Bending Analysis of Multiferroic Semiconductor Composite Beam towards Smart Cement-Based Materials
Abstract
1. Introduction
2. Basic Equations of n-Type Multiferroic Composite Semiconductors
3. Formulation of an LMPS Cantilever Beam
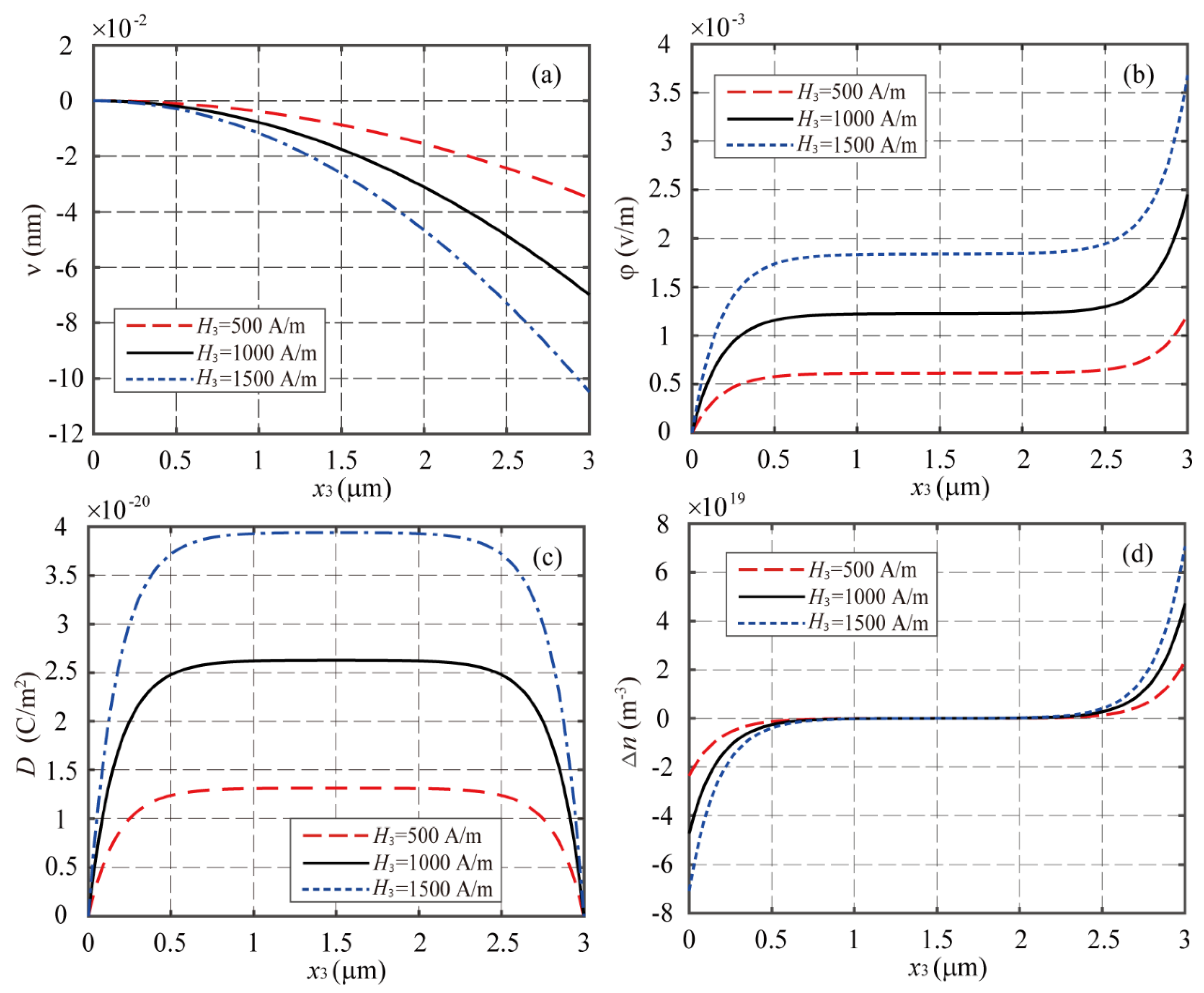
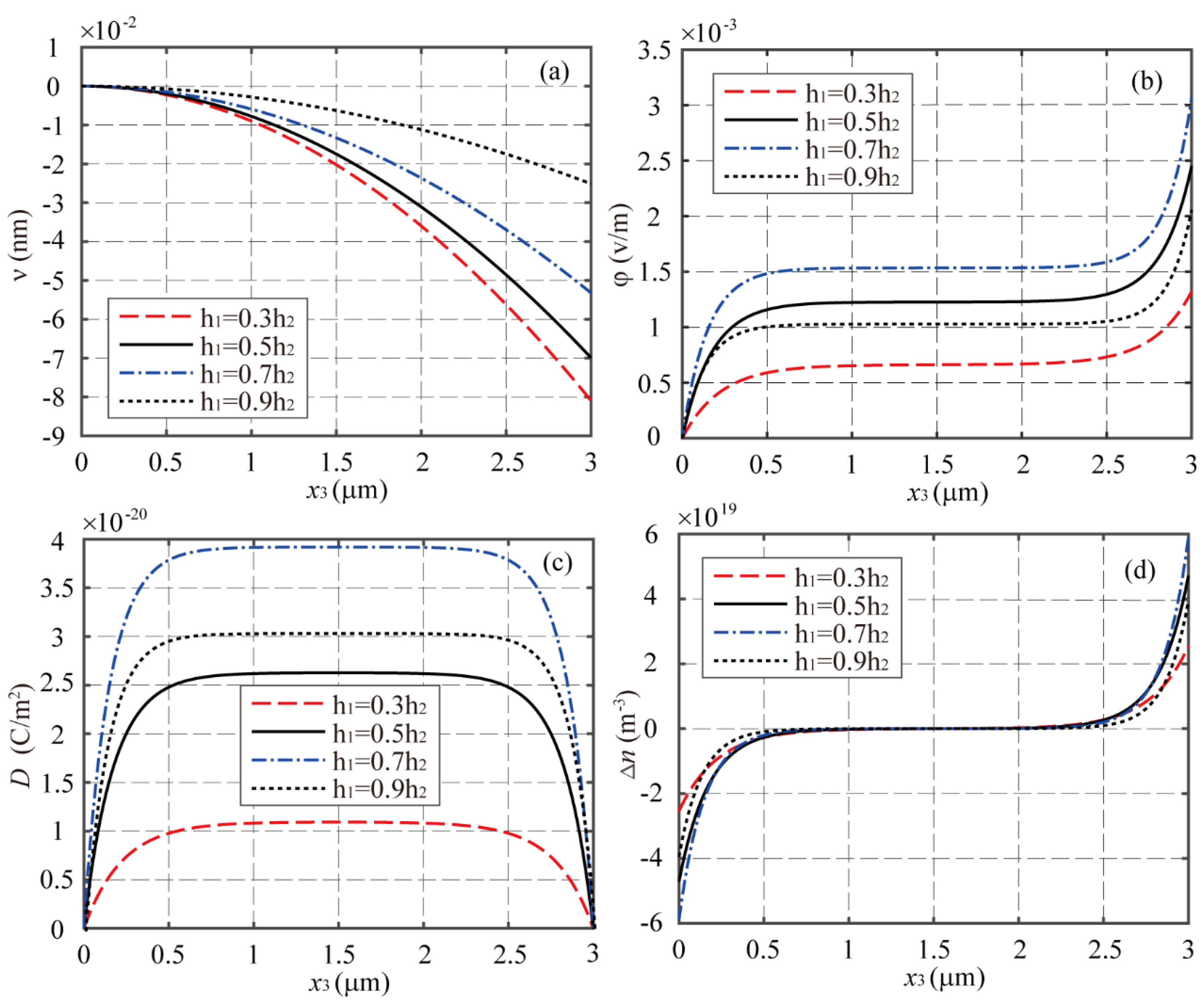
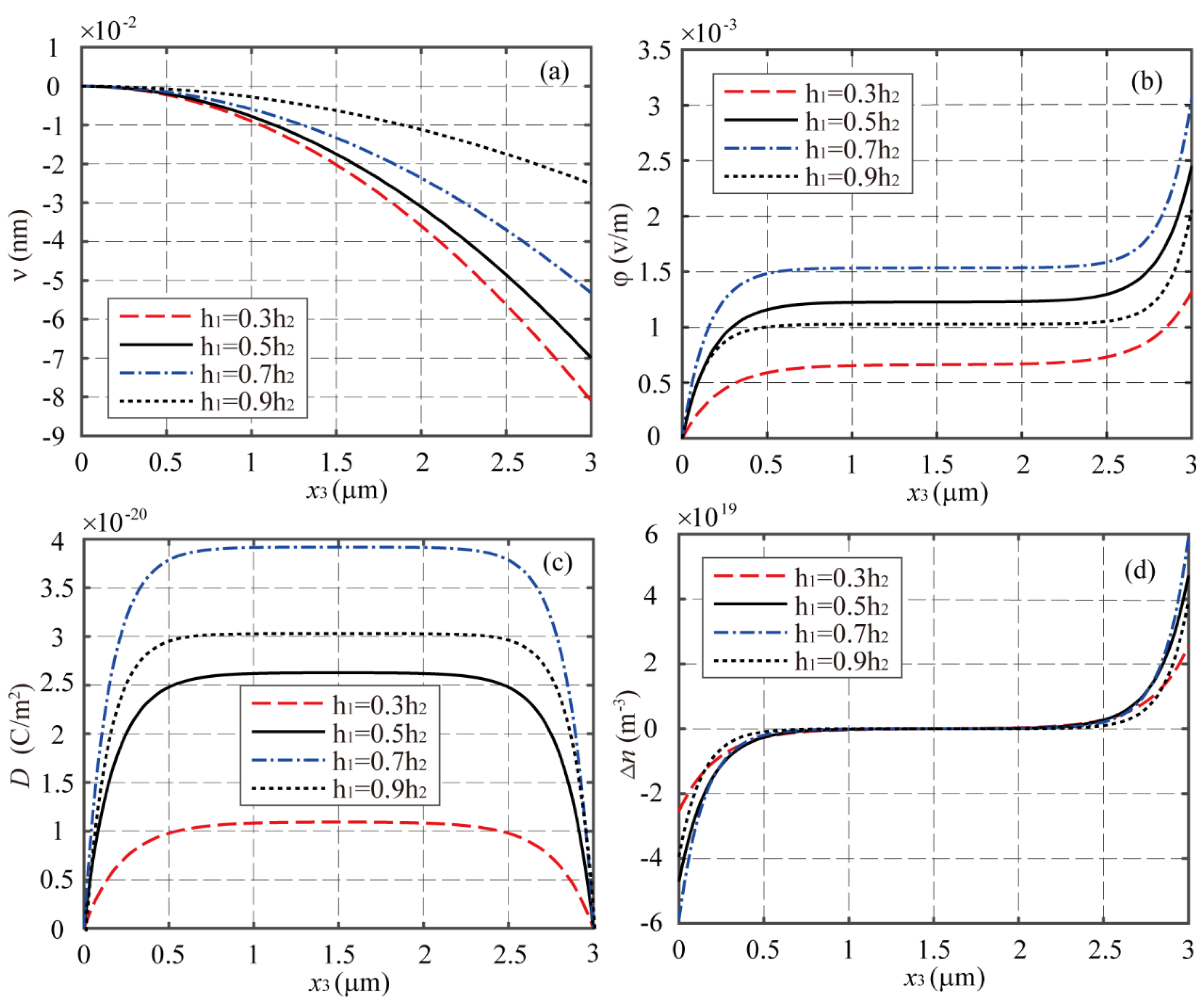
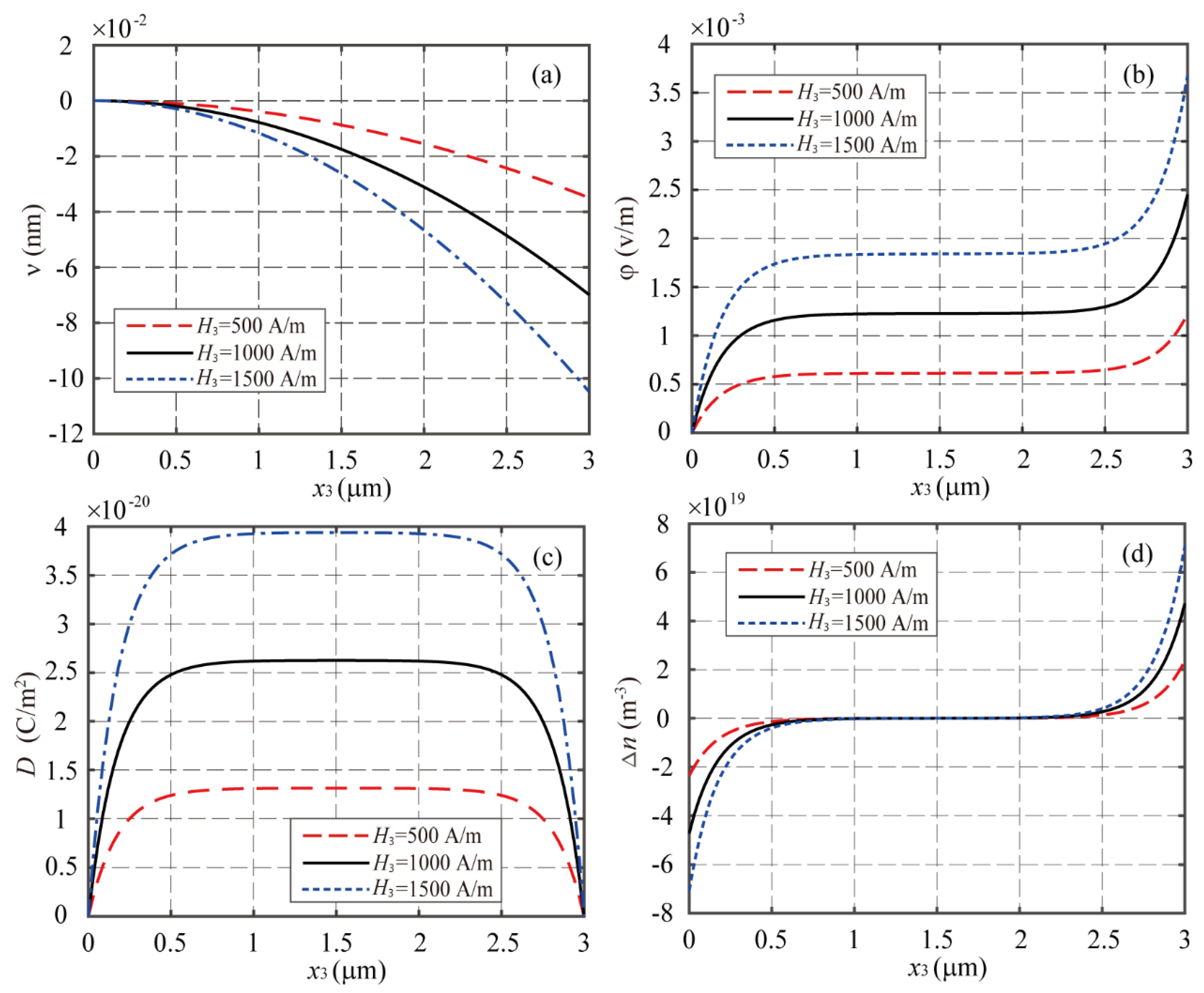
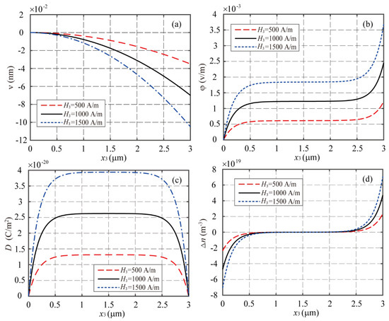
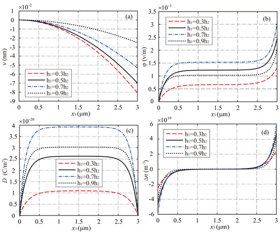
4. Numerical Results and Discussion
5. Conclusions and Prospects
Author Contributions
Funding
Institutional Review Board Statement
Informed Consent Statement
Conflicts of Interest
Abbreviations
| stress tensor | |
| stress components in Voigt notation | |
| mass density | |
| mechanical displacement | |
| deflection in the beam theory | |
| rotation in the beam theory | |
| electric displacement | |
| magnetic induction | |
| electron current density | |
| elementary charge | |
| electron concentration | |
| concentration of impurities of donors | |
| strain tensor | |
| strain components in Voigt notation | |
| electric field | |
| magnetic field | |
| elastic coefficient tensor | |
| elastic constant in Voigt notation | |
| piezoelectric coefficient tensor | |
| piezoelectric coefficient in Voigt notation | |
| dielectric constant | |
| piezomagnetic coefficient tensor | |
| piezomagnetic coefficient in Voigt notation | |
| magnetic permeability | |
| mobility | |
| diffusion constant | |
| Boltzmann constant | |
| temperature in Kelvin | |
| electric potential | |
| initial concentration of electrons | |
| incremental concentration of electrons | |
| effective elastic constant | |
| effective piezomagnetic constant | |
| effective dielectric constant | |
| effective piezoelectric constant | |
| bending moment | |
| resultant electric displacement |
References
- Konesky, G.A. Cement-based electronics. Proc. SPIE 2004, 5272, 369–379. [Google Scholar]
- You, I.; Lee, S.J.; Yoo, D.Y. Nanotechnology in Cement-Based Construction; Jenny Standfor Publishing: New York, NY, USA, 2020. [Google Scholar]
- Zhu, X.Y.; Zhou, X.D.; Ye, F.Y.; Wu, H.T.; Du, Z. Development and evaluation of cement /emulsified-asphalt based piezoelectric sensors for road weigh-in-motion system. Smart Mater. Struct. 2021, 30, 125012. [Google Scholar] [CrossRef]
- Dong, W.K.; Li, W.G.; Tao, Z.; Wang, K.J. Piezoresistive properties of cement-based sensors: Review and perspective. Constr. Build. Mater. 2019, 203, 146–163. [Google Scholar] [CrossRef]
- Wen, S.; Chung, D. Electrical behavior of cement-based junctions including the PN-junction. Cement Concr. Res. 2001, 31, 129–133. [Google Scholar] [CrossRef]
- Ding, S.Q.; Xiang, Y.; Ni, Y.Q.; Thakur, V.K.; Wang, X.Y.; Han, B.G.; Ou, J.P. In-situ synthesizing carbon nanotubes on cement to develop self-sensing cementitious composites for smart high-speed rail infrastructures. Nono Today 2022, 43, 101438. [Google Scholar] [CrossRef]
- Wang, Z.L. Nanopiezotronics. Adv. Mater. 2007, 19, 889–892. [Google Scholar] [CrossRef]
- Wang, Z.L. Piezopotential gated nanowire devices: Piezotronics and piezo-phototronics. Nano Today 2010, 5, 540–552. [Google Scholar] [CrossRef]
- Liu, Y.; Zhang, Y.; Yang, Q.; Niu, S.M.; Wang, Z.L. Fundamental theories of piezotronics and piezo-phototronics. Nano Energy 2015, 14, 257–275. [Google Scholar] [CrossRef]
- Wang, X.D.; Zhou, J.; Song, J.H.; Liu, J.; Xu, N.S.; Wang, Z.L. Piezoelectric field effect transistor and nanoforce sensor based on a single ZnO nanowire. Nano Lett. 2006, 6, 2768–2772. [Google Scholar] [CrossRef]
- He, J.H.; Hsin, C.L.; Liu, J.; Chen, L.J.; Wang, Z.L. Piezoelectric gated diode of a single ZnO nanowire. Adv. Mater. 2007, 19, 781–784. [Google Scholar] [CrossRef]
- Wu, W.Z.; Wei, Y.G.; Wang, Z.L. Strain-gated piezotronic logic nanodevices. Adv. Mater. 2010, 22, 4711–4715. [Google Scholar] [CrossRef]
- Yang, Q.; Guo, X.; Wang, W.H.; Zhang, Y.; Xu, S.; Lien, D.H.; Wang, Z.L. Enhancing sensitivity of a single ZnO micro-/nanowire photod-etector by piezo-phototronic effect. ACS Nano 2010, 4, 6285–6291. [Google Scholar] [CrossRef] [PubMed]
- Zhu, L.P.; Wang, Z.L. Recent progress in piezo-phototronic effect enhanced solar cells. Adv. Funct. Mater. 2019, 29, 1808214. [Google Scholar] [CrossRef]
- Kumar, B.; Kim, S.W. Energy harvesting based on semiconducting piezoelectric ZnO nanostructures. Nano Energy 2012, 1, 342–355. [Google Scholar] [CrossRef]
- Pradel, K.C.; Wu, W.Z.; Ding, Y.; Wang, Z.L. Solution-derived ZnO homojunction nanowire films on wearable substrates for energy conversion and self-powered gesture recognition. Nano Lett. 2014, 14, 6897–6905. [Google Scholar] [CrossRef]
- Wang, G.L.; Liu, J.X.; Liu, X.L.; Feng, W.J.; Yang, J.S. Extensional vibration characteristics and screening of polarization charges in a ZnO piezoelectric semiconductor nanofiber. J. Appl. Phys. 2018, 124, 094502. [Google Scholar] [CrossRef]
- Fan, S.Q.; Yang, Y.X.; Xie, J.M.; Hu, Y.T. Exact solutions to the electromechanical quantities inside a statically-bent circular ZnO nanowire by taking into account both the piezoelectric property and the semiconducting performance: Part I--Linearized analysis. Nano Energy 2017, 40, 82–87. [Google Scholar] [CrossRef]
- Zhang, C.L.; Wang, X.Y.; Chen, W.Q.; Yang, J.S. An analysis of the extension of a ZnO piezoelectric semiconductor nanofiber under an axial force. Smart Mater. Struct. 2016, 26, 025030. [Google Scholar] [CrossRef]
- Gao, Y.F.; Wang, Z.L. Electrostatic Potential in a Bent piezoelectric nanowire. The fundamental theory of nanogenerator and nanopiezotronics. Nano Lett. 2007, 7, 2499–2505. [Google Scholar] [CrossRef] [PubMed]
- Dai, X.Y.; Zhu, F.; Qian, Z.H.; Yang, J.S. Electric potential and carrier distribution in a piezoelectric semiconductor nanowire in time-harmonic bending vibration. Nano Energy 2017, 43, 22–28. [Google Scholar] [CrossRef]
- Liang, Y.X.; Yang, W.L.; Yang, J.S. Transient bending vibration of a piezoelectric semiconductor nanofiber under a suddenly applied shear force. Acta Mech. Solida Sinca 2019, 32, 688–697. [Google Scholar] [CrossRef]
- Yang, W.L.; Hu, Y.T.; Yang, J.S. Transient extensional vibration in a ZnO piezoelectric semiconductor nanofiber under a suddenly applied end force. Mater. Res. Express 2018, 6, 25902. [Google Scholar] [CrossRef]
- Romano, G.; Mantini, G.; Carlo, A.D.; Amico, A.D.; Falconi, C.; Wang, Z.L. Piezoelectric potential in vertically aligned nanowires for high output nanogenerators. Nanotechnology 2011, 22, 465401. [Google Scholar] [CrossRef]
- Liang, C.; Zhang, C.L.; Chen, W.Q.; Yang, J.S. Static buckling of piezoelectric semiconductor fibers. Mater. Res. Express 2020, 6, 125919. [Google Scholar] [CrossRef]
- Huang, H.Y.; Qian, Z.H.; Yang, J.S. I-V characteristics of a piezoelectric semiconductor nanofiber under local tensile/compressive stress. J. Appl. Phys. 2019, 126, 164902. [Google Scholar] [CrossRef]
- Cheng, R.R.; Zhang, C.L.; Chen, W.Q.; Yang, J.S. Electrical behaviors of a piezoelectric semiconductor fiber under a local temperature change. Nano Energy 2019, 66, 04081–104081. [Google Scholar] [CrossRef]
- Cheng, R.R.; Zhang, C.L.; Chen, W.Q.; Yang, J.S. Piezotronic effects in the extension of a composite fiber of piezoelectric dielectrics and nonpiezoelectric semiconductors. J. Appl. Phys. 2018, 124, 064506. [Google Scholar] [CrossRef]
- Luo, Y.X.; Zhang, C.L.; Chen, W.Q.; Yang, J.S. Piezopotential in a bended composite fiber made of a semiconductive core and of two piezoelectric layers with opposite polarities. Nano Energy 2018, 54, 341–348. [Google Scholar] [CrossRef]
- Wong, M.C.; Chen, L.; Tsang, M.K.; Zhang, Y.; Hao, J.H. Magnetic-induced luminescence from flexible composite laminates by coupling magnetic field to piezophotonic effect. Adv. Mater. 2015, 27, 4488–4495. [Google Scholar] [CrossRef]
- Wong, M.C.; Chen, L.; Bai, G.X.; Huang, L.B.; Ha, J.H. Temporal and remote tuning of piezophotonic-effect-induced luminescence and color gamut via modulating magnetic field. Adv. Mater. 2017, 29, 1701945. [Google Scholar] [CrossRef]
- Peng, M.Z.; Zhang, Y.; Liu, Y.D.; Song, M.; Zhai, J.Y.; Wang, Z.L. Magnetic-mechanical-electrical-optical coupling effects in GaN-based LED/rare-earth terfenol-D structures. Adv. Mater. 2014, 26, 6767–6772. [Google Scholar] [CrossRef] [PubMed]
- Cheng, R.R.; Zhang, C.L.; Zhang, C.H.; Chen, W.Q. Magnetically controllable piezotronic responses in a composite semiconductor fiber with multiferroic coupling effects. Phys. Status Solidi 2019, 217, 1900621. [Google Scholar] [CrossRef]
- Kong, D.J.; Cheng, R.R.; Zhang, C.L.; Zhang, C.Z. Dynamic manipulation of piezotronics behaviors of composite multiferroic semiconductors through time-dependent magnetic field. J. Appl. Phys. 2020, 128, 064503. [Google Scholar] [CrossRef]
- Wang, G.L.; Liu, J.X.; Feng, W.J.; Yang, J.S. Magnetically induced carrier distribution in a composite rod of piezoelectric semiconductors and piezomagnetics. Materials 2020, 13, 3115. [Google Scholar] [CrossRef] [PubMed]
- Liang, C.; Zhang, C.L.; Chen, W.Q.; Yang, J.S. Electrical response of a multiferroic composite semiconductor fiber under a local magnetic field. Acta Mech. Solida Sinica 2020, 33, 663–673. [Google Scholar] [CrossRef]
- Liang, C.; Zhang, C.L.; Chen, W.Q.; Yang, J.S. Effects of magnetic fields on PN junctions in piezomagnetic–piezoelectric semiconductor composite fibers. Int. J. Appl. Mech. 2020, 12, 2050085. [Google Scholar] [CrossRef]
- Yang, L.; Du, J.K.; Wang, J.; Yang, J.S. An analysis of piezomagnetic-piezoelectric semiconductor unimorphs in coupled bending and extension under a transverse magnetic field. Acta Mech. Solida Sinica 2021, 34, 743–753. [Google Scholar] [CrossRef]
- Zhang, C.L.; Wang, X.Y.; Chen, W.Q.; Yang, J.S. Bending of a cantilever piezoelectric semiconductor fiber under an end force. In Gerneralized Models and Non-Classical Approaches in Complex Materials 2; Altenbach, H., Pouget, J., Rousseau, M., Collet, B., Michelitsch, T., Eds.; Advanced Structured Materials; Springer: Cham, Switzerland, 2018; Volume 90. [Google Scholar] [CrossRef]
- Auld, B.A.; Green, R.E. Acoustic fields and waves in solids. Phys. Today 1974, 27, 63–64. [Google Scholar] [CrossRef]
- Zhang, C.L.; Yang, J.S.; Chen, W.Q. Theoretical modeling of frequency-dependent magnetoelectric effects in laminated multiferroic plates. IEEE Trans. Ultrason. Ferroelectr. Freq. Control 2009, 56, 2750–2759. [Google Scholar] [CrossRef]





Disclaimer/Publisher’s Note: The statements, opinions and data contained in all publications are solely those of the individual author(s) and contributor(s) and not of MDPI and/or the editor(s). MDPI and/or the editor(s) disclaim responsibility for any injury to people or property resulting from any ideas, methods, instructions or products referred to in the content. |
© 2023 by the authors. Licensee MDPI, Basel, Switzerland. This article is an open access article distributed under the terms and conditions of the Creative Commons Attribution (CC BY) license (https://creativecommons.org/licenses/by/4.0/).
Share and Cite
Wang, Y.; Huang, Y.; Zhang, C.; Xu, R. Bending Analysis of Multiferroic Semiconductor Composite Beam towards Smart Cement-Based Materials. Materials 2023, 16, 421. https://doi.org/10.3390/ma16010421
Wang Y, Huang Y, Zhang C, Xu R. Bending Analysis of Multiferroic Semiconductor Composite Beam towards Smart Cement-Based Materials. Materials. 2023; 16(1):421. https://doi.org/10.3390/ma16010421
Chicago/Turabian StyleWang, Yun, Yifan Huang, Chunli Zhang, and Rongqiao Xu. 2023. "Bending Analysis of Multiferroic Semiconductor Composite Beam towards Smart Cement-Based Materials" Materials 16, no. 1: 421. https://doi.org/10.3390/ma16010421
APA StyleWang, Y., Huang, Y., Zhang, C., & Xu, R. (2023). Bending Analysis of Multiferroic Semiconductor Composite Beam towards Smart Cement-Based Materials. Materials, 16(1), 421. https://doi.org/10.3390/ma16010421

