Influence of Processing Parameters on the Mechanical Properties of Peek Plates by Hot Compression Molding
Abstract
1. Introduction
2. Materials and Methods
3. Results and Discussion
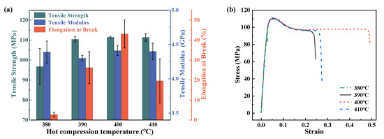
3.1. Hot Compression Temperature
3.2. Hot Compression Time
3.3. Hot Compression Pressure
4. Conclusions
- The hot compression temperature has a most significant influence on the overall mechanical performance of PEEK plates, and the 400 °C processing condition gives the most outstanding results for a pure PEEK plate via the hot compression molding technique;
- The hot compression time shows a significant impact on the elongation at break for the material. A 30 min hot compression time provided an improved comprehensive mechanical performance;
- Hot compression pressures that are greater than 1.5 MPa showed a limited impact on all the mechanical properties characterized in this paper, and the optimal compression for PEEK is 2.5 Mpa.
Author Contributions
Funding
Institutional Review Board Statement
Informed Consent Statement
Data Availability Statement
Conflicts of Interest
References
- Prashanth, S.; Subbaya, K.; Nithin, K.; Sachhidananda, S. Fiber reinforced composites-a review. J. Mater. Sci. Eng 2017, 6, 2–6. [Google Scholar]
- Jayan, J.S.; Appukuttan, S.; Wilson, R.; Joseph, K.; George, G.; Oksman, K. 1—An introduction to fiber reinforced composite materials. In Fiber Reinforced Composites; Joseph, K., Oksman, K., George, G., Wilson, R., Appukuttan, S., Eds.; Woodhead Publishing: Sawston, UK, 2021; pp. 1–24. [Google Scholar]
- Murray, R.E.; Beach, R.; Barnes, D.; Snowberg, D.; Berry, D.; Rooney, S.; Jenks, M.; Gage, B.; Boro, T.; Wallen, S.; et al. Structural validation of a thermoplastic composite wind turbine blade with comparison to a thermoset composite blade. Renew. Energy 2021, 164, 1100–1107. [Google Scholar] [CrossRef]
- Stewart, R. Thermoplastic composites—Recyclable and fast to process. Reinf. Plast. 2011, 55, 22–28. [Google Scholar] [CrossRef]
- Bernatas, R.; Dagreou, S.; Despax-Ferreres, A.; Barasinski, A. Recycling of fiber reinforced composites with a focus on thermoplastic composites. Clean. Eng. Technol. 2021, 5, 100272. [Google Scholar] [CrossRef]
- Friedrich, K. Carbon Fiber Reinforced Thermoplastic Composites for Future Automotive Applications. AIP Conf. Proc. 2016, 1736, 020001. [Google Scholar]
- Gohel, G.; Bhudolia, S.K.; Elisetty, S.B.S.; Leong, K.F.; Gerard, P. Development and impact characterization of acrylic thermoplastic composite bicycle helmet shell with improved safety and performance. Compos. Part B Eng. 2021, 221, 109008. [Google Scholar] [CrossRef]
- Su, D. Application of Fiber Reinforced Composites for Sports Instruments. Appl. Mech. Mater. 2014, 687–691, 4256–4259. [Google Scholar] [CrossRef]
- Abode-Iyamah, K.; Kim, S.B.; Grosland, N.; Kumar, R.; Belirgen, M.; Lim, T.H.; Torner, J.; Hitchon, P.W. Spinal motion and intradiscal pressure measurements before and after lumbar spine instrumentation with titanium or PEEK rods. J. Clin. Neurosci. 2014, 21, 651–655. [Google Scholar] [CrossRef]
- Gallagher, E.A.; Lamorinière, S.; McGarry, P. Multi-axial damage and failure of medical grade carbon fibre reinforced PEEK laminates: Experimental testing and computational modelling. J. Mech. Behav. Biomed. Mater. 2018, 82, 154–167. [Google Scholar] [CrossRef]
- Barile, M.; Lecce, L.; Iannone, M.; Pappadà, S.; Roberti, P. Thermoplastic Composites for Aerospace Applications. In Revolutionizing Aircraft Materials and Processes; Pantelakis, S., Tserpes, K., Eds.; Springer International Publishing: Cham, Switzerland, 2020; pp. 87–114. [Google Scholar]
- Sudhin, A.U.; Remanan, M.; Ajeesh, G.; Jayanarayanan, K. Comparison of Properties of Carbon Fiber Reinforced Thermoplastic and Thermosetting Composites for Aerospace Applications. Mater. Today Proc. 2020, 24, 453–462. [Google Scholar] [CrossRef]
- Mathijsen, D. Leading the way in thermoplastic composites. Reinf. Plast. 2016, 60, 405–407. [Google Scholar] [CrossRef]
- Bromley, H.S. Investigation of Integrally-Heated Tooling and Thermal Modeling Methodologies for the Rapid Cure of Aerospace Composites; Massachusetts Institute of Technology: Cambridge, UK, 2015. [Google Scholar]
- Chen, H.; Li, S.; Wang, J.; Ding, A. A focused review on the thermo-stamping process and simulation progresses of continuous fibre reinforced thermoplastic composites. Compos. Part B Eng. 2021, 224, 109196. [Google Scholar] [CrossRef]
- Offringa, A.R. In New thermoplastic composite design concepts and their automated manufacture. Aeronautics 2010, 58, 45–49. [Google Scholar]
- Lee, C.-U.; Vandenbrande, J.; Goetz, A.E.; Ganter, M.A.; Storti, D.W.; Boydston, A.J. Room temperature extrusion 3D printing of polyether ether ketone using a stimuli-responsive binder. Addit. Manuf. 2019, 28, 430–438. [Google Scholar] [CrossRef]
- Zanjanijam, A.R.; Major, I.; Lyons, J.G.; Lafont, U.; Devine, D.M. Fused Filament Fabrication of PEEK: A Review of Process-Structure-Property Relationships. Polymers 2020, 12, 1665. [Google Scholar] [CrossRef]
- Ling, X.; Jing, X.; Zhang, C.-Z.; Chen, S. In Polyether Ether Ketone (PEEK) Properties and Its Application Status. IOP Conf. Ser. Earth Environ. Sci. 2020, 453, 012080. [Google Scholar] [CrossRef]
- Haleem, A.; Javaid, M. Polyether ether ketone (PEEK) and its 3D printed implants applications in medical field: An overview. Clin. Epidemiol. Glob. Health 2019, 7, 571–577. [Google Scholar] [CrossRef]
- Rinaldi, M.; Cecchini, F.; Pigliaru, L.; Ghidini, T.; Lumaca, F.; Nanni, F. Additive Manufacturing of Polyether Ether Ketone (PEEK) for Space Applications: A Nanosat Polymeric Structure. Polymers 2021, 13, 11. [Google Scholar] [CrossRef]
- Zhao, X.; Vokhidova, N.R.; Lu, Y. Design, Preparation and Characterization of Flexible Ultra High Frequency (UHF) Antennas Based on Polyether Ether Ketone (PEEK) Films. J. Electron. Mater. 2022, 51, 4601–4615. [Google Scholar] [CrossRef]
- Choi, J.; Chen, Y.; Abbel, R.; Visagie, I.; Parker, K. Flexible humidity sensors for wireless monitoring based on electrospun sulfonated polyether ether ketone (SPEEK) nanofibres. Sens. Actuators B Chem. 2020, 324, 128704. [Google Scholar] [CrossRef]
- van de Werken, N.; Koirala, P.; Ghorbani, J.; Doyle, D.; Tehrani, M. Investigating the hot isostatic pressing of an additively manufactured continuous carbon fiber reinforced PEEK composite. Addit. Manuf. 2021, 37, 101634. [Google Scholar] [CrossRef]
- Hu, J.; Liu, A.; Zhu, S.; Zhang, H.; Wang, B.; Zheng, H.; Zhou, Z. Novel panel-core connection process and impact behaviors of CF/PEEK thermoplastic composite sandwich structures with truss cores. Compos. Struct. 2020, 251, 112659. [Google Scholar] [CrossRef]
- Kuo, C.-F.J.; Su, T.-L. Optimization of multiple quality characteristics for polyether ether ketone injection molding process. Fibers Polym. 2006, 7, 404–413. [Google Scholar] [CrossRef]
- Lee, D.J. Comparison of Mechanical Properties of Compression and Injection Molded PEEK/Carbon Fiber Reinforced Composites. Key Eng. Mater. 2006, 306–308, 751–756. [Google Scholar] [CrossRef]
- Algarni, M.; Ghazali, S. Comparative Study of the Sensitivity of PLA, ABS, PEEK, and PETG’s Mechanical Properties to FDM Printing Process Parameters. Crystals 2021, 11, 995. [Google Scholar] [CrossRef]
- Chen, C.; Zhang, C.; Zhao, Z.; Wang, Y.; Wong, S.-C.; Li, Y. Effect of fiber reinforcement and fabrication process on the dynamic compressive behavior of PEEK composites. Int. J. Mech. Sci. 2019, 155, 170–177. [Google Scholar] [CrossRef]
- Seferis, J.C. Polyetheretherketone (PEEK): Processing-structure and properties studies for a matrix in high performance composites. Polym. Compos. 1986, 7, 158–169. [Google Scholar] [CrossRef]
- Ma, J.; Xue, Y.; Liang, X.; Liao, C.; Tan, Z.; Tang, B. Bi-directional regulatable mechanical properties of 3D braided polyetheretherketone (PEEK). Mater. Sci. Eng. C 2019, 103, 109811. [Google Scholar] [CrossRef]
- Fujihara, K.; Huang, Z.-M.; Ramakrishna, S.; Hamada, H. Influence of processing conditions on bending property of continuous carbon fiber reinforced PEEK composites. Compos. Sci. Technol. 2004, 64, 2525–2534. [Google Scholar] [CrossRef]
- Yurchenko, M.E.; Huang, J.; Robisson, A.; McKinley, G.H.; Hammond, P.T. Synthesis, mechanical properties and chemical/solvent resistance of crosslinked poly(aryl-ether–ether–ketones) at high temperatures. Polymer 2010, 51, 1914–1920. [Google Scholar] [CrossRef]
- Qu, H.; Zhang, W.; Li, Z.; Hou, L.; Li, G.; Fuh, J.Y.H.; Wu, W. Influence of Thermal Processing Conditions on Mechanical and Material Properties of 3D Printed Thin-Structures Using PEEK Material. Int. J. Precis. Eng. Manuf. 2022, 23, 689–699. [Google Scholar] [CrossRef]
- Reitman, M.; Jaekel, D.; Siskey, R.; Kurtz, S.M. Chapter 4—Morphology and Crystalline Architecture of Polyaryletherketones. In PEEK Biomaterials Handbook; Kurtz, S.M., Ed.; William Andrew Publishing: Oxford, UK, 2012; pp. 49–60. [Google Scholar]
- Chen, H.; Ginzburg, V.V.; Yang, J.; Yang, Y.; Liu, W.; Huang, Y.; Du, L.; Chen, B. Thermal conductivity of polymer-based composites: Fundamentals and applications. Prog. Polym. Sci. 2016, 59, 41–85. [Google Scholar] [CrossRef]
- Wang, Y.-q.; Cui, G.; Shao, Z.-B.; Bao, Y.-j.; Gao, H. Optimization of the Hot Pressing Process for Preparing Flax Fiber/PE Thermoplastic Composite. Mech. Eng. Sci. 2019. [Google Scholar] [CrossRef]






| ID | Temperature (°C) | Compression Time (min) | Pressure (MPa) | Pressure-Holding Time (min) |
|---|---|---|---|---|
| A | 380 | 30 | 2.5 | 60 |
| B | 390 | 30 | 2.5 | 60 |
| C | 400 | 30 | 2.5 | 60 |
| D | 410 | 30 | 2.5 | 60 |
| ID | Tensile Strength (MPa) | Tensile Modulus (GPa) | Elongation at Break (%) | Flexural Strength (MPa) | Flexural Modulus (GPa) |
|---|---|---|---|---|---|
| A | 96.76 | 4.39 | 2.74 | 161.13 | 4.20 |
| B | 110.39 | 4.30 | 26.22 | 190.20 | 4.04 |
| C | 111.43 | 4.41 | 43.10 | 190.98 | 4.10 |
| D | 111.40 | 4.40 | 19.60 | 189.89 | 4.03 |
| ID | Temperature (°C) | Compression Time (min) | Pressure (MPa) | Pressure-Holding Time (min) |
|---|---|---|---|---|
| F | 400 | 20 | 2.5 | 60 |
| C | 400 | 30 | 2.5 | 60 |
| E | 400 | 40 | 2.5 | 60 |
| G | 400 | 50 | 2.5 | 60 |
| ID | Tensile Strength (MPa) | Tensile Modulus (GPa) | Elongation at Break (%) | Flexural Strength (MPa) | Flexural Modulus (GPa) |
|---|---|---|---|---|---|
| F | 111.05 | 4.26 | 18.26 | 187.98 | 4.20 |
| C | 111.43 | 4.41 | 43.10 | 190.98 | 4.10 |
| E | 111.61 | 4.48 | 28.56 | 190.79 | 4.14 |
| G | 112.19 | 4.36 | 28.37 | 188.64 | 4.08 |
| ID | Temperature (°C) | Compression Time (min) | Pressure (MPa) | Pressure-Holding Time (min) |
|---|---|---|---|---|
| J | 400 | 30 | 1.5 | 60 |
| C | 400 | 30 | 2.5 | 60 |
| H | 400 | 30 | 3.5 | 60 |
| I | 400 | 30 | 5.0 | 60 |
| ID | Tensile Strength (MPa) | Tensile Modulus (GPa) | Elongation at Break (%) | Flexural Strength (MPa) | Flexural Modulus (GPa) |
|---|---|---|---|---|---|
| J | 111.15 | 4.33 | 40.76 | 184.49 | 4.15 |
| C | 111.43 | 4.41 | 43.10 | 190.98 | 4.10 |
| H | 111.12 | 4.36 | 30.68 | 189.05 | 4.16 |
| I | 110.47 | 4.33 | 38.02 | 185.07 | 4.26 |
Disclaimer/Publisher’s Note: The statements, opinions and data contained in all publications are solely those of the individual author(s) and contributor(s) and not of MDPI and/or the editor(s). MDPI and/or the editor(s) disclaim responsibility for any injury to people or property resulting from any ideas, methods, instructions or products referred to in the content. |
© 2022 by the authors. Licensee MDPI, Basel, Switzerland. This article is an open access article distributed under the terms and conditions of the Creative Commons Attribution (CC BY) license (https://creativecommons.org/licenses/by/4.0/).
Share and Cite
Li, T.; Song, Z.; Yang, X.; Du, J. Influence of Processing Parameters on the Mechanical Properties of Peek Plates by Hot Compression Molding. Materials 2023, 16, 36. https://doi.org/10.3390/ma16010036
Li T, Song Z, Yang X, Du J. Influence of Processing Parameters on the Mechanical Properties of Peek Plates by Hot Compression Molding. Materials. 2023; 16(1):36. https://doi.org/10.3390/ma16010036
Chicago/Turabian StyleLi, Tong, Zhuoyu Song, Xiangfei Yang, and Juan Du. 2023. "Influence of Processing Parameters on the Mechanical Properties of Peek Plates by Hot Compression Molding" Materials 16, no. 1: 36. https://doi.org/10.3390/ma16010036
APA StyleLi, T., Song, Z., Yang, X., & Du, J. (2023). Influence of Processing Parameters on the Mechanical Properties of Peek Plates by Hot Compression Molding. Materials, 16(1), 36. https://doi.org/10.3390/ma16010036

