Machine Learning Method for Fatigue Strength Prediction of Nickel-Based Superalloy with Various Influencing Factors
Abstract
1. Introduction
2. Experimental Data and Pre-Processing
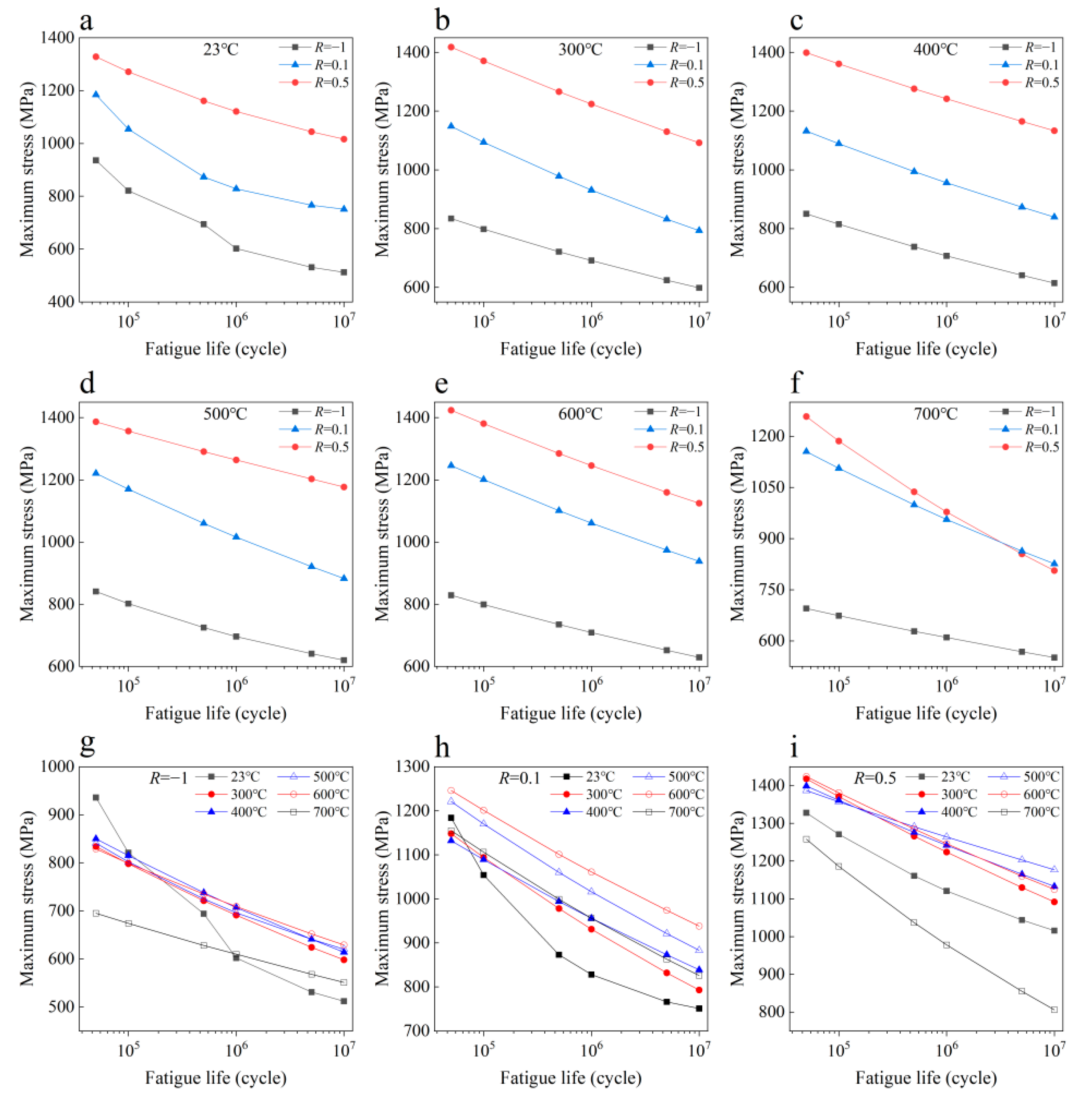
2.1. Experimental Data
2.2. Data Pre-Processing
3. Machine Learning Models
3.1. Gradient Boosting Regression Tree (GBRT) Model
- (1)
- Initialization:
- (2)
- For m = 1, 2, …, M:
- (3)
- Get the regression tree:
3.2. Long Short-Term Memory (LSTM) Model
3.3. Polynomial Regression Model with Ridge Regularization (PRRR)
4. Results and Discussion
5. Conclusions
Author Contributions
Funding
Institutional Review Board Statement
Informed Consent Statement
Data Availability Statement
Conflicts of Interest
References
- Sun, C.; Li, Y.; Huang, R.; Wang, L.; Liu, J.; Zhou, L.; Duan, G. Crack initiation mechanism and fatigue life of titanium alloy Ti–6Al–2Sn–2Zr–3Mo-X: Effects of stress ratio and loading frequency. Mater. Sci. Eng. A 2020, 798, 140265. [Google Scholar] [CrossRef]
- Takeuchi, E.; Furuya, Y.; Nagashima, N.; Matsuoka, S. The effect of frequency on the giga-cycle fatigue properties of a Ti–6Al–4V alloy. Fatigue Fract. Eng. Mater. Struct. 2008, 31, 599–605. [Google Scholar] [CrossRef]
- Liu, F.; Chen, Y.; He, C.; Li, L.; Wang, C.; Li, H.; Zhang, H.; Wang, Q.; Liu, Y. Tensile and very high cycle fatigue behaviors of a compressor blade titanium alloy at room and high temperatures. Mater. Sci. Eng. A 2021, 811, 141049. [Google Scholar] [CrossRef]
- Zhang, Z.; Li, Z.; Wu, H.; Sun, C. Size and Shape Effects on Fatigue Behavior of G20Mn5QT Steel from Axle Box Bodies in High-Speed Trains. Metals 2022, 12, 652. [Google Scholar] [CrossRef]
- Sun, J.; Wu, L.; Sun, C. Effects of Notches and Defects on Dwell Fatigue Mechanism and Fatigue Life of Ti-6Al-4V ELI Alloy Used in Deep-Sea Submersibles. J. Mar. Sci. Eng. 2021, 9, 845. [Google Scholar] [CrossRef]
- Sun, C.; Li, Y.; Xu, K.; Xu, B. Effects of intermittent loading time and stress ratio on dwell fatigue behavior of titanium alloy Ti-6Al-4V ELI used in deep-sea submersibles. J. Mater. Sci. Technol. 2021, 77, 223–236. [Google Scholar] [CrossRef]
- Zhong, B.; Huang, X.; Guo, W.; Yu, H. Experimental study on residual fatigue life for a nickel-based powder metallurgy superalloy. Structural Integrity and Materials Ageing in Extreme Conditions. In Proceedings of the 2010 International Symposium on Structural Integrity, Shanghai, China, 21–24 October 2010; pp. 221–226. [Google Scholar]
- Li, W.; Zhao, H.; Nehila, A.; Zhang, Z.; Sakai, T. Very high cycle fatigue of TC4 titanium alloy under variable stress ratio: Failure mechanism and life prediction. Int. J. Fatigue 2017, 104, 342–354. [Google Scholar] [CrossRef]
- Liu, X.; Sun, C.; Hong, Y. Effects of stress ratio on high-cycle and very-high-cycle fatigue behavior of a Ti–6Al–4V alloy. Mater. Sci. Eng. A 2015, 622, 228–235. [Google Scholar] [CrossRef]
- Li, G.; Ke, L.; Ren, X.; Sun, C. High cycle and very high cycle fatigue of TC17 titanium alloy: Stress ratio effect and fatigue strength modeling. Int. J. Fatigue 2022, 107299. [Google Scholar] [CrossRef]
- Ishihara, S.; McEvily, A.; Sato, M.; Taniguchi, K.; Goshima, T. The effect of load ratio on fatigue life and crack propagation behavior of an extruded magnesium alloy. Int. J. Fatigue 2009, 31, 1788–1794. [Google Scholar] [CrossRef]
- Sun, C.; Lei, Z.; Hong, Y. Effects of stress ratio on crack growth rate and fatigue strength for high cycle and very-high-cycle fatigue of metallic materials. Mech. Mater. 2014, 69, 227–236. [Google Scholar] [CrossRef]
- Lü, Z.-Y.; Wan, A.-S.; Xiong, J.-J.; Li, K.; Liu, J.-Z. Effects of stress ratio on the temperature-dependent high-cycle fatigue properties of alloy steels. Int. J. Miner. Metall. Mater. 2016, 23, 1387–1396. [Google Scholar] [CrossRef]
- Zhao, Z.; Zhang, F.; Dong, C.; Yang, X.; Chen, B. Initiation and early-stage growth of internal fatigue cracking under very-high-cycle fatigue regime at high temperature. Metall. Mater. Trans. A 2020, 51, 1575–1592. [Google Scholar] [CrossRef]
- Liu, Y.; Yu, J.; Xu, Y.; Sun, X.; Guan, H.; Hu, Z. High cycle fatigue behavior of a single crystal superalloy at elevated temperatures. Mater. Sci. Eng. A 2007, 454, 357–366. [Google Scholar] [CrossRef]
- Zhaokuang, C.; Jinjiang, Y.; Xiaofeng, S.; Hengrong, G.; Zhuangqi, H. High cycle fatigue behavior of a directionally solidified Ni-base superalloy DZ951. Mater. Sci. Eng. A 2008, 496, 355–361. [Google Scholar] [CrossRef]
- Chi, W.; Wang, W.; Xu, W.; Li, G.; Chen, X.; Sun, C. Effects of defects on fatigue behavior of TC17 titanium alloy for compressor blades: Crack initiation and modeling of fatigue strength. Eng. Fract. Mech. 2022, 259, 108136. [Google Scholar] [CrossRef]
- Li, G.; Sun, C. High-temperature failure mechanism and defect sensitivity of TC17 titanium alloy in high cycle fatigue. J. Mater. Sci. Technol. 2022, 122, 128–140. [Google Scholar] [CrossRef]
- Kevinsanny; Okazaki, S.; Takakuwa, O.; Ogawa, Y.; Okita, K.; Funakoshi, Y.; Yamabe, J.; Matsuoka, S.; Matsunaga, H. Effect of defects on the fatigue limit of Ni-based superalloy 718 with different grain sizes. Fatigue Fract. Eng. Mater. Struct. 2019, 42, 1203–1213. [Google Scholar] [CrossRef]
- Silver, D.; Huang, A.; Maddison, C.J.; Guez, A.; Sifre, L.; van den Driessche, G.; Schrittwieser, J.; Antonoglou, I.; Panneershelvam, V.; Lanctot, M.; et al. Mastering the game of Go with deep neural networks and tree search. Nature 2016, 529, 484–489. [Google Scholar] [CrossRef]
- Silver, D.; Schrittwieser, J.; Simonyan, K.; Antonoglou, I.; Huang, A.; Guez, A.; Hubert, T.; Baker, L.; Lai, M.; Bolton, A.; et al. Mastering the game of go without human knowledge. Nature 2017, 550, 354–359. [Google Scholar] [CrossRef]
- Guo, X.; Singh, S.; Lee, H.; Lewis, R.L.; Wang, X. Deep learning for real-time Atari game play using offline Monte-Carlo tree search planning. Adv. Neural Inf. Process. Syst. 2014, 27. [Google Scholar]
- Warmuth, M.K.; Liao, J.; Rätsch, G.; Mathieson, M.; Putta, A.S.; Lemmen, C. Active learning with support vector machines in the drug discovery process. J. Am. Chem. Soc. 2003, 43, 667–674. [Google Scholar]
- Wainberg, M.; Merico, D.; Delong, A.; Frey, B.J. Deep learning in biomedicine. Nat. Biotechnol. 2018, 36, 829–838. [Google Scholar] [CrossRef] [PubMed]
- Lima, A.N.; Philot, E.A.; Trossini, G.H.G.; Scott, L.P.B.; Maltarollo, V.G.; Honorio, K.M. Use of machine learning approaches for novel drug discovery. Expert Opin. Drug Discov. 2016, 11, 225–239. [Google Scholar] [CrossRef]
- Usman, S.M.; Usman, M.; Fong, S. Epileptic seizures prediction using machine learning methods. Comput. Math. Methods Med. 2017, 2017. [Google Scholar] [CrossRef]
- De Bruijne, M. Machine learning approaches in medical image analysis: From detection to diagnosis. Med. Image Anal. 2016, 33, 94–97. [Google Scholar] [CrossRef]
- Kourou, K.; Exarchos, T.P.; Exarchos, K.P.; Karamouzis, M.V.; Fotiadis, D.I. Machine learning applications in cancer prognosis and prediction. Comput. Struct. Biotechnol. J. 2015, 13, 8–17. [Google Scholar] [CrossRef]
- Iacoviello, F.; Iacoviello, D.; Cavallini, M. Analysis of stress ratio effects on fatigue propagation in a sintered duplex steel by experimentation and artificial neural network approaches. Int. J. Fatigue 2004, 26, 819–828. [Google Scholar] [CrossRef]
- Durodola, J.; Ramachandra, S.; Gerguri, S.; Fellows, N. Artificial neural network for random fatigue loading analysis including the effect of mean stress. Int. J. Fatigue 2018, 111, 321–332. [Google Scholar] [CrossRef]
- Yan, F.; Song, K.; Liu, Y.; Chen, S.; Chen, J. Predictions and mechanism analyses of the fatigue strength of steel based on machine learning. J. Mater. Sci. 2020, 55, 15334–15349. [Google Scholar] [CrossRef]
- Wen, J.; Zou, Q.; Zhang, Z.; Shi, J.; Wei, Y. The scaling of charging rate and cycle number of commercial batteries. Acta Mech. Sin. 2022, 38, 1–10. [Google Scholar] [CrossRef]
- Chen, X.; Yuan, Z.; Li, Q.; Sun, S.; Wei, Y. A computational method for the load spectra of large-scale structures using a data-driven learning algorithm. Sci. China Technol. Sci. [CrossRef]
- Zhou, K.; Sun, X.; Shi, S.; Song, K.; Chen, X. Machine learning-based genetic feature identification and fatigue life prediction. Fatigue Fract. Eng. Mater. Struct. 2021, 44, 2524–2537. [Google Scholar] [CrossRef]
- Xu, W.; Chen, X.; Zhong, B.; Yu, H.; He, Y.; Tao, C. High cycle fatigue characterization of a nickel-based superalloy based on a novel temperature-dependent regression method. Int. J. Fatigue 2021, 142, 105960. [Google Scholar] [CrossRef]
- Friedman, J.H. Greedy function approximation: A gradient boosting machine. Ann. Stat. 2001, 1189–1232. [Google Scholar] [CrossRef]
- Hochreiter, S.; Schmidhuber, J. Long short-term memory. Neural Comput. 1997, 9, 1735–1780. [Google Scholar] [CrossRef]
- Ren, B. The use of machine translation algorithm based on residual and LSTM neural network in translation teaching. PLoS ONE 2020, 15, e0240663. [Google Scholar] [CrossRef]
- Dedes, K.; Utama, A.B.P.; Wibawa, A.P.; Afandi, A.N.; Handayani, A.N.; Hernandez, L. Neural Machine Translation of Spanish-English Food Recipes Using LSTM. JOIV Int. J. Inform. Vis. 2022, 6, 290–297. [Google Scholar] [CrossRef]
- Huang, X.; Tan, H.; Lin, G.; Tian, Y. A LSTM-based bidirectional translation model for optimizing rare words and terminologies. In Proceedings of the 2018 International Conference on Artificial Intelligence and Big Data (ICAIBD), Chengdu, China, 26–28 May 2018; pp. 185–189. [Google Scholar]
- Yang, Y. Application of LSTM Neural Network Technology Embedded in English Intelligent Translation. Comput. Intell. Neurosci. 2022, 2022, 1085577. [Google Scholar] [CrossRef]
- Li, J.; Mohamed, A.; Zweig, G.; Gong, Y. LSTM time and frequency recurrence for automatic speech recognition. In Proceedings of the 2015 IEEE Workshop on Automatic Speech Recognition and Understanding (ASRU), Scottsdale, AZ, USA, 13–17 December 2015; pp. 187–191. [Google Scholar]
- El Maghraby, E.E.; Gody, A.M.; Farouk, M.H. Audio-Visual Speech Recognition Using LSTM and CNN. Recent Adv. Comput. Sci. Commun. 2021, 14, 2023–2039. [Google Scholar] [CrossRef]
- Understanding LSTM Networks. Available online: http://colah.github.io/posts/2015-08-Understanding-LSTMs/ (accessed on 19 December 2022).
- Wright, S. Correlation and Causation; USDA: Washington, DC, USA, 1921.










| Case 1 | Case 2 | Case 3 | Case 4 | |
|---|---|---|---|---|
| Training sets | 23 °C, 300 °C, 500 °C, 600 °C | 23 °C, 300 °C, 400 °C, 500 °C, 600 °C | 23 °C, 400 °C, 700 °C | 23 °C, 400 °C, 500 °C, 700 °C |
| Testing sets | 400 °C, 700 °C | 700 °C | 300 °C, 500 °C, 600 °C | 300 °C, 600 °C |
| Case | Temperature | Model | R2 | Temperature | Model | R2 |
|---|---|---|---|---|---|---|
| Case 1 | 400 °C | GBRT | 0.980 | 700 °C | GBRT | 0.459 |
| PRRR | 0.994 | PRRR | 0.730 | |||
| LSTM | 0.991 | LSTM | 0.330 | |||
| Case 2 | 700 °C | GBRT | 0.487 | |||
| PRRR | 0.730 | |||||
| LSTM | 0.286 | |||||
| Case 3 | 300 °C | GBRT | 0.988 | 500 °C | GBRT | 0.970 |
| PRRR | 0.980 | PRRR | 0.965 | |||
| LSTM | 0.980 | LSTM | 0.967 | |||
| 600 °C | GBRT | 0.536 | ||||
| PRRR | 0.914 | |||||
| LSTM | 0.902 | |||||
| Case 4 | 300 °C | GBRT | 0.990 | 600 °C | GBRT | 0.984 |
| PRRR | 0.988 | PRRR | 0.992 | |||
| LSTM | 0.991 | LSTM | 0.984 |
Disclaimer/Publisher’s Note: The statements, opinions and data contained in all publications are solely those of the individual author(s) and contributor(s) and not of MDPI and/or the editor(s). MDPI and/or the editor(s) disclaim responsibility for any injury to people or property resulting from any ideas, methods, instructions or products referred to in the content. |
© 2022 by the authors. Licensee MDPI, Basel, Switzerland. This article is an open access article distributed under the terms and conditions of the Creative Commons Attribution (CC BY) license (https://creativecommons.org/licenses/by/4.0/).
Share and Cite
Guo, Y.; Rui, S.-S.; Xu, W.; Sun, C. Machine Learning Method for Fatigue Strength Prediction of Nickel-Based Superalloy with Various Influencing Factors. Materials 2023, 16, 46. https://doi.org/10.3390/ma16010046
Guo Y, Rui S-S, Xu W, Sun C. Machine Learning Method for Fatigue Strength Prediction of Nickel-Based Superalloy with Various Influencing Factors. Materials. 2023; 16(1):46. https://doi.org/10.3390/ma16010046
Chicago/Turabian StyleGuo, Yiyun, Shao-Shi Rui, Wei Xu, and Chengqi Sun. 2023. "Machine Learning Method for Fatigue Strength Prediction of Nickel-Based Superalloy with Various Influencing Factors" Materials 16, no. 1: 46. https://doi.org/10.3390/ma16010046
APA StyleGuo, Y., Rui, S.-S., Xu, W., & Sun, C. (2023). Machine Learning Method for Fatigue Strength Prediction of Nickel-Based Superalloy with Various Influencing Factors. Materials, 16(1), 46. https://doi.org/10.3390/ma16010046

