaz, N.; Ye, W.; Rehman, Z.U.; Ijaz, Z. Novel application of low carbon limestone calcined clay cement (LC3) in expansive soil stabilization: An eco-efficient approach. J. Clean. Prod. 2022, 371, 133492. [Google Scholar] [CrossRef]
- Rashad, A.M. A comprehensive overview about the influence of different admixtures and additives on the properties of alkali-activated fly ash. Mater. Des. 2014, 53, 1005–1025. [Google Scholar] [CrossRef]
- Horpibulsuk, S.; Phetchuay, C.; Chinkulkijniwat, A.; Cholaphatsorn, A. Strength development in silty clay stabilized with calcium carbide residue and fly ash. Soils Found. 2013, 53, 477–486. [Google Scholar] [CrossRef]
- Hossain, K.; Mol, L. Some engineering properties of stabilized clayey soils incorporating natural pozzolans and industrial wastes. Constr. Build. Mater. 2011, 25, 3495–3501. [Google Scholar] [CrossRef]
- Hoyos, L.R.; Laikram, A.; Puppala, A. Behavior of Chemically Stabilized Sulfate-Rich Expansive Clay under Quick-Aging Environment. In Proceedings of the GeoShanghai International Conference 2006, Shangai, China, 6–8 June 2006. [Google Scholar]
- Horpibulsuk, S.K.; Rachan, R.L.; Chinkulkijniwat, A.; Raksachon, Y.; Suddeepong, A. Analysis of strength development in cement-stabilized silty clay from microstructural considerations. Constr. Build. Mater. 2010, 24, 2011–2021. [Google Scholar] [CrossRef]
- McCarthy, M.; Csetenyi, L.; Sachdeva, A.; Dhir, R. Identifying the role of fly ash properties for minimizing sulfate-heave in lime-stabilized soils. Fuel 2012, 92, 27–36. [Google Scholar] [CrossRef]
- Khemissa, M.; Mahamedi, A. Cement and lime mixture stabilization of an expansive overconsolidated clay. Appl. Clay Sci. 2014, 95, 104–110. [Google Scholar] [CrossRef]
- Provis, J.L.; Palomo, A.; Shi, C. Advances in understanding alkali-activated materials. Cem. Concr. Res. 2015, 78, 110–125. [Google Scholar] [CrossRef]
- Alsafi, S.; Farzadnia, N.; Asadi, A.; Huat, B.K. Collapsibility potential of gypseous soil stabilized with fly ash geopolymer; characterization and assessment. Constr. Build. Mater. 2017, 137, 390–409. [Google Scholar] [CrossRef]
- Zhang, M.; Zhao, M.; Zhang, G.; Nowak, P.; Coen, A.; Tao, M. Calcium-free geopolymer as a stabilizer for sulfate-rich soils. Appl. Clay Sci. 2015, 108, 199–207. [Google Scholar] [CrossRef]
- Rehman, Z.U.; Khalid, U. Reuse of COVID-19 face mask for the amelioration of mechanical properties of fat clay: A novel solution to an emerging waste problem. Sci. Total. Environ. 2021, 794, 148746. [Google Scholar] [CrossRef]
- Palomo, A.; López de la Fuente, J.I. Alkali-activated cementitous materials: Alternative matrices for the immobilisation of hazardous wastes-Part I. Stabilisation of boron. Cem. Concr. Res. 2003, 33, 281–288. [Google Scholar] [CrossRef]
- Renjith, R.; Robert, D.; Setunge, S.; Costa, S.; Mohajerani, A. Optimization of fly ash based soil stabilization using secondary admixtures for sustainable road construction. J. Clean. Prod. 2021, 294, 126264. [Google Scholar] [CrossRef]
- Velázquez, S.; Monzó, J.; Borrachero, M.V.; Soriano, L.; Payá, J. Evaluation of the pozzolanic activity of spent FCC catalyst/fly ash mixtures in Portland cement pastes. Thermochim. Acta 2016, 632, 29–36. [Google Scholar] [CrossRef]
- Li, X.; Bai, C.; Qiao, Y.; Wang, X.; Yang, K.; Colombo, P. Preparation, properties and applications of fly ash-based porous geopolymers: A review. J. Clean. Prod. 2022, 359, 132043. [Google Scholar] [CrossRef]
- Mahvash, S.; López-Querol, S.; Bahadori-Jahromi, A. Effect of class F fly ash on fine sand compaction through soil stabilization. Heliyon 2017, 3, e00274. [Google Scholar] [CrossRef]
- Rivera, J.F.; Orobio, A.; Cristelo, N.; Mejia de Gutiérrez, R. Fly ash-based geopolymer as A4 type soil stabiliser. Transp. Geotech. 2020, 25, 100409. [Google Scholar] [CrossRef]
- Griffin, J.A.; Hoyos, L.R.; Chomtid, S. Studies on Sulfate-Resistant Cement Stabilization Methods to Address Sulfate-Induced Soil Heave. J. Geotech. Geoenvironmental Eng. 2004, 130, 391–402. [Google Scholar] [CrossRef]
- McCarthy, M.J.; Csetenyi, L.J.; Sachdeva, A.; Dhir, R.K. Engineering and durability properties of fly ash treated lime-stabilised sulphate-bearing soils. Eng. Geol. 2014, 174, 139–148. [Google Scholar] [CrossRef]
- Puppala, A.J.; Ijaz, N.; Ye, W.; ur Rehman, Z.; Ijaz, Z.; Junaid, M.F. New binary paper/wood industry waste blend for solidification/stabilisation of problematic soil subgrade: Macro-micro study. Road Mater. Pavement Des. 2023, 24, 1215–1232. [Google Scholar] [CrossRef]
- Ijaz, N.; Dai, F.; Meng, L.; Rehman, Z.U.; Zhang, H. Integrating lignosulphonate and hydrated lime for the amelioration of expansive soil: A sustainable waste solution. J. Clean. Prod. 2020, 254, 119985. [Google Scholar] [CrossRef]
- de Souza Junior, T.F.; Salvagni Heineck, K.; Falavigna Silva, C.; Dalla Rosa, F. Mechanical behavior and durability of a typical frictional cohesive soil from Rio Grande do Sul/Brazil improved with Portland cement. Transp. Geotech. 2022, 34, 100751. [Google Scholar] [CrossRef]
- Tonini de Araújo, M.; Tonatto Ferrazzo, S.; Mansur Chaves, H.; Gravina da Rocha, C.; Cesar Consoli, N. Mechanical behavior, mineralogy, and microstructure of alkali-activated wastes-based binder for a clayey soil stabilization. Constr. Build. Mater. 2023, 362, 129757. [Google Scholar] [CrossRef]
- Gómez-Cano, D.; Arias-Jaramillo, Y.P.; Bernal-Correa, R.B.-C.; Tobón, J.I. Effect of enhancement treatments applied to recycled concrete aggregates on concrete durability: A review. Materiales de Construcción 2023, 73, e308. [Google Scholar] [CrossRef]
- Jha, A.K.; Sivapullaiah, P.V. Physical and strength development in lime treated gypseous soil with fly ash—Micro-analyses. Appl. Clay Sci. 2017, 145, 17–27. [Google Scholar] [CrossRef]
- Prabakar, J.; Dendorkar, N.; Morchhale, R. Influence of fly ash on strength behavior of typical soils. Constr. Build. Mater. 2004, 18, 263–267. [Google Scholar] [CrossRef]
- Quintero, A.B.; Cano, D.G.; Peláez, G.C.; Arias, Y.P. Technical and Environmental Assessment of an Alternative Binder for Low Traffic Roads with LCA Methodology. In Proceedings of the 3rd Pan American Materials Congress; The Minerals, Metals & Materials Series; Springer International Publishing: Cham, Switzerland, 2017. [Google Scholar] [CrossRef]
- Kodikara, J.; Islam, T.; Sounthararajah, A. Review of soil compaction: History and recent developments. Transp. Geotech. 2018, 17, 24–34. [Google Scholar] [CrossRef]
- Montoya Jaramilo, L.J. Vías de Bajo Volumen de Tránsito, 1st ed.; Sello Editorial Universidad de Medellín: Medellín, Colombia, 2017. [Google Scholar]
- Siddiqua, S.; Barreto, P.N. Chemical stabilization of rammed earth using calcium carbide residue and fly ash. Constr. Build. Mater. 2018, 169, 364–371. [Google Scholar] [CrossRef]
- Jo, M.; Soto, L.; Arocho, M.; St John, J.; Hwang, S. Optimum mix design of fly ash geopolymer paste and its use in pervious concrete for removal of fecal coliforms and phosphorus in water. Constr. Build. Mater. 2015, 93, 1097–1104. [Google Scholar] [CrossRef]
- Balaguera, A.; Carvajal, G.I.; Arias, Y.P.; Albertí, J.; Fullana-i-Palmer, P. Technical feasibility and life cycle assessment of an industrial waste as stabilizing product for unpaved roads, and influence of packaging. Sci. Total Environ. 2019, 651, 1272–1282. [Google Scholar] [CrossRef] [PubMed]
- Li, C.; Vennapusa, P.K.; Ashlock, J.; White, D.J. Mechanistic-based comparisons for freeze-thaw performance of stabilized unpaved roads. Cold Reg. Sci. Technol. 2017, 141, 97–108. [Google Scholar] [CrossRef]
- Arm, M.; Vestin, J.; Lind, B.B.; Lagerkvist, A.; Nordmark, D.; Hallgren, P. Pulp mill fly ash for stabilization of low-volume unpaved forest roads—Field performance. Can. J. Civ. Eng. 2014, 41, 955–963. [Google Scholar] [CrossRef]
- Huber, S.; Henzinger, C.; Heyer, D. Influence of water and frost on the performance of natural and recycled materials used in unpaved roads and road shoulders. Transp. Geotech. 2020, 22, 100305. [Google Scholar] [CrossRef]
- ur Rehman, Z.; Ijaz, N.; Ye, W.; Ijaz, Z. Design optimization and statistical modeling of recycled waste-based additive for a variety of construction scenarios on heaving ground. Environ. Sci. Pollut. Res. 2023, 30, 39783–39802. [Google Scholar] [CrossRef]













| Properties | Value | ||
|---|---|---|---|
| Silt | Sand | Clay | |
| 1 Liquid limit-LL (%) | 55 | - | 41 |
| 1 Plastic limit-PL (%) | 34 | - | 23.70 |
| 1 Plasticity index-PI (%) | 21 | - | 17.30 |
| 2 Specific gravity | 2.72 | ||
| 2 Dry unit weight (kN/m3) | 16.22 | 21.20 | 19.55 |
| 3 Optimum moisture content (%) | 22.40 | 7.90 | 13.25 |
| 4 Unified soil classification | MH | SM | CL |
| 5 ASSHTO classification | A-7-5 | A-1b | A-7-6 |
| Composition (%) | Silt | Sand | Clay |
|---|---|---|---|
| SiO2 | 47.9 | 52.1 | 51.6 |
| Al2O3 | 39.0 | 19.3 | 16.9 |
| Fe2O3 | 10.7 | 10.2 | 13.9 |
| CaO | 0.1 | 8.0 | 0.36 |
| MgO | 0.5 | 5.1 | 12.3 |
| Na2O | 0.1 | 2.6 | - |
| SO3 | 0.1 | - | - |
| TiO2 | 1.6 | 1.3 | 1.17 |
| Composition (%) | Fly Ash | Lime |
|---|---|---|
| SiO2 | 41.9 | 1.5 |
| Al2O3 | 31.1 | 1 |
| Fe2O3 | 6.4 | 0.1 |
| CaO | 7.4 | 65.6 |
| MgO | 1.5 | 0.1 |
| Na2O | 5.6 | 0.1 |
| SO3 | 1.1 | 0.3 |
| TiO2 | 1.3 | 1.1 |
| Loss on ignition—110 °C to 1000 °C | 2.1 | 30.3 |
| Source | D10 (μm) | D50 (μm) | D90 (μm) | Specific Area (m2/g) |
|---|---|---|---|---|
| Silt | 3.14 | 23.45 | 61.70 | 0.88 |
| Clay | 2.33 | 16.50 | 50.24 | 1.05 |
| Lime | 3.85 | 28.40 | 106.00 | - |
| Fly ash | 12.42 | 32.94 | 69.51 | 0.38 |
| % mass-soil- stabilizer dosage/moisture (%) - Dry unit weight γd (kN/m3) | ||||
| 100%-silt/ (22.4)-(21.20) | 93%-silt + | 7% OPC/(23.0)-(16.58) | 76%-silt + | 24% OPC/(23.4)-(16.80) |
| 7% L/(23.8)-(15.80) | 24% L/(25.8)-(15.24) | |||
| 7% FLM/(22.8)-(15.80) | 24% FLM/(30.3)-(14.19) | |||
| 100%-clay/ (13.3)-(19.55) | 93%-clay + | 7% OPC/(16.0)-(17.92) | 76%-clay + | 24% OPC/(17.4)-(17.62) |
| 7% L/(13.7)-(19.55) | 24% L/(14.9)-(17.00) | |||
| 7% FLM/(14.2)-(17.04) | 24% FLM/(14.6)-(16.00) | |||
| 100%-sand/ (7.9)-(16.22) | 93%-sand + | 7% OPC/(8.3)-(20.18) | 76%-sand + | 24% OPC/(8.5)-(18.38) |
| 7% L/(9.5)-(19.82) | 24% L/(12.3)-(18.59) | |||
| 7% FLM/(8.3)-(18.38) | 24% FLM/(8.5)-(17.31) | |||
Disclaimer/Publisher’s Note: The statements, opinions and data contained in all publications are solely those of the individual author(s) and contributor(s) and not of MDPI and/or the editor(s). MDPI and/or the editor(s) disclaim responsibility for any injury to people or property resulting from any ideas, methods, instructions or products referred to in the content. |
© 2023 by the authors. Licensee MDPI, Basel, Switzerland. This article is an open access article distributed under the terms and conditions of the Creative Commons Attribution (CC BY) license (https://creativecommons.org/licenses/by/4.0/).
Share and Cite
Arias-Jaramillo, Y.P.; Gómez-Cano, D.; Carvajal, G.I.; Hidalgo, C.A.; Muñoz, F. Evaluation of the Effect of Binary Fly Ash-Lime Mixture on the Bearing Capacity of Natural Soils: A Comparison with Two Conventional Stabilizers Lime and Portland Cement. Materials 2023, 16, 3996. https://doi.org/10.3390/ma16113996
Arias-Jaramillo YP, Gómez-Cano D, Carvajal GI, Hidalgo CA, Muñoz F. Evaluation of the Effect of Binary Fly Ash-Lime Mixture on the Bearing Capacity of Natural Soils: A Comparison with Two Conventional Stabilizers Lime and Portland Cement. Materials. 2023; 16(11):3996. https://doi.org/10.3390/ma16113996
Chicago/Turabian StyleArias-Jaramillo, Yhan P., Diana Gómez-Cano, Gloria I. Carvajal, César A. Hidalgo, and Fredy Muñoz. 2023. "Evaluation of the Effect of Binary Fly Ash-Lime Mixture on the Bearing Capacity of Natural Soils: A Comparison with Two Conventional Stabilizers Lime and Portland Cement" Materials 16, no. 11: 3996. https://doi.org/10.3390/ma16113996
APA StyleArias-Jaramillo, Y. P., Gómez-Cano, D., Carvajal, G. I., Hidalgo, C. A., & Muñoz, F. (2023). Evaluation of the Effect of Binary Fly Ash-Lime Mixture on the Bearing Capacity of Natural Soils: A Comparison with Two Conventional Stabilizers Lime and Portland Cement. Materials, 16(11), 3996. https://doi.org/10.3390/ma16113996

