Effects of Tung Oil Composite Regenerating Agent on Rheological Properties and Microstructures of Reclaimed Asphalt Binder
Abstract
:1. Introduction
2. Raw Materials and Test Methods
2.1. Raw Materials
2.2. Asphalt Preparation
2.2.1. Aged Asphalt
2.2.2. Reclaimed Asphalt
2.3. Test Methods
2.3.1. Rheological Property Test
2.3.2. Anti-Aging Performance Test
2.3.3. Micro Performance Test
3. Orthogonal Test Design and Analysis
4. Test Results and Analysis
4.1. Orthogonal Test Results of Tung Oil Composite Regenerating Agent
4.2. Effects of Composite Regenerating Agent on the Rheological Properties of Reclaimed Asphalt
4.2.1. Complex Modulus
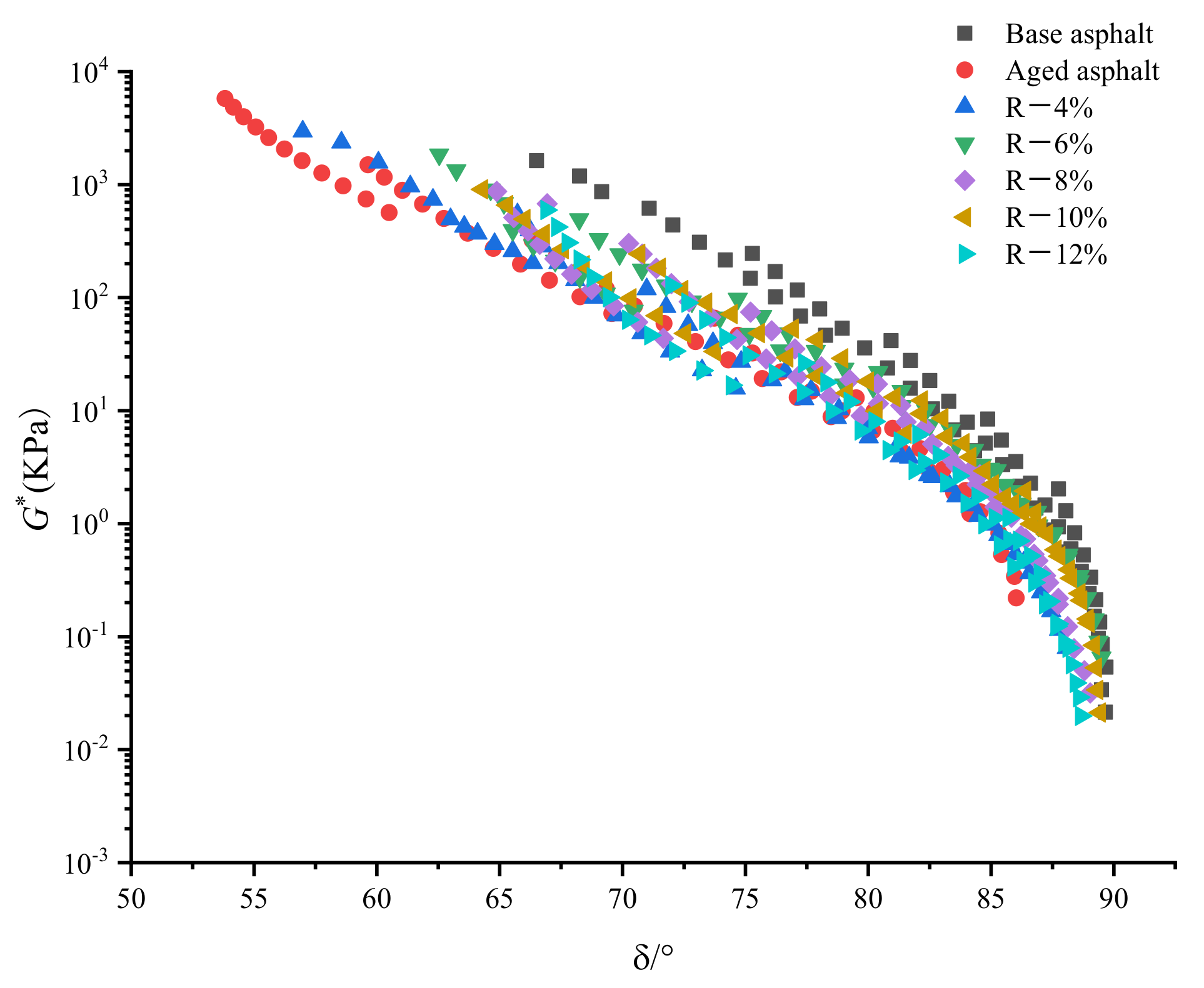
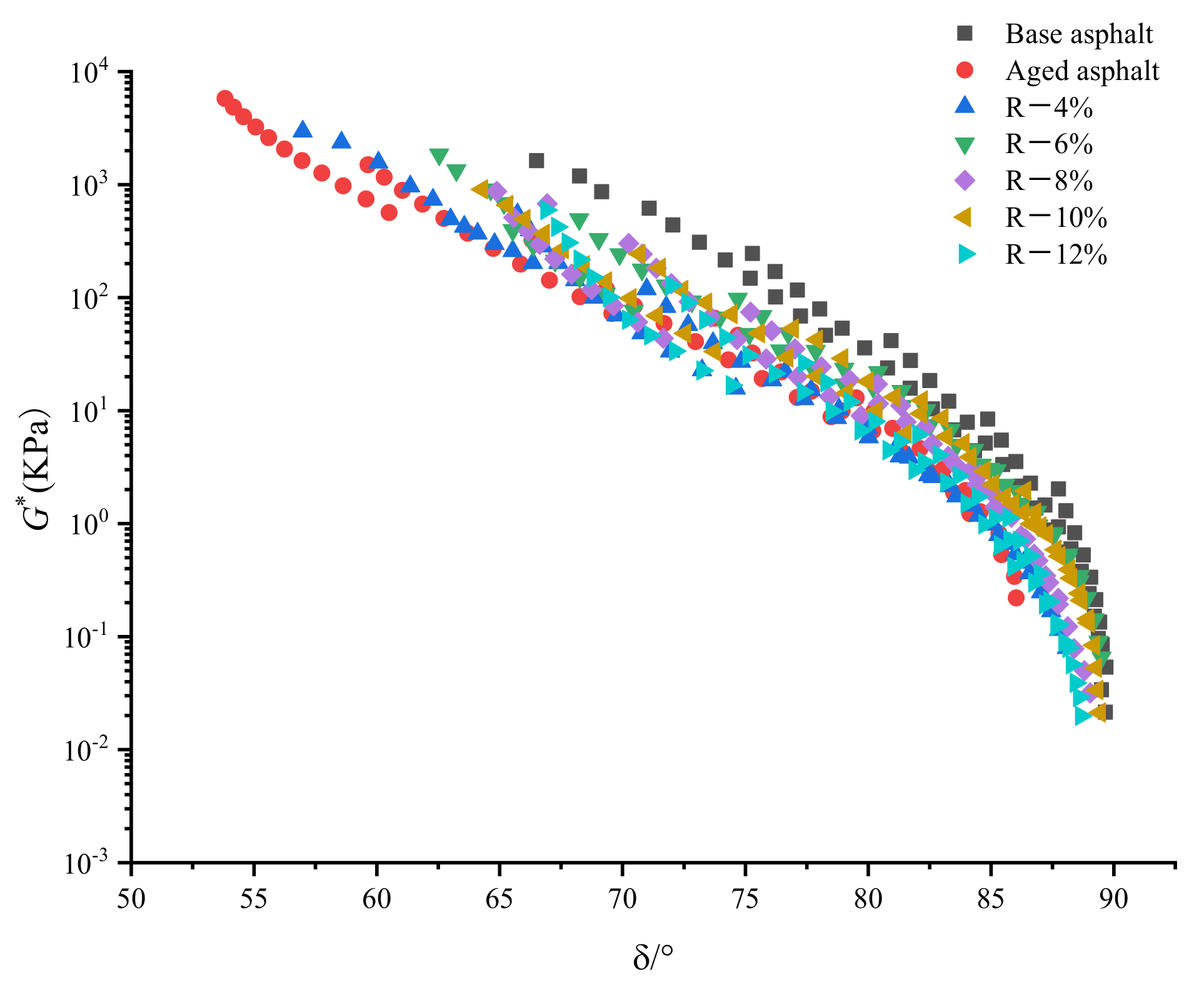
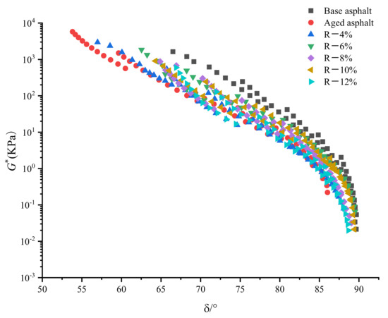
4.2.2. Phase Angle
4.2.3. Rutting Factor
4.2.4. Master Curve
4.2.5. Creep Stiffness and Creep Rate
4.3. Anti-Aging Performance of Reclaimed Asphalt with Composite Regenerating Agent
4.3.1. Thermo-Oxidative Aging Resistance
4.3.2. UV Aging Resistance
4.4. Microstructure and Mechanism Analysis of Reclaimed Asphalt with Composite Regenerating Agent
4.4.1. Morphology
4.4.2. Composition of Regenerating Agent and Reclaimed Asphalt
4.4.3. Molecular Weight and Distribution of Different Asphalts
5. Conclusions
- -
- The optimal mix proportion of the tung oil composite regenerating agent was determined by the orthogonal design test method; that is, tung oil: DOP: C9 petroleum resin: OMMT = 25:5:2:3.
- -
- As the content of the tung oil composite regenerating agent increases, the rutting factor and creep stiffness gradually decrease and the creep rate increases, indicating that the tung oil composite regenerating agent can restore the rheological properties of aged asphalt, which is even better than that of base asphalt. The CMAI of reclaimed asphalt is smaller than that of base asphalt, while the PMAI of reclaimed asphalt is larger than that of base asphalt. The anti-aging ability of reclaimed asphalt is significantly improved, and the optimal content of the tung oil composite regenerating agent is 8%.
- -
- As the content of macromolecules increases, the fluidity of aged asphalt becomes poor and a wrinkled texture and large honeycomb structure appear on its surface. The addition of the tung oil composite regenerating agent can restore the morphological features of aged asphalt to a certain extent, which makes its surface tend to be flat and smooth, and the size of te honeycomb structure is reduced.
- -
- The FTIR diagram shows that the tung oil composite regenerating agent is mainly composed of light components rich in aromatic hydrocarbons, and the characteristic peaks of reclaimed asphalt are basically consistent with those of base asphalt, indicating that the tung oil composite regenerating agent is beneficial to the dispersion and dissolution of polar substances in the aged asphalt.
- -
- The GPC results of reclaimed asphalt show that the tung oil composite regenerating agent can reduce the content of macromolecule in the aged asphalt, and the change range of molecular weight of reclaimed asphalt after aging is smaller than that of base asphalt, indicating that the aging of reclaimed asphalt decays slowly, which is favorable for the aging resistance of reclaimed asphalt.
Author Contributions
Funding
Institutional Review Board Statement
Informed Consent Statement
Data Availability Statement
Conflicts of Interest
References
- Zhang, H.; Liu, H.; Zhang, Z. Study on the mechanism of the repeated asphalt ageing and recycling based on the macro-performance. Road Mater. Pavement Des. 2016, 17, 920–932. [Google Scholar] [CrossRef]
- Zhao, K.; Wang, Y. Influences of aging conditions on the rheological properties of asphalt binders. Int. J. Pavement Eng. 2020, 21, 653–665. [Google Scholar] [CrossRef]
- Zhou, C.L.; Zheng, C.C.; Cheng, D.X. Evaluation of Environmental Pollution from Asphalt Recycling Technology. Adv. Mater. Res. 2014, 898, 482–485. [Google Scholar] [CrossRef]
- Xiao, F.; Yao, S.; Wang, J.; Li, X.; Amirkhanian, S. A literature review on cold recycling technology of asphalt pavement. Constr. Build. Mater. 2018, 180, 579–604. [Google Scholar] [CrossRef]
- Cong, P.; Luo, W.; Xu, P.; Zhao, H. Investigation on recycling of SBS modified asphalt binders containing fresh asphalt and rejuvenating agents. Constr. Build. Mater. 2015, 91, 225–231. [Google Scholar] [CrossRef]
- Suo, Z.; Nie, L.; Xiang, F.; Bao, X. The Effect of Waste Plant Oil on the Composition and Micro-Morphological Properties of Old Asphalt Composition. Buildings 2021, 11, 407. [Google Scholar] [CrossRef]
- Kaseer, F.; Martin, A.E.; Arámbula-Mercado, E. Use of recycling agents in asphalt mixtures with high recycled materials contents in the United States: A literature review. Constr. Build. Mater. 2019, 211, 974–987. [Google Scholar] [CrossRef]
- Zaumanis, M.; Mallick, R.B.; Poulikakos, L.; Frank, R. Influence of six rejuvenators on the performance properties of Reclaimed Asphalt Pavement (RAP) binder and 100% recycled asphalt mixtures. Constr. Build. Mater. 2014, 71, 538–550. [Google Scholar] [CrossRef]
- Ji, J.; Yao, H.; Suo, Z.; You, Z.; Li, H.; Xu, S.; Sun, L. Effectiveness of Vegetable Oils as Rejuvenators for Aged Asphalt Binders. J. Mater. Civ. Eng. 2017, 29, D4016003. [Google Scholar] [CrossRef]
- Zargar, M.; Ahmadinia, E.; Asli, H.; Karim, M.R. Investigation of the possibility of using waste cooking oil as a rejuvenating agent for aged bitumen. J. Hazard. Mater. 2012, 233–234, 254–258. [Google Scholar] [CrossRef]
- Wang, C.; Xue, L.; Xie, W.; You, Z.; Yang, X. Laboratory investigation on chemical and rheological properties of bio-asphalt binders incorporating waste cooking oil. Constr. Build. Mater. 2018, 167, 348–358. [Google Scholar] [CrossRef]
- Jalkh, R.; El-Rassy, H.; Chehab, G.R.; Abiad, M.G. Assessment of the Physico-Chemical Properties of Waste Cooking Oil and Spent Coffee Grounds Oil for Potential Use as Asphalt Binder Rejuvenators. Waste Biomass Valorization 2018, 9, 2125–2132. [Google Scholar] [CrossRef]
- Eleyedath, A.; Swamy, A.K. Use of Waste Engine Oil in Materials Containing Asphaltic Components//Eco-Efficient Pavement Construction Materials; Woodhead Publishing: Sawston, UK, 2020; pp. 33–50. [Google Scholar]
- Gong, M.; Yang, J.; Zhang, J.; Zhu, H.; Tong, T. Physical–chemical properties of aged asphalt rejuvenated by bio-oil derived from biodiesel residue. Constr. Build. Mater. 2016, 105, 35–45. [Google Scholar] [CrossRef]
- Nizamuddin, S.; Baloch, H.A.; Jamal, M.; Madapusi, S.; Giustozzi, F. Performance of waste plastic bio-oil as a rejuvenator for asphalt binder. Sci. Total Environ. 2022, 828, 154489. [Google Scholar] [CrossRef]
- Lv, S.; Liu, J.; Peng, X.; Liu, H.; Hu, L.; Yuan, J.; Wang, J. Rheological and microscopic characteristics of bio-oil recycled asphalt. J. Clean Prod. 2021, 295, 126449. [Google Scholar] [CrossRef]
- Zhang, H.; Wu, J.; Qin, Z.; Luo, Y. The Effect of Bio-Oil on High-Temperature Performance of Bio-Oil Recycled Asphalt Binders. J. Renew. Mater. 2022, 10, 1025–1037. [Google Scholar] [CrossRef]
- Zhang, X.; Ning, Y.; Zhou, X.; Xu, X.; Chen, X. Quantifying the rejuvenation effects of soybean-oil on aged asphalt-binder using molecular dynamics simulations. J. Clean Prod. 2021, 317, 128375. [Google Scholar] [CrossRef]
- Al-Saffar, Z.H.; Yaacob, H.; Mohd Satar, M.K.I.; Saleem, M.K.; Jaya, R.P.; Lai, C.J.; Shaffie, E. Evaluating the Chemical and Rheological Attributes of Aged Asphalt: Synergistic Effects of Maltene and Waste Engine Oil Rejuvenators. Arab. J. Sci. Eng. 2020, 45, 8685–8697. [Google Scholar] [CrossRef]
- Qurashi, I.A.; Swamy, A.K. Viscoelastic properties of recycled asphalt binder containing waste engine oil. J. Clean Prod. 2018, 182, 992–1000. [Google Scholar] [CrossRef]
- Zhang, R.; You, Z.; Wang, H.; Chen, X.; Si, C.; Peng, C. Using bio-based rejuvenator derived from waste wood to recycle old asphalt. Constr. Build. Mater. 2018, 189, 568–575. [Google Scholar] [CrossRef]
- Yan, K.; Peng, Y.; You, L. Use of tung oil as a rejuvenating agent in aged asphalt: Laboratory evaluations. Constr. Build. Mater. 2020, 239, 117783. [Google Scholar] [CrossRef]
- Yan, K.; Lan, H.; Duan, Z.; Liu, W.; You, L.; Wu, S.; Miljković, M. Mechanical performance of asphalt rejuvenated with various vegetable oils. Constr. Build. Mater. 2021, 293, 123485. [Google Scholar] [CrossRef]
- Li, H.; Yang, F.; Zhang, F. Diffusion and Regeneration Mechanism of Waste Composite Oils Rejuvenator in Aged Asphalt. J. Wuhan Univ. Technol. -Mater. Sci. Ed. 2021, 36, 664–671. [Google Scholar] [CrossRef]
- Wu, C.F.J.; Hamada, M.S. Experiments: Planning, Analysis, and Optimization; John Wiley and Sons: Hoboken, NJ, USA, 2011. [Google Scholar]
- Wang, T.; Wei, X.; Zhang, D.; Shi, H.; Cheng, Z. Evaluation for Low Temperature Performance of SBS Modified Asphalt by Dynamic Shear Rheometer Method. Buildings 2021, 11, 408. [Google Scholar] [CrossRef]
- Rubinstein, M.; Colby, R.H. Polymer Physics; Oxford University Press: New York, NY, USA, 2003. [Google Scholar]
- Ma, J.; Sun, G.; Sun, D.; Yu, F.; Hu, M.; Lu, T. Application of gel permeation chromatography technology in asphalt materials: A review. Constr. Build. Mater. 2021, 278, 122386. [Google Scholar] [CrossRef]

















| Raw Materials | Appearance | Density/g·cm−1 | Flash Point/°C |
|---|---|---|---|
| Tung oil | Yellow liquid | 0.943 | 236 |
| DOP | Colorless oily liquid | 0.985 | 225 |
| C9 petroleum resin | Yellow particle | 0.995 | 260 |
| OMMT | White powder | 1.03 | - |
| Technical Indexes | Base Asphalt | Aged Asphalt | Test Methods |
|---|---|---|---|
| Penetration (25 °C)/0.1 mm | 68.7 | 21.1 | ASTM D5 |
| Ductility (15 °C)/cm | 142.0 | 5.6 | ASTM D113 |
| Softening point (ring and ball method)/°C | 48.0 | 65.6 | ASTM D36 |
| Viscosity (135 °C)/mPa∙s | 485 | 936 | ASTM D4402 |
| Levels | Tung Oil (A)/% | DOP (B)/% | C9 Petroleum Resin (C)/% | OMMT (D)/% |
|---|---|---|---|---|
| Level 1 | 75 | 10 | 14 | 1 |
| Level 2 | 70 | 15 | 10 | 5 |
| Level 3 | 65 | 20 | 6 | 9 |
| No. | Tung Oil (A)/% | DOP(B)/% | C9 Petroleum Resin (C)/% | OMMT(D)/% | Softening Point/°C | Penetration/0.1 mm | Ductility/cm | Viscosity/mPa∙s |
|---|---|---|---|---|---|---|---|---|
| 1 | 75 | 10 | 14 | 1 | 48.4 | 93.5 | 143.6 | 480.0 |
| 2 | 75 | 15 | 10 | 5 | 47.0 | 100.1 | 138.2 | 455.0 |
| 3 | 75 | 20 | 6 | 9 | 45.1 | 130.0 | 142.6 | 404.0 |
| 4 | 70 | 10 | 10 | 9 | 46.6 | 145.2 | 125.4 | 447.0 |
| 5 | 70 | 15 | 6 | 1 | 46.7 | 103.2 | 134.3 | 426.0 |
| 6 | 70 | 20 | 14 | 5 | 48.4 | 82.5 | 121.0 | 477.5 |
| 7 | 65 | 10 | 6 | 5 | 46.5 | 99.6 | 117.4 | 451.0 |
| 8 | 65 | 15 | 14 | 9 | 47.2 | 98.9 | 119.3 | 483.0 |
| 9 | 65 | 20 | 10 | 1 | 48.2 | 86.0 | 97.6 | 505.0 |
| Indexes | Preferred Combinations |
|---|---|
| Softening point/°C | A1B2C3D3 |
| Penetration/(0.1mm) | A2B2C3D3 |
| Ductility/cm | A1B2C3D3 |
| Viscosity/(mPa∙s) | A1B2C3D3 |
| Types of Asphalt | LMS (%) | MMS (%) | SMS (%) |
|---|---|---|---|
| Base asphalt | 12.5 | −5.8 | −6.7 |
| R-8% reclaimed asphalt | 4.2 | −2 | −2.2 |
Publisher’s Note: MDPI stays neutral with regard to jurisdictional claims in published maps and institutional affiliations. |
© 2022 by the authors. Licensee MDPI, Basel, Switzerland. This article is an open access article distributed under the terms and conditions of the Creative Commons Attribution (CC BY) license (https://creativecommons.org/licenses/by/4.0/).
Share and Cite
Wang, Q.; Ye, Q.; Luo, J.; Xie, C.; Liu, H.; Liu, J.; Qin, M. Effects of Tung Oil Composite Regenerating Agent on Rheological Properties and Microstructures of Reclaimed Asphalt Binder. Materials 2022, 15, 3197. https://doi.org/10.3390/ma15093197
Wang Q, Ye Q, Luo J, Xie C, Liu H, Liu J, Qin M. Effects of Tung Oil Composite Regenerating Agent on Rheological Properties and Microstructures of Reclaimed Asphalt Binder. Materials. 2022; 15(9):3197. https://doi.org/10.3390/ma15093197
Chicago/Turabian StyleWang, Qimin, Qunshan Ye, Junhui Luo, Cheng Xie, Haobin Liu, Jianhua Liu, and Mengnan Qin. 2022. "Effects of Tung Oil Composite Regenerating Agent on Rheological Properties and Microstructures of Reclaimed Asphalt Binder" Materials 15, no. 9: 3197. https://doi.org/10.3390/ma15093197
APA StyleWang, Q., Ye, Q., Luo, J., Xie, C., Liu, H., Liu, J., & Qin, M. (2022). Effects of Tung Oil Composite Regenerating Agent on Rheological Properties and Microstructures of Reclaimed Asphalt Binder. Materials, 15(9), 3197. https://doi.org/10.3390/ma15093197
